Can the Performance Gap between Women and Men be Reduced in Ultra-Cycling?
Abstract
1. Introduction
2. Materials and Methods
2.1. Ethical Approval
2.2. Data Sampling
2.3. Statistical Analysis
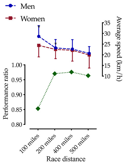
3. Results
4. Discussion
4.1. The Gender Gap was Reduced in Longer Ultra-Cycling Race Distances
4.2. Participation Patterns in Ultra-Cycling According to Gender
4.3. Average Cycling Speed and Performance Ratio According to Gender and Age
4.4. Limitations, Strengths, and Implications for Future Research
5. Conclusions
Author Contributions
Funding
Conflicts of Interest
Appendix A
| Race | N (Women) | N (Men) | N (Total) |
|---|---|---|---|
| Adirondack540 | 9 | 72 | 81 |
| Bessies Creek | 2 | 10 | 12 |
| Bharat Alacrity | 2 | 4 | 6 |
| Bike Sebring | 11 | 39 | 50 |
| Black and Blue Double Century | 3 | 31 | 34 |
| Calvins Challenge | 0 | 59 | 59 |
| Camino Real Double Century | 37 | 205 | 242 |
| Colorado Triple Crown | 15 | 182 | 197 |
| Deccan Cliffhanger | 1 | 6 | 7 |
| Dolomitica | 4 | 12 | 16 |
| Eastern Sierra Double Century | 75 | 342 | 417 |
| Fireweed - Race across Alaska | 48 | 452 | 500 |
| Glocknerman | 1 | 141 | 142 |
| Gran Fondo la Fortuna | 4 | 46 | 50 |
| Gran Fondo Las Vegas | 5 | 200 | 205 |
| Grand Loop | 9 | 45 | 54 |
| Great Alaska Double Century | 162 | 322 | 484 |
| Great Alaska Double Century F | 31 | 90 | 121 |
| Heart of the South | 6 | 69 | 75 |
| Hemet Double Century | 305 | 2046 | 2351 |
| Hoodoo 500 | 7 | 77 | 84 |
| Joe Bar 500 | 0 | 2 | 2 |
| Lake Taupo | 7 | 87 | 94 |
| Mid Atlantic | 8 | 49 | 57 |
| Mid-Atlantic 100 mile TT | 7 | 35 | 42 |
| Minnesota RAAM Challenge | 9 | 9 | 18 |
| Mulholland Double Century | 11 | 86 | 97 |
| NCOM Ultra Bicycle Race | 4 | 26 | 30 |
| No country for old men | 0 | 5 | 5 |
| Ohio RAAM Challenge | 4 | 27 | 31 |
| RAAM Challenge Minnesota | 1 | 22 | 23 |
| RAAM Challenge North California | 2 | 4 | 6 |
| RAAM Challenge North Florida | 2 | 11 | 13 |
| RAAM Challenge Ohio | 2 | 25 | 27 |
| RAAM Challenge Oregon | 0 | 5 | 5 |
| RAAM Challenge Texas | 1 | 20 | 21 |
| Race across Oregon | 13 | 26 | 39 |
| Saratoga | 9 | 58 | 67 |
| SoCal RAAM Challenge | 3 | 14 | 17 |
| Solvang Double Century | 287 | 1721 | 2008 |
| Swiss Cycling Marathon | 6 | 125 | 131 |
| Taupo Bike Race | 0 | 4374 | 4374 |
| Terrible Two | 10 | 167 | 177 |
| Texas RAAM Challenge | 9 | 42 | 51 |
| Texas Time Trial | 18 | 140 | 158 |
| Texas Time Trials | 5 | 31 | 36 |
| Total | 1155 | 11,561 | 12,716 |
References
- Scheer, V. Participation trends of ultra endurance events. Sports Med. Arthrosc. 2019, 27, 3–7. [Google Scholar] [CrossRef]
- Shoak, M.A.; Knechtle, B.; Knechtle, P.; Rüst, C.A.; Rosemann, T.; Lepers, R. Participation and performance trends in ultracycling. Open Access J. Sports Med. 2013, 4, 41–51. [Google Scholar] [CrossRef] [PubMed][Green Version]
- Zaryski, C.; Smith, D.J. Training principles and issues for ultra-endurance athletes. Curr. Sport Med. Rep. 2005, 4, 165–170. [Google Scholar] [CrossRef]
- Whipp, B.J.; Ward, S.A. Will women soon outrun men? Nature 1992, 355, 25. [Google Scholar] [CrossRef]
- Lepers, R.; Rüst, C.A.; Stapley, P.J.; Knechtle, B. Relative improvements in endurance performance with age: Evidence from 25 years of Hawaii Ironman racing. Age 2013, 35, 953–962. [Google Scholar] [CrossRef] [PubMed]
- Parnell, R.W. The relationship of masculine and feminine physical traits to academic and athletic performance. Br. J. Clin. Psychol. 1954, 27, 247–251. [Google Scholar] [CrossRef]
- Pate, R.R.; Kriska, A. Physiological Basis of the Sex Difference in Cardiorespiratory Endurance. Sports Med. 1984, 1, 87–89. [Google Scholar] [CrossRef]
- Ransdell, L.B.; Vener, J.; Huberty, J. Masters athletes: An analysis of running, swimming and cycling performance by age and gender. J. Exerc. Sci. Fit 2009, 7, S61–S73. [Google Scholar] [CrossRef]
- Rust, C.A.; Knechtle, B.; Rosemann, T.; Lepers, R. Men cross America faster than women—The “Race Across America” from 1982 to 2012. Int. J. Sport. Physiol. 2013, 8, 611–617. [Google Scholar] [CrossRef]
- Zingg, M.; Knechtle, B.; Rüst, C.A.; Rosemann, T.; Lepers, R. Age and gender difference in non-drafting ultra-endurance cycling performance—The ‘Swiss Cycling Marathon’. Extrem. Physiol. Med. 2013, 2. [Google Scholar] [CrossRef]
- Knechtle, B.; Valeri, F.; Nikolaidis, P.T.; Zingg, M.A.; Rosemann, T.; Rüst, C.A. Do women reduce the gap to men in ultra-marathon running? SpringerPlus 2016, 5. [Google Scholar] [CrossRef] [PubMed]
- Rust, C.A.; Rosemann, T.; Lepers, R.; Knechtle, B. Gender difference in cycling speed and age of winning performers in ultra-cycling—The 508-mile “Furnace Creek” from 1983 to 2012. J. Sports Sci. 2015, 33, 198–210. [Google Scholar] [CrossRef] [PubMed][Green Version]
- Cheuvront, S.N.; Carter Iii, R.; Deruisseau, K.C.; Moffatt, R.J. Running performance differences between men and women: An update. Sports Med. 2005, 35, 1017–1024. [Google Scholar] [CrossRef] [PubMed]
- Coast, J.R.; Blevins, J.S.; Wilson, B.A. Do gender differences in running performance disappear with distance? Can. J. Appl. Physiol. 2004, 29, 139–145. [Google Scholar] [CrossRef]
- Lepers, R.; Cattagni, T. Do older athletes reach limits in their performance during marathon running? Age 2012, 34, 773–781. [Google Scholar] [CrossRef]
- Knechtle, B.; Nikolaidis, P.T.; Rosemann, T.; Rüst, C.A. Performance Trends in Master Butterfly Swimmers Competing in the FINA World Championships. J. Hum. 2017, 57, 199–211. [Google Scholar] [CrossRef]
- Knechtle, B.; Nikolaidis, P.T.; König, S.; Rosemann, T.; Rüst, C.A. Performance trends in master freestyle swimmers aged 25–89 years at the FINA World Championships from 1986 to 2014. Age 2016, 38, 1–8. [Google Scholar] [CrossRef]
- Tanaka, H.; Seals, D.R. Invited Review: Dynamic exercise performance in Masters athletes: Insight into the effects of primary human aging on physiological functional capacity. J. Appl. Physiol. 2003, 95, 2152–2162. [Google Scholar] [CrossRef]
- Lepers, R.; Stapley, P.J.; Cattagni, T. Variation of Age-Related Changes in Endurance Performance Between Modes of Locomotion in Men: An Analysis of Master World Records. Int. J. Sports Physiol. Perform 2018, 13, 394–397. [Google Scholar] [CrossRef]
- Spina, R.J.; Miller, T.R.; Bogenhagen, W.H.; Schechtman, K.B.; Ehsani, A.A. Gender-related differences in left ventricular filling dynamics in older subjects after endurance exercise training. J. Gerontol. A-Biol. 1996, 51, B232–B237. [Google Scholar] [CrossRef]
- Nikolaidis, P.T.; Knechtle, B. Age of peak performance in 50-km ultramarathoners—Is it older than in marathoners? Open Access J. Sports Med. 2018, 9, 37–45. [Google Scholar] [CrossRef] [PubMed]
- Eichenberger, E.; Knechtle, B.; Christoph, A.R.; Knechtle, P.; Lepers, R.; Rosemann, T. No gender difference in peak performance in ultra-endurance swimming performance—Analysis of the ‘Zurich 12-h swim’ from 1996 to 2010. Chinese J. Physiol. 2012, 55, 1–6. [Google Scholar] [CrossRef]
- Salihu, L.; Rust, C.A.; Rosemann, T.; Knechtle, B. Sex Difference in Draft-Legal Ultra-Distance Events—A Comparison between Ultra-Swimming and Ultra-Cycling. Chinese J. Physiol. 2016, 59, 87–99. [Google Scholar] [CrossRef]
- Ultra Cycling Association. Available online: www.ultracycling.com/calendar-overview/ (accessed on 2 December 2019).
- Nevill, A.; Whyte, G. Are women narrowing the gender gap in elite sport performance? In Physiological Bases of Human Performance during Work and Exercise; Taylor, N., Groeller, H., Eds.; Churchill Livingstone: New York, NY, USA, 2008. [Google Scholar]
- Pozzi, L.; Knechtle, B.; Knechtle, P.; Rosemann, T.; Lepers, R.; Rust, C.A. Sex and age-related differences in performance in a 24-hour ultra-cycling draft-legal event—A cross-sectional data analysis. BMC Sports Sci. Med. Rehabil. 2014, 6, 19. [Google Scholar] [CrossRef][Green Version]
- Smith, F.W.; Smith, P.A. Musculoskeletal differences between males and females. Sports Med. Arthrosc. Rev. 2002, 10, 98–100. [Google Scholar] [CrossRef]
- Thibault, V.; Gauillaume, M.; Berthelot, G.; Helou, N.E.; Schaal, K.; Quinquis, L.; Nassif, H.; Tafflet, M.; Escolano, S.; Hermine, O.; et al. Women and Men in Sport Performance: The Gender Gap has not Evolved since 1983. J. Sports Sci. Med. 2010, 9, 214–223. [Google Scholar] [PubMed]
- Knechtle, B.; Baumgartner, S.; Knechtle, P.; Rüst, C.A.; Rosemann, T.; Bescós, R. Changes in single skinfold thickness in 100 km ultramarathoners. Open Access J. Sports Med. 2012, 3, 147–157. [Google Scholar] [CrossRef] [PubMed]
- Malina, R.M. Promoting physical activity in children and adolescents: A review. Clin. J. Sport Med. 2008, 18, 549–550. [Google Scholar] [CrossRef] [PubMed]
- Gloor, R.U.; Knechtle, B.; Knechtle, P.; Rüst, C.A.; Haupt, S.; Rosemann, T.; Lepers, R. Sex-related trends in participation and performance in the ‘Swiss Bike Masters’ from 1994–2012. Percept. Mot. Skills 2013, 116, 640–654. [Google Scholar] [CrossRef] [PubMed]




© 2020 by the authors. Licensee MDPI, Basel, Switzerland. This article is an open access article distributed under the terms and conditions of the Creative Commons Attribution (CC BY) license (http://creativecommons.org/licenses/by/4.0/).
Share and Cite
Baumgartner, S.; Sousa, C.V.; Nikolaidis, P.T.; Knechtle, B. Can the Performance Gap between Women and Men be Reduced in Ultra-Cycling? Int. J. Environ. Res. Public Health 2020, 17, 2521. https://doi.org/10.3390/ijerph17072521
Baumgartner S, Sousa CV, Nikolaidis PT, Knechtle B. Can the Performance Gap between Women and Men be Reduced in Ultra-Cycling? International Journal of Environmental Research and Public Health. 2020; 17(7):2521. https://doi.org/10.3390/ijerph17072521
Chicago/Turabian StyleBaumgartner, Sabrina, Caio Victor Sousa, Pantelis T. Nikolaidis, and Beat Knechtle. 2020. "Can the Performance Gap between Women and Men be Reduced in Ultra-Cycling?" International Journal of Environmental Research and Public Health 17, no. 7: 2521. https://doi.org/10.3390/ijerph17072521
APA StyleBaumgartner, S., Sousa, C. V., Nikolaidis, P. T., & Knechtle, B. (2020). Can the Performance Gap between Women and Men be Reduced in Ultra-Cycling? International Journal of Environmental Research and Public Health, 17(7), 2521. https://doi.org/10.3390/ijerph17072521

