Detecting the Cool Island Effect of Urban Parks in Wuhan: A City on Rivers
Abstract
1. Introduction
2. Materials and Methods
2.1. Study Area and Park Samples
2.2. Park Structure Characteristics
2.3. LST Derivation
2.4. Cool Island Intensity Identification
2.5. Data Analysis
3. Results
3.1. Cool Island Effect of Urban Parks
3.2. Cool Island Intensity
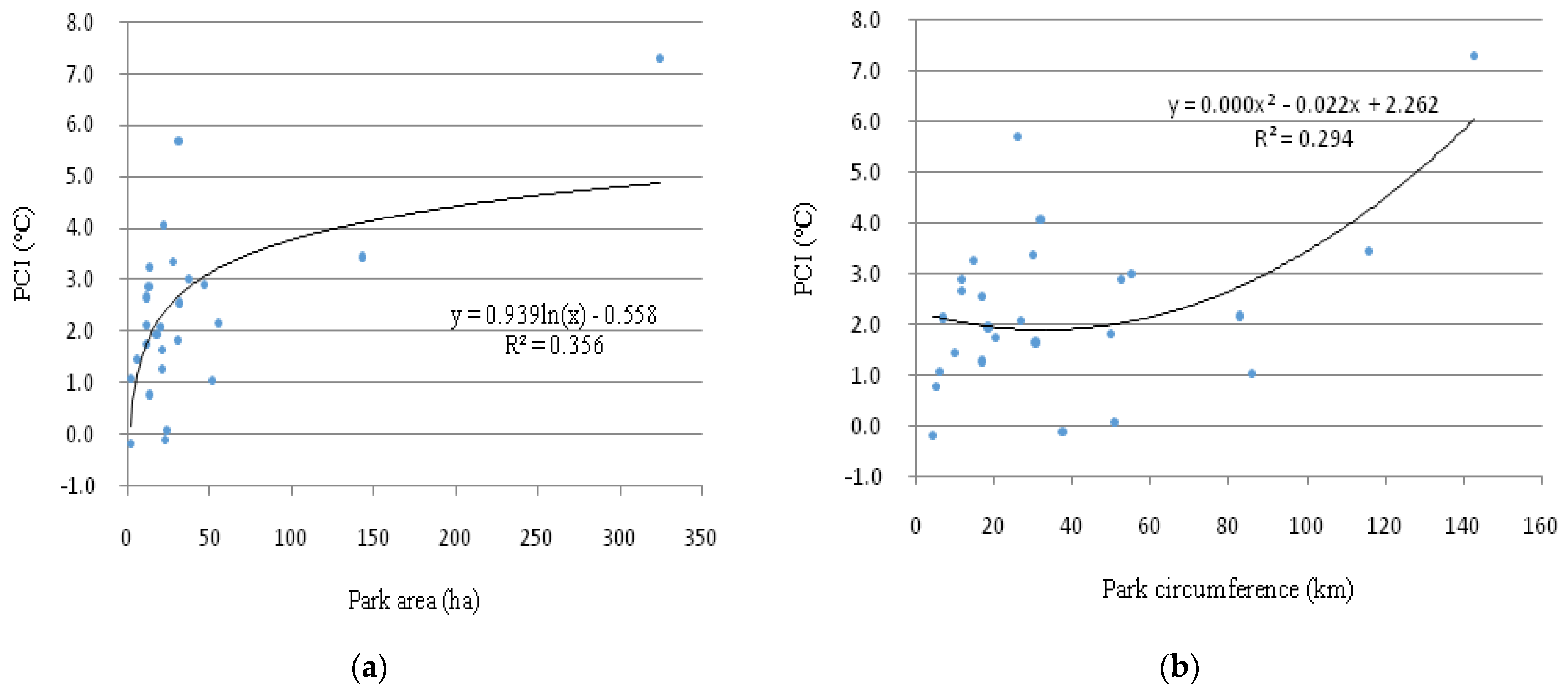
3.3. Correlation between PCI and Park Characteristics
4. Discussion
4.1. Park Geometry and PCI Intensity
4.2. Park Characteristics and PCI Intensity
4.3. Park Design and the PCI Effect Improvement
4.4. Limitations and Prospects
5. Conclusions
Author Contributions
Funding
Institutional Review Board Statement
Informed Consent Statement
Data Availability Statement
Conflicts of Interest
Abbreviations
| UHI | Urban heat island |
| PCI | Park cool island |
| LULC | Land use/land cover |
| LST | Land surfacetemperature |
| SD | Standard deviation |
| NDVI | Normalized difference vegetation index |
| NDBI | Normalized difference built-up index |
| MNDWI | Modified normalized difference water index |
| S | Size/area |
| C | Circumference |
| W | Width |
| SI | Shape index |
| Awa. | Area of water bodies |
| Ala. | Area of lawn |
| Awo. | Area of woodland |
| Aha. | Area of hard pavement |
| Pwa. | Area proportion of waterbodies |
| Pla. | Area proportion of lawn |
| Pwo. | Area proportion of woodland |
| Pha. | Area proportion of hard pavement |
| VC | Vegetation coverage |
| CIwa. | Contagion index of water bodies |
| CIla. | Contagion index of lawn |
| CIwo. | Contagion index of woodland |
| CIha. | Contagion index of hard pavement |
| SIwa. | Shape index of water bodies |
| SIla. | Shape index of lawn |
| SIwo. | Shape index of woodland |
| SIha. | Shape index of hard pavement |
Appendix A


| PCI | S | C | W | SI | Awa. | Pwa. | Awo. | Pwo. | Agr. | Pgr. | Aha. | Pha. | VC | CIwa. | CIwo. | CIgr. | CIha. | SIwa. | SIwo. | SIgr. | SIha. | NDVI | NDBI | |
|---|---|---|---|---|---|---|---|---|---|---|---|---|---|---|---|---|---|---|---|---|---|---|---|---|
| S | 0.664 ** | |||||||||||||||||||||||
| C | 0.439 * | 0.855 ** | ||||||||||||||||||||||
| W | 0.512 * | 0.710 ** | 0.901 ** | |||||||||||||||||||||
| SI | 0.05 | 0.077 | 0.039 | 0.045 | ||||||||||||||||||||
| Awa. | 0.693 ** | 0.963 ** | 0.696 ** | 0.523 * | 0.103 | |||||||||||||||||||
| Pwa. | 0.646 ** | 0.411 | 0.086 | 0.16 | 0.394 | 0.526 * | ||||||||||||||||||
| Awo. | 0.306 | 0.645 ** | 0.881 ** | 0.851 ** | −0.11 | 0.429 * | −0.125 | |||||||||||||||||
| Pwo. | −0.567 ** | −0.373 | −0.159 | −0.282 | −0.461 * | −0.445 * | −0.874 ** | 0.132 | ||||||||||||||||
| Agr. | 0.37 | 0.737 ** | 0.933 ** | 0.858 ** | 0.068 | 0.566 ** | −0.004 | 0.795 ** | −0.166 | |||||||||||||||
| Pgr. | −0.19 | −0.1 | 0.217 | 0.174 | −0.11 | −0.217 | −0.633 ** | 0.183 | 0.32 | 0.467 * | ||||||||||||||
| Aha. | 0.357 | 0.728 ** | 0.850 ** | 0.889 ** | 0.077 | 0.553 ** | 0.154 | 0.805 ** | −0.28 | 0.774 ** | −0.001 | |||||||||||||
| Pha. | −0.490 * | −0.31 | −0.194 | −0.086 | −0.038 | −0.353 | −0.31 | −0.153 | 0.032 | −0.226 | −0.06 | 0.163 | ||||||||||||
| VC | −0.519 * | −0.33 | −0.027 | −0.14 | −0.403 | −0.437 * | −0.950 ** | 0.182 | 0.909 ** | 0.078 | 0.686 ** | −0.215 | −0.002 | |||||||||||
| CIwa. | 0.403 | 0.156 | 0.23 | 0.346 | 0.235 | 0.104 | 0.328 | 0.227 | −0.325 | 0.187 | −0.093 | 0.222 | −0.166 | −0.291 | ||||||||||
| CIwo. | −0.178 | −0.051 | 0.056 | 0.117 | −0.081 | −0.142 | −0.433 * | 0.263 | 0.424 * | 0.1 | 0.213 | 0.122 | 0.109 | 0.419 | −0.065 | |||||||||
| CIgr. | 0.11 | 0.144 | 0.301 | 0.238 | −0.656 ** | 0.083 | −0.312 | 0.282 | 0.271 | 0.351 | 0.513 * | 0.013 | −0.325 | 0.434 * | −0.076 | −0.136 | ||||||||
| CIha. | 0.026 | 0.258 | 0.353 | 0.477 * | −0.015 | 0.141 | 0.039 | 0.397 | −0.275 | 0.29 | −0.074 | 0.616 ** | 0.620 ** | −0.244 | 0.271 | 0.213 | −0.146 | |||||||
| SIwa. | 0.057 | 0.003 | 0.043 | 0.001 | −0.029 | −0.004 | −0.147 | 0.081 | 0.23 | 0.034 | 0.193 | −0.109 | −0.324 | 0.261 | 0.544 ** | −0.006 | 0.175 | −0.095 | ||||||
| SIwo. | −0.519 * | −0.327 | −0.317 | −0.512 * | −0.104 | −0.301 | −0.329 | −0.112 | 0.561 ** | −0.355 | −0.095 | −0.412 | −0.129 | 0.389 | −0.3 | −0.019 | 0.081 | −0.316 | 0.071 | |||||
| SIgr. | 0.228 | 0.319 | 0.523 * | 0.42 | −0.317 | 0.23 | −0.344 | 0.422 | 0.242 | 0.612 ** | 0.679 ** | 0.15 | −0.376 | 0.485 * | 0.048 | 0.021 | 0.787 ** | −0.169 | 0.228 | −0.053 | ||||
| SIha. | 0.389 | 0.18 | −0.014 | 0.209 | 0.505 * | 0.227 | 0.664 ** | −0.157 | −0.763 ** | −0.031 | −0.447 * | 0.304 | 0.255 | −0.783 ** | 0.259 | −0.146 | −0.624 ** | 0.341 | −0.282 | −0.620 ** | −0.566 ** | |||
| NDVI | −0.480 * | −0.398 | −0.083 | −0.087 | −0.448 * | −0.536 * | −0.850 ** | 0.22 | 0.779 ** | −0.002 | 0.532 * | −0.089 | 0.189 | 0.832 ** | −0.119 | 0.481 * | 0.373 | 0.03 | 0.224 | 0.295 | 0.26 | −0.613 ** | ||
| NDBI | −0.920 ** | −0.612 ** | −0.381 | −0.469 * | −0.08 | −0.640 ** | −0.579 ** | −0.293 | 0.485 * | −0.294 | 0.248 | −0.344 | 0.389 | 0.481 * | −0.249 | 0.076 | 0.031 | −0.055 | 0.073 | 0.474 * | −0.127 | −0.409 | 0.436 * | |
| NDWI | 0.645 ** | 0.447 * | 0.089 | 0.127 | 0.315 | 0.581 ** | 0.916 ** | −0.159 | −807 ** | −0.001 | −603 ** | 0.126 | −0.237 | −0.885 ** | 0.16 | −0.361 | −0.352 | 0.027 | −0.24 | −0.394 | −0.258 | 0.608 ** | −0.912 ** | −0.633 ** |
References
- Santamouris, M. Analyzing the heat island magnitude and characteristics in one hundred Asian and Australian cities and regions. Sci. Total Environ. 2015, 512–513, 582–598. [Google Scholar] [CrossRef]
- Peng, S.; Piao, S.; Ciais, P.; Friedlingstein, P.; Ottle, C.; Bréon, F.-M.; Nan, H.; Zhou, L.; Myneni, R.B. Surface Urban Heat Island Across 419 Global Big Cities. Environ. Sci. Technol. 2012, 46, 696–703. [Google Scholar] [CrossRef] [PubMed]
- Kaveh, D.; Md, K.; Yan, L. Urban heat island effect: A systematic review of spatio-temporal factors, data, methods, and mit-igation measures. Int. J. Appl. Earth Obs. Geoinf. 2018, 67, 30–42. [Google Scholar]
- Ward, K.; Lauf, S.; Kleinschmit, B.; Endlicher, W. Heat waves and urban heat islands in Europe: A review of relevant drivers. Sci. Total Environ. 2016, 569, 527–539. [Google Scholar] [CrossRef] [PubMed]
- Salvati, A.; Roura, H.C.; Cecere, C. Assessing the urban heat island and its energy impact on residential buildings in Medi-terranean climate: Barcelona case study. Energy Build. 2017, 146, 38–54. [Google Scholar] [CrossRef]
- Skelhorn, C.; Levermore, G.; Lindley, S. Impacts on cooling energy consumption due to the UHI and vegetation changes in Manchester, UK. Energy Build. 2016, 122, 150–159. [Google Scholar] [CrossRef]
- Kolokotroni, M.; Zhang, Y.; Watkins, R. The London Heat Island and building cooling design. Sol. Energy 2007, 81, 102–110. [Google Scholar] [CrossRef]
- Abbassi, Y.; Ahmadikia, H.; Baniasadi, E. Prediction of pollution dispersion under urban heat island circulation for different atmospheric stratification. Build. Environ. 2020, 168, 106374. [Google Scholar] [CrossRef]
- Taha, H. Urban climates and heat islands: Albedo, evapotranspiration, and anthropogenic heat. Energy Build. 1997, 25, 99–103. [Google Scholar] [CrossRef]
- Li, H.; Meier, F.; Lee, X.; Chakraborty, T.; Liu, J.; Schaap, M.; Sodoudi, S. Interaction between urban heat island and urban pollution island during summer in Berlin. Sci. Total Environ. 2018, 636, 818–828. [Google Scholar] [CrossRef]
- Morris, K.I.; Chan, A.; Morris, K.J.K.; Ooi, M.C.G.; Oozeer, M.Y.; Abakr, Y.A.; Nadzir, M.S.M.; Mohammed, I.Y.; Al-Qrimli, H.F. Impact of urbanization level on the interactions of urban area, the urban climate, and human thermal comfort. Appl. Geogr. 2017, 79, 50–72. [Google Scholar] [CrossRef]
- Lowe, S.A. An energy and mortality impact assessment of the urban heat island in the US. Environ. Impact Assess. Rev. 2016, 56, 139–144. [Google Scholar] [CrossRef]
- Yu, Z.; Guo, X.; Zeng, Y.; Koga, M.; Vejre, H. Variations in land surface temperature and cooling efficiency of green space in rapid urbanization: The case of Fuzhou city, China. Urban For. Urban Green. 2018, 29, 113–121. [Google Scholar] [CrossRef]
- Rosenfeld, A.H.; Akbari, H.; Bretz, S.; Fishman, B.L.; Kurn, D.M.; Sailor, D.; Taha, H. Mitigation of urban heat islands: Mate-rials, utility programs, updates. Energy Build. 1995, 22, 255–265. [Google Scholar] [CrossRef]
- Rehan, R.M. Cool city as a sustainable example of heat island management case study of the coolest city in the world. HBRC J. 2016, 12, 191–204. [Google Scholar] [CrossRef]
- Taleghani, M. Outdoor thermal comfort by different heat mitigation strategies-A review. Renew. Sustain. Energy Rev. 2018, 81, 2011–2018. [Google Scholar] [CrossRef]
- Ali, J.M.; Marsh, S.H.; Smith, M.J. A comparison between London and Baghdad surface urban heat islands and possible en-gineering mitigation solutions. Sustain. Cities Soc. 2017, 29, 159–168. [Google Scholar] [CrossRef]
- Byrne, J.; Jinjun, Y. Can urban greenspace combat climate change? Towards a subtropical cities research agenda. Aust. Plan. 2009, 46, 36–43. [Google Scholar] [CrossRef]
- Gunawardena, K.; Wells, M.; Kershaw, T. Utilising green and bluespace to mitigate urban heat island intensity. Sci. Total Environ. 2017, 584, 1040–1055. [Google Scholar] [CrossRef]
- Völker, S.; Baumeister, H.; Clasen, T.F.; Hornberg, C.; Kistemann, T. Evidence for the temperature-mitigating capacity of urban blue space—A health geographic perspective. Erdkunde 2013, 67, 355–371. [Google Scholar] [CrossRef]
- Chang, C.-R.; Li, M.-H.; Chang, S.-D. A preliminary study on the local cool-island intensity of Taipei city parks. Landsc. Urban Plan. 2007, 80, 386–395. [Google Scholar] [CrossRef]
- Steeneveld, G.; Koopmans, S.A.; Heusinkveld, B.G.; Theeuwes, N. Refreshing the role of open water surfaces on mitigating the maximum urban heat island effect. Landsc. Urban Plan. 2014, 121, 92–96. [Google Scholar] [CrossRef]
- Sun, R.; Chen, L. How can urban water bodies be designed for climate adaptation? Landsc. Urban Plan. 2012, 105, 27–33. [Google Scholar] [CrossRef]
- Oliver, J.E.; Oke, T.R. Boundary Layer Climates. Geogr. Rev. 1979, 69, 486. [Google Scholar] [CrossRef]
- Qiu, K.; Jia, B. The roles of landscape both inside the park and the surroundings in park cooling effect. Sustain. Cities Soc. 2020, 52, 101864. [Google Scholar] [CrossRef]
- Wang, X.; Cheng, H.; Xi, J.; Yang, G.; Zhao, Y. Relationship between Park Composition, Vegetation Characteristics and Cool Island Effect. Sustainability 2018, 10, 587. [Google Scholar] [CrossRef]
- Cao, X.; Onishi, A.; Chen, J.; Imura, H. Quantifying the cool island intensity of urban parks using ASTER and IKONOS data. Landsc. Urban Plan. 2010, 96, 224–231. [Google Scholar] [CrossRef]
- Cheung, P.K.; Jim, C.Y. Differential cooling effects of landscape parameters in humid-subtropical urban parks. Landsc. Urban Plan. 2019, 192, 103651. [Google Scholar] [CrossRef]
- Aflaki, A.; Mirnezhad, M.; GhaffarianHoseini, A.; GhaffarianHoseini, A.; Omrany, H.; Wang, Z.-H.; Akbari, H. Urban heat island mitigation strategies: A state-of-the-art review on Kuala Lumpur, Singapore and Hong Kong. Cities 2017, 62, 131–145. [Google Scholar] [CrossRef]
- Hwang, Y.H.; Lum, Q.J.G.; Chan, Y.K.D. Micro-scale thermal performance of tropical urban parks in Singapore. Build. Environ. 2015, 94, 467–476. [Google Scholar] [CrossRef]
- Lin, B.S.; Lin, C.T. Preliminary study of the influence of the spatial arrangement of urban parks on local temperature reduc-tion. Urban For. Urban Green. 2016, 20, 348–357. [Google Scholar] [CrossRef]
- Lin, W.; Yu, T.; Chang, X.; Wu, W.; Zhang, Y. Calculating cooling extents of green parks using remote sensing: Method and test. Landsc. Urban Plan. 2015, 134, 66–75. [Google Scholar] [CrossRef]
- Feng, X.; Shi, H. Research on the cooling effect of Xi’an parks in summer based on remote sensing. Acta Ecol. Sin. 2012, 32, 7355–7363. [Google Scholar] [CrossRef][Green Version]
- Chander, G.; Markham, B. Revised landsat-5 tm radiometric calibration procedures and post calibration dynamic ranges. IEEE Trans. Geosci. Remote Sens. 2003, 41, 2674–2677. [Google Scholar] [CrossRef]
- Xu, H.Q.; Shi, T.T.; Wang, M.Y.; Fang, C.Y.; Lin, Z.L. Predicting effect of forthcoming population growth–induced impervi-ous surface increase on regional thermal environment: Xiong’an new area, north China. Build. Environ. 2018, 136, 98–106. [Google Scholar] [CrossRef]
- Van De Griend, A.A.; Owe, M. Determination of microwave vegetation optical depth and single scattering albedo from large scale soil moisture and Nimbus/SMMR satellite observations. Int. J. Remote Sens. 1993, 14, 1875–1886. [Google Scholar] [CrossRef]
- Zhang, Y.S.; Odeh, I.O.A.; Han, C.F. Bi-temporal characterization of land surface temperature in relation to impervious sur-face area, NDVI and NDBI, using a sub-pixel image analysis. Int. J. Appl. Earth Obs. Geoinf. 2009, 11, 256–264. [Google Scholar] [CrossRef]
- Singh, P.; Kikon, N.; Verma, P. Impact of land use change and urbanization on urban heat island in Lucknow city, Central India. A remote sensing based estimate. Sustain. Cities Soc. 2017, 32, 100–114. [Google Scholar] [CrossRef]
- Oke, T.R. The heat island of the urban boundary layer: Characteristics, causes and effects E. In Wind Climate in Cities; Cermak, J.E., Ed.; Kluwer Academic Publishers: Boston, MA, USA, 1995; pp. 81–107. [Google Scholar]
- Feyisa, G.L.; Dons, K.; Meilby, H. Efficiency of parks in mitigating urban heat island effect: An example from Addis Ababa. Landsc. Urban Plan. 2014, 123, 87–95. [Google Scholar] [CrossRef]
- Jaganmohan, M.; Knapp, S.; Buchmann, C.M.; Schwarz, N. The Bigger, the Better? The Influence of Urban Green Space Design on Cooling Effects for Residential Areas. J. Environ. Qual. 2016, 45, 134–145. [Google Scholar] [CrossRef]
- Bowler, D.E.; Buyung-Ali, L.; Knight, T.M.; Pullin, A.S. Urban greening to cool towns and cities: A systematic review of the empirical evidence. Landsc. Urban Plan. 2010, 97, 147–155. [Google Scholar] [CrossRef]
- Doick, K.J.; Peace, A.; Hutchings, T.R. The role of one large greenspace in mitigating London’s nocturnal urban heat island. Sci. Total Environ. 2014, 493, 662–671. [Google Scholar] [CrossRef] [PubMed]
- Akbari, H. Cooling Our Communities. A Guidebook on Tree Planting and Lightcolored Surfacing; Lawrence Berkeley National Laboratory: Berkeley, CA, USA, 2009. [Google Scholar]
- Zha, Y.; Gao, J.; Ni, S. Use of normalized difference built-up index in automatically mapping urban areas from TM imagery. Int. J. Remote Sens. 2010, 24, 583–594. [Google Scholar] [CrossRef]
- Martina, P.; Luciano, M.; Giada, B.; Simone, O. Urban planning indicators: Useful tools to measure the effect of urbanization and vegetation on summer air temperatures. Int. J. Climatol. 2014, 34, 1236–1244. [Google Scholar]
- Peng, J.; Xie, P.; Liu, Y.; Ma, J. Urban thermal environment dynamics and associated landscape pattern factors: A case study in the Beijing metropolitan region. Remote Sens. Environ. 2016, 173, 145–155. [Google Scholar] [CrossRef]
- Zhou, W.; Wang, J.; Cadenasso, M.L. Effects of the spatial configuration of trees on urban heat mitigation: A comparative study. Remote Sens. Environ. 2017, 195, 1–12. [Google Scholar] [CrossRef]
- Synnefa, A.; Karlessi, T.; Gaitani, N.; Santamouris, M.; Assimakopoulos, D.; Papakatsikas, C. Experimental testing of cool colored thin layer asphalt and estimation of its potential to improve the urban microclimate. Build. Environ. 2011, 46, 38–44. [Google Scholar] [CrossRef]
- Coutts, A.M.; Tapper, N.J.; Beringer, J.; Loughnan, M.; Demuzere, M. Watering our cities: The capacity for water sensitive urban design to support urban cooling and improve human thermal comfort in the Australian context. Prog. Phys. Geogr. 2012, 37, 2–28. [Google Scholar] [CrossRef]



| Context | Mean LST (°C) | SD (°C) |
|---|---|---|
| Whole area (water bodies excluded) | 30.88 | 3.25 |
| Built-up area (blue-green areas excluded) | 31.54 | 3.02 |
| Blue-green area | 27.81 | 2.06 |
| Considered urban parks | 29.31 | 1.77 |
| No. | Park | Full Name of Park | Area (ha) | Perimeter (km) | PCI (°C) | Tmean (°C) | SD (°C) |
|---|---|---|---|---|---|---|---|
| 1 | ZS | Zhongshan Park | 30.49 | 49.64 | 1.82 | 29.72 | 1.45 |
| 2 | XNH | Xiaonanhu Park | 6.05 | 9.90 | 1.46 | 30.08 | 1.88 |
| 3 | SH | Shahu Park | 324.62 | 142.66 | 7.29 | 24.25 | 3.63 |
| 4 | LWM | Longwangmiao Park | 1.92 | 4.83 | −0.24 | 31.78 | 1.15 |
| 5 | HY | Hanyang Park | 2.23 | 5.73 | 1.08 | 30.46 | 1.17 |
| 6 | HKJT | Hankoujiangtan Park | 147.13 | 135.21 | 0.91 | 30.63 | 1.53 |
| 7 | CQ | Changqing Park | 23.86 | 50.43 | 0.08 | 31.46 | 1.38 |
| 8 | BD | Baodao Park | 11.29 | 6.75 | 2.14 | 29.4 | 2.43 |
| 9 | DWY | Dongwuyuan Park | 67.31 | 54.73 | 3.96 | 27.58 | 2.31 |
| 10 | ZWY | Zhiwuyuan Park | 47.07 | 64.49 | 5.15 | 26.39 | 1.66 |
| 11 | QK | Qiaokou Park | 2.89 | 4.46 | 0.59 | 30.95 | 1.34 |
| 12 | ZY | Ziyang Park | 27.97 | 29.93 | 3.37 | 28.17 | 2.1 |
| 13 | BY | Baiyu Park | 21.8 | 31.69 | 4.07 | 27.47 | 2.14 |
| 14 | CCG | Changchunguan Park | 2.56 | 2.81 | −0.44 | 31.98 | 0.94 |
| 15 | SGH | Shuiguohu Park | 1.38 | 1.48 | 0.22 | 31.32 | 0.87 |
| 16 | WC | Wuchang Park | 2.13 | 4.17 | −0.17 | 31.71 | 1.02 |
| 17 | NSH | Neishahu Park | 8.88 | 8.27 | 2.78 | 28.76 | 1.89 |
| 18 | HS | Hanshui Park | 11.3 | 11.61 | 2.67 | 28.87 | 1.4 |
| 19 | DJ | Dijiao Park | 20.92 | 30.41 | 1.66 | 29.88 | 1.77 |
| 20 | KP | Kepu Park | 11.63 | 20.31 | 1.76 | 29.78 | 1.39 |
| 21 | JF | Jiefang Park | 46.78 | 52.26 | 2.9 | 28.64 | 1.62 |
| 22 | HP | Heping Park | 55.47 | 82.68 | 2.17 | 29.37 | 1.86 |
| 23 | PQ | Penquan Park | 13.17 | 4.95 | 0.77 | 30.77 | 1.95 |
| 24 | QS | Qingshan Park | 37.22 | 54.92 | 3.01 | 28.53 | 1.71 |
| 25 | LJH | Lingjiaohu Park | 13.45 | 14.46 | 3.26 | 28.28 | 2.67 |
| 26 | LHH | Lianhuahu Park | 13.06 | 11.39 | 2.88 | 28.66 | 2.5 |
| 27 | HXH | Houxianghe Park | 17.74 | 18.22 | 1.95 | 29.59 | 1.58 |
| 28 | DHMY | Donghumeiyuan Park | 24.71 | 38.01 | 3.63 | 27.91 | 2.68 |
| 29 | HLFQ | Helanfengqing Park | 8.37 | 16.02 | 0.58 | 30.96 | 1.43 |
| 30 | HYJT | Hanyangjiangtan Park | 46.88 | 61.40 | 1.94 | 29.6 | 1.61 |
| 31 | WCJT | Wuchangjiangtan Park | 8.79 | 17.48 | 3.13 | 28.41 | 1.69 |
| 32 | SMT | Simeitang Park | 19.93 | 26.81 | 2.08 | 29.46 | 2.1 |
| 33 | LJ | Linjiang Park | 27.93 | 40.02 | 4.82 | 26.72 | 2.14 |
| 34 | YH | Yuehu Park | 143.47 | 115.61 | 3.45 | 28.09 | 2.65 |
| 35 | HHL | Huanghelou Park | 22.51 | 23.34 | 0.49 | 31.05 | 1.29 |
| 36 | SY | Shouyi Park | 20.83 | 16.89 | 1.29 | 30.25 | 1.42 |
| 37 | DJH | Daijiahu Park | 51.91 | 85.97 | 1.04 | 30.5 | 1.8 |
| 38 | XFW | Xingfuwan Park | 31.23 | 25.88 | 5.7 | 25.84 | 3.28 |
| 39 | XBH | Xibeihu Park | 31.36 | 16.82 | 2.55 | 28.99 | 2.93 |
| 40 | NGQ | Nanganqu Park | 22.7 | 37.36 | −0.1 | 31.64 | 1.36 |
| Index | Description | Coefficient | Index | Description | Coefficient |
|---|---|---|---|---|---|
| S | Park size/area | 0.664 ** | VC | Vegetation coverage | −0.519 * |
| C | Park circumference | 0.439 * | CIwa. | Contagion index of water bodies | 0.403 |
| W | Park width | 0.512 * | CIla. | Contagion index of lawn | 0.11 |
| SI | Shape index | 0.05 | CIwo. | Contagion index of woodland | −0.178 |
| Awa. | Area of water bodies | 0.693 ** | CIha. | Contagion index of hard pavement | 0.026 |
| Ala. | Area of lawn | 0.37 | SIwa. | Shape index of water bodies | 0.057 |
| Awo. | Area of woodland | 0.306 | SIla. | Shape index of lawn | 0.228 |
| Aha. | Area of hard pavement | 0.357 | SIwo. | Shape index of woodland | −0.519 * |
| Pwa. | Area proportion of water bodies | 0.646 ** | SIha. | Shape index of hard pavement | 0.389 |
| Pla. | Area proportion of lawn | −0.19 | NDVI | Normalized difference vegetation index | −0.480 * |
| Pwo. | Area proportion of woodland | −0.567 ** | NDBI | Normalized difference built-up index | −0.920 ** |
| Pha. | Area proportion of hard pavement | −0.490 * | MNDWI | Modified normalized difference water index | 0.645 ** |
| PCI Intensity | Regression Equation | R2 |
|---|---|---|
| Standardized regression equation | 0.879 ** | |
| General regression equation |
Publisher’s Note: MDPI stays neutral with regard to jurisdictional claims in published maps and institutional affiliations. |
© 2020 by the authors. Licensee MDPI, Basel, Switzerland. This article is an open access article distributed under the terms and conditions of the Creative Commons Attribution (CC BY) license (http://creativecommons.org/licenses/by/4.0/).
Share and Cite
Xie, Q.; Li, J. Detecting the Cool Island Effect of Urban Parks in Wuhan: A City on Rivers. Int. J. Environ. Res. Public Health 2021, 18, 132. https://doi.org/10.3390/ijerph18010132
Xie Q, Li J. Detecting the Cool Island Effect of Urban Parks in Wuhan: A City on Rivers. International Journal of Environmental Research and Public Health. 2021; 18(1):132. https://doi.org/10.3390/ijerph18010132
Chicago/Turabian StyleXie, Qijiao, and Jing Li. 2021. "Detecting the Cool Island Effect of Urban Parks in Wuhan: A City on Rivers" International Journal of Environmental Research and Public Health 18, no. 1: 132. https://doi.org/10.3390/ijerph18010132
APA StyleXie, Q., & Li, J. (2021). Detecting the Cool Island Effect of Urban Parks in Wuhan: A City on Rivers. International Journal of Environmental Research and Public Health, 18(1), 132. https://doi.org/10.3390/ijerph18010132
