Benefits of a Three-Day Bamboo Forest Therapy Session on the Physiological Responses of University Students
Abstract
1. Introduction
2. Materials and Methods
2.1. Subjects and Experimental Sites
2.2. Procedures
2.3. Measurements
2.4. Statistical Analysis
3. Results
3.1. There Was a Significant Difference in Subjective Environmental Assessment (SDM) between the Bamboo Forest Environments and Urban Environment
Principal Component Analysis
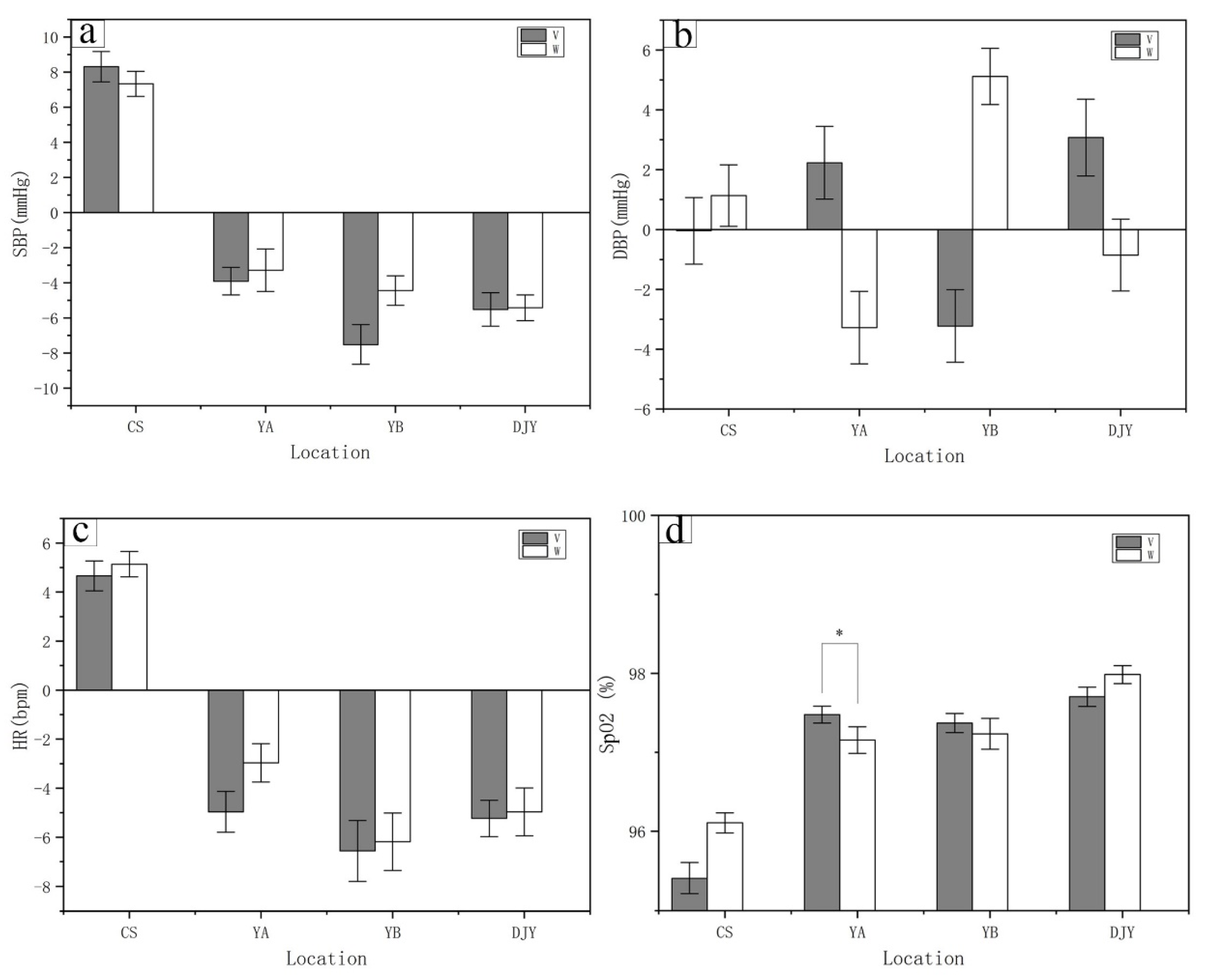
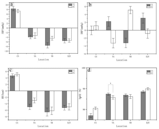
3.2. Viewing Activities Had a Better Physiological Response than Walking
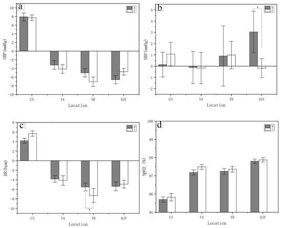
3.3. Three Days of Bamboo Forest Therapy Was More Effective for Females
4. Discussion
5. Limitations
6. Conclusions
Author Contributions
Funding
Acknowledgments
Conflicts of Interest
References
- Lee, I.; Choi, H.; Bang, K.; Kim, S.; Song, M.; Lee, B. Effects of forest therapy on depressive symptoms among adults: A systematic review. Inter. J. Environ. Res. Pub. Heal. 2017, 14, 321. [Google Scholar] [CrossRef] [PubMed]
- Frumkin, H. Beyond toxicity human health and the natural environment. Am. J. Prev. Med. 2001, 20, 234–240. [Google Scholar] [CrossRef]
- Zhu, Y.-G.; Ioannidis, J.P.A.; Li, H.; Jones, K.C.; Martin, F.L. Understanding and harnessing the health effects of rapid urbanization in China. J. Environ. Sci. Technol. 2011, 45, 5099–5104. [Google Scholar] [CrossRef] [PubMed]
- Staats, H.; Jahncke, H.; Herzog, T.R.; Hartig, T. Urban options for psychological restoration: Common strategies in everyday situations. PLoS ONE 2016, 11. [Google Scholar] [CrossRef] [PubMed]
- Stilgoe, J.R. Gone barefoot lately? J. Am. J. Prev. Med. 2001, 20, 243–244. [Google Scholar] [CrossRef]
- Tyrv€ainen, L.; Pauleit, S.; Seeland, K.; de Vries, S. Benefits and uses of urban forests and trees. In Urban Forests and Trees: A Reference Book; Konijnendijk, C., Nilsson, K., Randrup, T., Eds.; Springer: Berlin/Heidelberg, Germany, 2005; pp. 81–114. [Google Scholar]
- Sifferlin, A. The healing power of nature. Time 2016, 7, 23–26. [Google Scholar]
- Eisenberg, D.; Gollust, S.E.; Golberstein, E.; Hefner, J.L. Prevalence and correlates of depression, anxiety, and suicidality among university students. Am. J. Orthopsychiatr. 2007, 77, 534–542. [Google Scholar] [CrossRef]
- Regehr, C.; Glancy, D.; Pitts, A. Interventions to reduce stress in university students: A review and meta-analysis. J. Affect. Disord. 2013, 148, 1–11. [Google Scholar] [CrossRef]
- Yu, C.P.; Lin, C.M.; Tsai, M.J.; Tsai, Y.C.; Chen, C.Y. Effects of short forest bathing program on autonomic nervous system activity and mood states in middle-aged and elderly individuals. Int. J. Environ. Res. Public Health 2017, 14, 897. [Google Scholar] [CrossRef]
- Williams, F. This Is Your Brain on Nature. Natl. Geogr. 2016, 229. [Google Scholar]
- Tsunetsugu, Y.; Park, B.J.; Miyazaki, Y. Trend in research related to Shinrin-yoku (taking in the forest atmosphere or forest bathing) in Japan. Environ. Health Prev. Med. 2010, 15, 27–37. [Google Scholar] [CrossRef] [PubMed]
- Kaplan, S. The restorative benefits of nature: Toward an integrative framework. J. Environ. Psychol. 1995, 15, 169–182. [Google Scholar] [CrossRef]
- Kaplan, S. Meditation, restoration, and the management of mental fatigue. J. Environ. Behav. 2001, 33, 480–506. [Google Scholar] [CrossRef]
- Ulrich, R.S. Aesthetic and affective response to natural environment. In Behavior and the Natural Environment; Springer: Boston, MA, USA, 1983; pp. 85–125. [Google Scholar]
- Hartig, T.; Evans, G.W.; Jamner, L.D.; Davis, D.S.; Gärling, T. Tracking restoration in natural and urban field settings. J. Environ. Psychol. 2003, 23, 109–123. [Google Scholar] [CrossRef]
- Laumann, K.; Gärling, T.; Stormark, K.M. Selective attention and heart rate responses to natural and urban environments. J. Environ. Psychol. 2003, 23, 125–134. [Google Scholar] [CrossRef]
- Morita, E.; Fukuda, S.; Nagano, J.; Hamajima, N.; Yamamoto, H.; Iwai, Y.; Nakashima, T.; Ohira, H.; Shirakawa, T. Psychological effects of forest environments on healthy adults: Shinrin-yoku (forest-air bathing, walking) as a possible method of stress reduction. Public Health 2007, 121, 54–63. [Google Scholar] [CrossRef]
- Berg, A.E.; Maas, J.; Verheij, R.A.; Groenewegen, P.P. Green space as a buffer between stressful life events and health. J. Soc. Sci. Med. 2010, 70, 1203–1210. [Google Scholar] [CrossRef]
- Miyazaki, Y. Shinrin-Yoku: The Japanese Way of Forest Bathing for Health and Relaxation; Aster: London, UK, 2018. [Google Scholar]
- Li, Q. Forest Bathing: How Trees Can. Help You Find. Health and Happiness; Penguin Books: London, UK, 2018; ISBN 978-0525559856. [Google Scholar]
- Karjalainen, E.; Sarjala, T.; Raitio, H. Promoting human health through forests: Overview and major challenges. Environ. Health Prev. Med. 2010, 15, 1–8. [Google Scholar] [CrossRef]
- Park, B.J.; Tsunetsugu, Y.; Kasetani, T.; Kagawa, T.; Miyazaki, Y. The physiological effects of Shinrin-yoku (taking in the forest atmosphere or forest bathing): Evidence from field experiments in 24 forests across Japan. Environ. Health Prev. Med. 2010, 15, 18–26. [Google Scholar] [CrossRef]
- Tsunetsugu, Y.; Park, B.J.; Ishii, H.; Hirano, H.; Kagawa, T.; Miyazaki, Y. Physiological effects of Shinrin-yoku (taking in the atmosphere of the forest) in an old-growth broadleaf forest in Yamagata Prefecture, Japan. J. Physiol. Anthropol. 2007, 26, 135–142. [Google Scholar] [CrossRef]
- Park, B.J.; Kasetani, T.; Morikawa, T.; Tsunetsugu, Y.; Kagawa, T.; Miyazaki, Y. Physiological effects of forest recreation in a young conifer forest in Hinokage Town, Japan. Silva. Fenn 2009, 43, 291–301. [Google Scholar] [CrossRef]
- Song, C.; Ikei, H.; Igarashi, M.; Takagaki, M.; Miyazaki, Y. Physiological and psychological effects of a walk in urban parks in fall. Int. J. Environ. Res. Public Health 2015, 12, 14216–14228. [Google Scholar] [CrossRef] [PubMed]
- Herzog, T.R.; Black, A.M.; Fountaine, K.A.; Knotts, D.J. Reflection and attentional recovery as two distinctive benefits of restorative environments. J. Environ. Psychol. 1997, 17, 165–170. [Google Scholar] [CrossRef]
- Park, B.J.; Katsunori, F.; Tamami, K.; Norimasa, T.; Takahide, K.; Yoshifumi, M. Relationship between psychological responses and physical environments in forest settings. J. Landsc. Urban. Plan. 2011, 6, 24–32. [Google Scholar] [CrossRef]
- FAO. Forest Resources of Tropical Asia; FAO: Rome, Italy, 1981. [Google Scholar]
- Zhou, B.Z.; Fu, M.Y.; Xie, J.Z.; Yang, X.S.; Li, Z.C. Ecological functions of bamboo forest: Research and Application. For. Res. 2005, 16, 143–147. [Google Scholar]
- Kiran, P.; Chun, B.G. What bamboo forests do for nature and human well-being. For. News 2019. Available online: https://forestsnews.cifor.org/62710/what-bamboo-forests-do-for-nature-and-human-well-being?fnl=en (accessed on 8 November 2019).
- Lyu, B.; Zeng, C.; Li, N.; Wei, L.; Jiang, M.; Liu, S.; Yu, Y.; Deng, S.; Chen, Q. Benefits of a three-day bamboo forest therapy session on the psychophysiology and immune system responses of male college students. J. Int. J. Environ. Res. Public Health 2019, 16, 4991. [Google Scholar] [CrossRef]
- Zhang, Y. Study on Air Anion Concentration and Photosynthetic Characteristics of 18 Ornamental Bamboo Species. Ph.D. Thesis, Fujian Agriculture and Forestry University, Fuzhpou, China, 2012. [Google Scholar]
- Hassan, A.; Bing, C.Q.; Tao, J.; Yang, L.B.; Nian, L.; Shu, L.; Yue, S.Z.; Ting, L.Y.; Li, J.Z.; Qian, L.; et al. Psychophysiological effects of bamboo plants on adults. J. Biomed. Environ. Sci. 2017, 11, 846–850. [Google Scholar]
- Hassan, A.; Tao, J.; Li, G.; Jiang, M.; Aii, L.; Zhihui, J.; Zongfang, L.; Qibing, C. Effects of walking in bamboo forest and city environments on brainwave activity in young adults. J. Evid. -Based Complementary Altern. Med. 2018. [Google Scholar] [CrossRef]
- Osgood, C.E. The nature and measurement of meaning. J. Psychol. Bull. 1952, 49, 197–237. [Google Scholar] [CrossRef]
- Ulrich, R.S. Natural versus urban scenes: Some psychophysiological effects. Environ. Behav. 1981, 13, 523–556. [Google Scholar] [CrossRef]
- Kim, W.; Lim, S.; Chung, E.; Woo, J. The Effect of Cognitive Behavior Therapy-Based Psychotherapy Applied in a Forest Environment on Physiological Changes and Remission of Major Depressive Disorder. Psychiatry Investig. 2009, 6, 245–254. [Google Scholar] [CrossRef] [PubMed]
- Lee, Y.; Hee, K.; Ki, W. The Forest Landscape Management of Therapeutic Forests by Visual Preference on the Simulation of Tree Density. J. Korean Soc. For. Sci. 2012, 101, 648–655. [Google Scholar]
- Ochiai, H.; Ikei, H.; Song, C.; Kobayashi, M.; Miura, T.; Kagawa, T.; Li, Q.; Kumeda, S.; Imai, M.; Miyazaki, Y. Physiological and Psychological Effects of a Forest Therapy Program on Middle-Aged Females. Int. J. Environ. Res. Public Health 2015, 12, 15222–15232. [Google Scholar] [CrossRef] [PubMed]
- Lyu, B.; Zeng, C.; Deng, S.; Liu, S.; Jiang, M.; Li, N.; Wei, L.; Yu, Y.; Chen, Q. Bamboo forest therapy contributes to the regulation of psychological responses. J. For. Res. 2018, 1341–6979. [Google Scholar] [CrossRef]
- Lee, J.; Park, B.J.; Tsunetsugu, Y.; Ohira, T.; Kagawa, T.; Miyazaki, Y. Effect of forest bathing on physiological and psychological responses in young Japanese male subjects. Public Health 2011, 125, 93–100. [Google Scholar] [CrossRef]
- Ulrich, R.S.; Simons, R.F.; Losito, B.D.; Fiorito, E.; Miles, M.A.; Zelson, M. Stress recovery during exposure to natural and urban environments. J. Environ. Psychol. 1991, 11, 201–230. [Google Scholar] [CrossRef]
- Li, Q.; Otsuka, T.; Kobayashi, M.; Wakayama, Y.; Inagaki, H.; Katsumata, M.; Hirata, Y.; Li, Y.; Hirata, K.; Shimizu, T. A cute effects of walking in forest environments on cardiovascular and metabolic parameters. Eur. J. Appl. Physiol. 2011, 111, 2845–2853. [Google Scholar] [CrossRef]
- Lee, J.; Park, B.-J.; Yuko, T.; Kagawa, T.; Miyazaki, Y. Restorative effects of viewing real forest landscapes, based on a comparison with urban landscapes. Scand. J. For. Res. 2009, 227–234. [Google Scholar] [CrossRef]
- Ochiai, H.; Ikei, H.; Song, C.; Kobayashi, M.; Takamatsu, A.; Miura, T.; Kagawa, T.; Li, Q.; Kumeda, S.; Imai, M.; et al. Physiological and psychological effects of forest therapy on middle-age males with high-normal blood pressure. Int. J. Environ. Res. Public Health 2015, 12, 2521–2531. [Google Scholar]
- Song, C.; Ikei, H.; Kagawa, T.; Miyazaki, Y. Physiological and psychological effects of viewing forests on young women. J. For. 2019, 10, 635. [Google Scholar] [CrossRef]
- Tsunetsugu, Y.; Lee, J.; Park, B.J.; Tyrväinen, L.; Kagawa, T.; Miyazaki, Y. Physiological and psychological effects of viewing urban forest landscapes assessed by multiple measurements. Landsc. Urban. Plan. 2013, 113, 90–93. [Google Scholar] [CrossRef]
- Lee, J.; Tsunetsugu, Y.; Takayama, N.; Park, B.J.; Li, Q.; Song, C.; Komatsu, M.; Ikei, H.; Tyrväinen, L.; Kagawa, T.; et al. Influence of forest therapy on cardiovascular relaxation in young adults. Evid. Based Complement. Alternat. Med. 2014, 834360. [Google Scholar] [CrossRef] [PubMed]
- Song, C.; Ikei, H.; Kobayashi, M.; Miura, T.; Li, Q.; Kagawa, T.; Kumeda, S.; Imai, M.; Miyazaki, Y. Effects of viewing forest landscape on middle-aged hypertensive men. Urban. Urban. Gree. 2017, 21, 247–252. [Google Scholar] [CrossRef]
- Hawkins, L.H.; Barker, T. Air ions and human performance. Ergonomics 1978, 21, 273–278. [Google Scholar] [CrossRef] [PubMed]
- Tom, G.; Poole, M.F.; Galla, J.; Berrier, J. The influence of negative air ions on human performance and mood Hum. Factors 1981, 23, 633–636. [Google Scholar] [CrossRef] [PubMed]
- Yates, A.; Gray, F.B.; Misiaszek, J.I.; Wolman, W. Air ions: Past problems and future directions. Environ. Int. 1986, 12, 99–108. [Google Scholar] [CrossRef]







| Parameter | CS | YA | YB | DJY | ||||
|---|---|---|---|---|---|---|---|---|
| Male | Female | Male | Female | Male | Female | Male | Female | |
| Sample size (count) | 15 | 15 | 15 | 15 | 15 | 15 | 15 | 15 |
| Age (years) | 21.6 ± 0.3 | 21.3 ± 0.3 | 22.1 ± 0.4 | 21.4 ± 0.3 | 21.5 ± 0.4 | 20.8 ± 0.4 | 21.8 ± 0.5 | 21.2 ± 0.3 |
| Weight (kg) | 65.5 ± 1.2 | 51.8 ± 1.6 | 63.9 ± 1.3 | 49.7 ± 1.5 | 64.4 ± 1.3 | 47.1 ± 0.9 | 63.9 ± 1.7 | 50.4 ± 1.7 |
| Height (cm) | 175.2 ± 0.5 | 164.5 ± 1.0 | 175.6 ± 0.6 | 164.0 ± 1.1 | 174.9 ± 0.8 | 162.5 ± 1.3 | 173.4 ± 1.0 | 163.3 ± 1.0 |
| BMI (kg m−2) | 21.3 ± 0.5 | 19.1 ± 0.4 | 20.7 ± 0.5 | 18.5 ± 0.4 | 21.0 ± 0.3 | 17.8 ± 0.2 | 21.2 ± 0.5 | 18.9 ± 0.7 |
| SBP (mmHg) | 110.0 ± 2.8 | 96.0 ± 2.0 | 109.6 ± 2.2 | 99.8 ± 2.4 | 103.8 ± 2.9 | 97.6 ± 3.6 | 103.7 ± 3.0 | 100.2 ± 2.7 |
| DBP (mmHg) | 59.9 ± 1.6 | 57.6 ± 2.2 | 58.9 ± 1.3 | 60.0 ± 1.9 | 63.1 ± 2.0 | 63.3 ± 2.4 | 61.9 ± 1.5 | 63.6 ± 1.5 |
| HR (bpm) | 63.6 ± 2.7 | 64.8 ± 2.4 | 63.8 ± 2.8 | 65.2 ± 3.2 | 64.6 ± 3.0 | 65.8 ± 2.9 | 66.6 ± 2.9 | 67.9 ± 2.0 |
| SpO2 (%) | 97.1 ± 0.3 | 97.3 ± 0.3 | 97.8 ± 0.3 | 97.3 ± 0.4 | 96.8 ± 0.5 | 97.4 ± 0.4 | 98.1 ± 0.2 | 97.0 ± 0.4 |
| Parameter | CS | YA | YB | DJY |
|---|---|---|---|---|
| Temperature (°C) | 28.9 ± 0.26 | 26.9 ± 0.8 | 23.2 ± 0.5 * | 18.7 ± 0.5 ** |
| Relative humidity (%) | 60.5 ± 2.53 * | 79.0 ± 3.8 | 74.5 ± 4.0 | 87.5 ± 3.6 |
| Radiant heat (°C) | 34.5 ± 0.73 | 26.3 ± 0.3 * | 26.2 ± 1.0 * | 17.8 ± 0.3 ** |
| Noise (dB) | 70.1 ± 0.68 | 51.7 ± 0.9 * | 36.8 ± 0.7 ** | 53.4 ± 0.5 * |
| Absolute illumination (lx) | 6585.7 ± 881 | 877.1 ± 337.0 ** | 3774.7 ± 583.0 * | 815.2 ± 267.0 ** |
| Wind velocity (m s−1) | 0.9 ± 0.19a | 0.1 ± 0.1b * | 0.2 ± 0.1b * | 0.4 ± 0.1 * |
| Negative oxygen ion concentration (per unit/cm3) | 573.33 ± 15.08 | 1273.89 ± 45.37 | 718.33 ± 31.52 | 895.56 ± 40.99 |
| Name | Evaluation Item | Factor Load | ||||
|---|---|---|---|---|---|---|
| Factor NO.1 | Factor NO.2 | Factor NO.3 | Factor NO.4 | Factor NO.5 | ||
| Sensory factors | 1.naturely | 0.75 | −0.01 | 0.06 | −0.01 | 0.18 |
| 2.healthy | 0.81 | 0.10 | 0.11 | 0.00 | 0.08 | |
| 3.beautiful | 0.84 | 0.08 | 0.14 | 0.03 | 0.14 | |
| 4.peace | 0.81 | 0.23 | 0.05 | 0.08 | −0.10 | |
| 5.pleasant | 0.81 | 0.20 | −0.02 | 0.07 | 0.01 | |
| 6.sunless | 0.54 | 0.36 | 0.17 | −0.03 | 0.13 | |
| 7.quiet | 0.64 | 0.13 | 0.05 | 0.28 | 0.04 | |
| 8.interesting | 0.75 | 0.28 | 0.06 | 0.06 | 0.20 | |
| 9.open | 0.67 | 0.27 | 0.12 | 0.09 | 0.11 | |
| 10.harmonious | 0.69 | 0.30 | 0.21 | 0.07 | 0.16 | |
| Atmosphere factors | 11.comfortable | 0.48 | 0.50 | 0.38 | −0.23 | 0.12 |
| 12.multi-layered | 0.45 | 0.54 | 0.07 | 0.19 | −0.10 | |
| 13.friendly | 0.32 | 0.72 | 0.15 | −0.06 | 0.23 | |
| 14.charming | 0.09 | 0.61 | −0.47 | 0.26 | 0.14 | |
| 15.cold | 0.35 | 0.40 | 0.01 | 0.38 | 0.09 | |
| 16.safe | 0.30 | 0.69 | 0.16 | −0.03 | 0.18 | |
| Climate factors | 17.humid | 0.09 | 0.18 | 0.68 | −0.24 | 0.17 |
| 18.sleepy | 0.28 | 0.00 | 0.71 | 0.12 | 0.05 | |
| 19.aromatic | 0.52 | 0.09 | 0.53 | −0.09 | 0.21 | |
| Place factors | 20.bright | −0.22 | 0.39 | 0.41 | 0.41 | −0.22 |
| 21.characteristic | 0.16 | 0.07 | −0.18 | 0.68 | 0.08 | |
| 22.thick | 0.01 | −0.03 | 0.00 | 0.77 | 0.19 | |
| Space factors | 23.orderly | 0.31 | −0.07 | 0.12 | 0.31 | 0.63 |
| 24.flowing | 0.34 | 0.29 | −0.14 | 0.21 | 0.53 | |
| 25.fragrance | −0.06 | 0.27 | 0.22 | 0.03 | 0.69 | |
| Location | F1 | F2 | F3 | F4 | F5 | F |
|---|---|---|---|---|---|---|
| CS | 0.15 | 0.23 | −0.98 | 0.71 | 0.22 | 0.09 |
| YA | 1.26 | 0.68 | 0.16 | 0.57 | 0.82 | 0.96 |
| YB | 1.29 | 1.01 | 0.20 | 0.30 | 0.87 | 1.01 |
| DJY | 1.18 | 0.70 | 0.41 | 0.54 | 0.55 | 0.92 |
© 2020 by the authors. Licensee MDPI, Basel, Switzerland. This article is an open access article distributed under the terms and conditions of the Creative Commons Attribution (CC BY) license (http://creativecommons.org/licenses/by/4.0/).
Share and Cite
Zeng, C.; Lyu, B.; Deng, S.; Yu, Y.; Li, N.; Lin, W.; Li, D.; Chen, Q. Benefits of a Three-Day Bamboo Forest Therapy Session on the Physiological Responses of University Students. Int. J. Environ. Res. Public Health 2020, 17, 3238. https://doi.org/10.3390/ijerph17093238
Zeng C, Lyu B, Deng S, Yu Y, Li N, Lin W, Li D, Chen Q. Benefits of a Three-Day Bamboo Forest Therapy Session on the Physiological Responses of University Students. International Journal of Environmental Research and Public Health. 2020; 17(9):3238. https://doi.org/10.3390/ijerph17093238
Chicago/Turabian StyleZeng, Chengcheng, Bingyang Lyu, Songyuan Deng, Yan Yu, Nian Li, Wei Lin, Di Li, and Qibing Chen. 2020. "Benefits of a Three-Day Bamboo Forest Therapy Session on the Physiological Responses of University Students" International Journal of Environmental Research and Public Health 17, no. 9: 3238. https://doi.org/10.3390/ijerph17093238
APA StyleZeng, C., Lyu, B., Deng, S., Yu, Y., Li, N., Lin, W., Li, D., & Chen, Q. (2020). Benefits of a Three-Day Bamboo Forest Therapy Session on the Physiological Responses of University Students. International Journal of Environmental Research and Public Health, 17(9), 3238. https://doi.org/10.3390/ijerph17093238

