Research on the Relationship Between Safety Leadership, Safety Attitude and Safety Citizenship Behavior of Railway Employees
Abstract
1. Introduction
2. Materials and Methods
2.1. Materials
2.1.1. Safety Leadership and Safety Attitude
2.1.2. Safety Attitude and Safe Citizenship Behavior
2.1.3. Safe Leadership and Safe Citizenship Behavior
2.2. Methods
2.2.1. Dimension Division
2.2.2. Questionnaire Design
2.2.3. Sample Collocation
2.2.4. Data Analysis
- (1)
- KMO and Bartlett Sphericity test were used to test the data validity [58];
- (2)
- (3)
- for each variable, the parameter significance, convergence validity and discriminant validity were analyzed;
- (4)
- the hypotheses were tested using the structural equation modeling technique;
- (5)
- specific improvements were considered based on the results of the data analysis.
3. Results
3.1. Data Validity
3.2. Reliability Analysis
3.3. Significance Analysis, Convergence Validity Analysis and Discriminant Validity Analysis
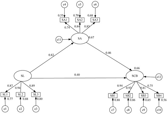
3.4. Hypothesis Test
4. Discussion
5. Conclusions and Implication
5.1. Theoretical Implications and Practical Implications
5.2. Research Limitations and Future Directions
Author Contributions
Funding
Acknowledgments
Conflicts of Interest
Appendix A
| Concepts | Items |
|---|---|
| SCB | I will help new workers get familiar with the working environment. |
| I will guide the safety work procedures of new workers. | |
| I will help other workers to ensure their safe work. | |
| I will encourage workers to participate in safety exercises and other safety matters. | |
| I will help the workers learn the rules and regulations of safe work. | |
| I will help the workers understand the responsibilities and obligations related to safety. | |
| I will make safety suggestions during work activities. | |
| I will encourage workers to participate in the discussion of safety issues. | |
| I will take the initiative to express my views on Security Affairs. | |
| I will make a work plan from the perspective of safety. | |
| I will try my best to protect the workers from potential safety hazards. | |
| I will pay as much attention to the safety of my workmates as possible. | |
| I will take the initiative to protect the workers from dangerous situations. | |
| I will report the hidden danger of work safety accidents to the superior in time. | |
| I will remind other workers to follow the safe work rules. | |
| I will supervise the new workers to make sure they work safely. | |
| I’ll stop the workers from breaking the rules. | |
| I will tell the new workers that it’s unforgivable to violate the safety regulations. | |
| I will actively learn new safety knowledge. | |
| I will actively participate in all safety meetings. | |
| I will actively understand the improvement and update of relevant safety policies and procedures. | |
| I will actively participate in safety exercises or safety publicity activities. | |
| I will try to improve the safety regulations. | |
| I will actively seek more secure ways to cooperate. | |
| I will try to improve the security policy and regulations. | |
| I will timely report the unrealistic contents in the safety regulations to the superior and propose improvement measures. | |
| SL | My leader can actively and fairly participate in the investigation and handling of accidents. |
| My leader sets an example and follows the safety rules. | |
| My leaders often remind workers of the importance of safety. | |
| My leader often explains safety problems to the workers. | |
| My leaders often involve workers in the formulation and revision of safety work procedures. | |
| My leader can earnestly implement safety supervision and deal with problems found in time. | |
| My leader will take the initiative to exchange safety information with the workers. | |
| My leadership will fairly allocate resources related to security matters. | |
| My leadership will encourage subordinates to report the hidden dangers of work safety accidents. | |
| My leaders will take the initiative to care for their subordinates and help them to solve difficulties. | |
| My leader will give timely feedback on the suggestions and reports of subordinates. | |
| My leader will always give affirmation to the safety performance of subordinates. | |
| My leadership will strictly require subordinates to complete safety objectives and tasks. | |
| My leader will give timely feedback on the safety performance of subordinates. | |
| My leader will often praise the safety behaviors of subordinates. | |
| My leader will correct the hidden danger and criticize the education in time. | |
| My leadership will strictly require subordinates to abide by the relevant safety management system. | |
| SA | I think on-site work is highly dangerous. |
| I think wearing safety shoes and helmets when entering the plant will help prevent accidents. | |
| I think the safety measures stipulated by the company will reduce my work efficiency. | |
| For safety, I will know how to use the protective equipment carefully and wear it at any time. | |
| I always clean and tidy up the things that hinder safety in the workplace. | |
| Colleagues will pay attention to the safety of work on site and remind me to follow the safety regulations. | |
| My colleagues will be happy to accept my advice on work safety. | |
| I will pay attention to the work safety of colleagues or on-site workers and remind them to follow the safety regulations. | |
| Direct leaders often pay attention to whether employees’ working attitude is lazy. | |
| When employees are in poor health, the immediate supervisor will immediately stop them from continuing to work. | |
| Direct leaders often patrol, and will immediately stop employees from taking dangerous work methods. | |
| The leader will give warning to the employees who still violate the regulations or have unsafe behaviors after repeated admonition. | |
| Accidents at work are mostly due to bad luck. | |
| Too much attention to safety procedures will affect work efficiency. | |
| When the work is too heavy, the safety of the work will be ignored. | |
| Providing enough safety training can help reduce accidents. | |
| Pay attention to employees’ work experience, which is helpful to employees’ work performance. | |
| If employees can participate in training courses, they can effectively improve safety performance. | |
| Provide a safe working environment for better performance. |
| Measure | Items | Frequency | Percent |
|---|---|---|---|
| Gender | Male | 207 | 87.0 |
| Female | 31 | 13.0 | |
| Total | 238 | 100 | |
| Age | <20 | 7 | 2.9 |
| 20–30 | 113 | 47.5 | |
| 30–40 | 70 | 29.4 | |
| 40–50 | 31 | 13.0 | |
| ≥50 | 17 | 7.1 | |
| Total | 238 | 100 | |
| Work experience (in years) | <3 | 43 | 18.1 |
| 3–5 | 91 | 38.2 | |
| 5–10 | 85 | 35.7 | |
| ≥10 | 19 | 8.0 | |
| Total | 238 | 100 | |
| Education | Junior middle school and below | 13 | 5.5 |
| High school (including secondary school and technical school) | 133 | 55.9 | |
| Junior College | 74 | 31.1 | |
| Undergraduate or above | 18 | 7.6 | |
| Total | 238 | 100 | |
References
- Nik Mohd Ainul Azman, N.N.K.; Che Ahmad, A.; Mohd Derus, M.; Mohd Kamar, I.F. Determination of Direct to Indirect Accident Cost Ratio for Railway Construction Project. MATEC Web Conf. 2019, 266, 03009. [Google Scholar] [CrossRef]
- Da, X.; Zheng, W. A system dynamics model for railway workers’ safety behaviors. In Proceedings of the IEEE International Conference on Intelligent Rail Transportation (ICIRT), Birmingham, UK, 23–25 August 2016. [Google Scholar] [CrossRef]
- Han, J. China Railway Yearbook; Editorial Department of China Railway Yearbook: Beijing, China, 2015; p. 82.
- Han, J. China Railway Yearbook; Editorial Department of China Railway Yearbook: Beijing, China, 2016; p. 83.
- Han, J. China Railway Yearbook; Editorial Department of China Railway Yearbook: Beijing, China, 2017; pp. 79–80.
- Reader, T.W.; Mearns, K.; Lopes, C.; Kuha, J. Organizational support for the workforce and employee safety citizenship behaviors: A social exchange relationship. Hum. Relat. 2016, 70, 362–385. [Google Scholar] [CrossRef]
- Chmiel, N.; Laurent, J.; Hansez, I. Employee perspectives on safety citizenship behaviors and safety violations. Saf. Sci. 2017, 93, 96–107. [Google Scholar] [CrossRef]
- Hofmann, D.A.; Morgeson, F.P. Safety-related behavior as a social exchange: The role of perceived organizational support and leader-member exchange. J. Appl. Psychol. 1999, 84, 286–296. [Google Scholar] [CrossRef]
- Hofmann, D.A.; Morgeson, F.P.; Stephen, J.G. Climate as a Moderator of the Relationship between Leader–Member Exchange and Content Specific Citizenship: Safety Climate as an Exemplar. J. Appl. Psychol. 2003, 88, 170–178. [Google Scholar] [CrossRef]
- Shama, D.; Kathryn, M.; Rhona, F. Safety citizenship behavior: A proactive approach to risk management. J. Risk Res. 2009, 12, 475–483. [Google Scholar] [CrossRef]
- Conchie, S.M.; Donald, I.J. The moderating role of safety-specific trust on the relation between safety-specific leadership and safety citizenship behaviors. J. Occup. Health Psychol. 2009, 14, 137–147. [Google Scholar] [CrossRef]
- Curcuruto, M.; Griffin, M.A. Prosocial and proactive “safety citizenship behavior” (SCB): The mediating role of affective commitment and psychological ownership. Saf. Sci. 2018, 104, 29–38. [Google Scholar] [CrossRef]
- Guo, S.; Zhang, P.; Ding, L. Time-statistical laws of workers’ unsafe behavior in the construction industry: A case study. Phys. A Stat. Mech. Appl. 2019, 515, 419–429. [Google Scholar] [CrossRef]
- Stiles, S.; Ryan, B.; Golightly, D. Evaluating attitudes to safety leadership within rail construction projects. Saf. Sci. 2018, 110, 134–144. [Google Scholar] [CrossRef]
- Fernández-Muñiz, B.; Montes-Peón, J.M.; Vázquez-Ordás, C.J. The role of safety leadership and working conditions in safety performance in process industries. J. Loss Prev. Process Ind. 2017, 50, 403–415. [Google Scholar] [CrossRef]
- Pilbeam, C.; Doherty, N.; Davidson, R.; Denyer, D. Safety leadership practices for organizational safety compliance: Developing a research agenda from a review of the literature. Saf. Sci. 2016, 86, 110–121. [Google Scholar] [CrossRef]
- Schwatka, N.V.; Goldenhar, L.M.; Johnson, S.K.; Beldon, M.A.; Tessler, J.; Jack, T.; Fullen, M. A training intervention to improve frontline construction leaders’ safety leadership practices and overall jobsite safety climate. J. Saf. Res. 2019. [Google Scholar] [CrossRef]
- Grill, M.; Nielsen, K. Promoting and impeding safety—A qualitative study into direct and indirect safety leadership practices of constructions site managers. Saf. Sci. 2019, 114, 148–159. [Google Scholar] [CrossRef]
- Pandit, B.; Albert, A.; Patil, Y. Fostering Safety Communication among Construction Workers: Role of Safety Climate and Crew-Level Cohesion. Int. J. Environ. Res. Public Health 2019, 16, 71. [Google Scholar] [CrossRef] [PubMed]
- Shen, Y.; Ju, C.; Koh, T.Y. The Impact of Transformational Leadership on Safety Climate and Individual Safety Behavior on Construction Sites. Int. J. Environ. Res. Public Health 2017, 14, 45. [Google Scholar] [CrossRef] [PubMed]
- Smith, T.D.; Eldridge, F.; Dejoy, D.M. Safety-specific transformational and passive leadership influences on firefighter safety climate perceptions and safety behavior outcomes. Saf. Sci. 2006, 86, 92–97. [Google Scholar] [CrossRef]
- Vierendeels, G.; Reniers, G.; van Nunen, K.; Ponnet, K. An integrative conceptual framework for safety culture: The Egg Aggregated Model (TEAM) of safety culture. Saf. Sci. 2018, 103, 323–339. [Google Scholar] [CrossRef]
- Ram, T.; Chand, K. Effect of drivers’ risk perception and perception of driving tasks on road safety attitude. Transp. Res. Part F Traffic Psychol. Behav. 2016, 42, 162–176. [Google Scholar] [CrossRef]
- Tam, C.M.; Fung, I.W.H.; Chan, A.P.C. Study of attitude changes in people after the implementation of a new safety management system: The supervision plan. Constr. Manag. Econ. 2001, 19, 393–403. [Google Scholar] [CrossRef]
- Monazzam, M.R.; Soltanzadeh, A. The relationship between the worker’s safety attitude and the registered accidents. J. Res. Health Sci. 2009, 9, 17–20. [Google Scholar] [PubMed]
- Rau, P.P.; Liao, P.; Gou, Z. Personality factors and safety attitudes predict safety behavior and accidents in elevator workers. Int. J. Occup. Saf. Ergon. 2018, 1–9. [Google Scholar] [CrossRef] [PubMed]
- Cheng, Y.-H. Railway safety climate: A study on organizational development. Int. J. Occup. Saf. Ergon. 2017, 1–17. [Google Scholar] [CrossRef] [PubMed]
- Zhao, T.; Liu, X.M.; Ma, Z.Y.; Song, G.; Liu, Y.Q. Safety Assessment of Railway Vehicle Antenna Communication Management. Procedia Comput. Sci. 2019, 154, 531–536. [Google Scholar] [CrossRef]
- Hunter, E.M.; Neubert, M.J.; Perry, S.J.; Witt, L.A.; Penney, L.M.; Weinberger, E. Servant leaders inspire servant followers: Antecedents and outcomes for employees and the organization. Leadersh. Q. 2013, 24, 316–331. [Google Scholar] [CrossRef]
- Sokol, A.; Gozdek, A.; Figurska, L. The importance of teacher leadership in shaping the creative attitudes of students. In Proceedings of the 7th World Conference on Educational Sciences, Athens, Greece, 5–7 February 2015. [Google Scholar]
- Guay, R.P.; Kim, Y.; Oh, l.-S.; Vogel, R.M. The Interaction Effects of Leader and Follower Conscientiousness on Person-Supervisor Fit Perceptions and Follower Outcomes: A Cross-Level Moderated Indirect Effects Model. Hum. Perform. 2019, 32, 181–199. [Google Scholar] [CrossRef]
- Mullen, J.; Kelloway, E.K.; Teed, M. Employer safety obligations, transformational leadership and their interactive effects on employee safety performance. Saf. Sci. 2017, 91, 405–412. [Google Scholar] [CrossRef]
- Kao, K.; Spitzmueller, C.; Cigularov, K. Linking safety knowledge to safety behaviors: A moderated mediation of supervisor and worker safety attitudes. Eur. J. Work Organ. Psychol. 2019, 28, 206–220. [Google Scholar] [CrossRef]
- Gharibi, V.; Mortazavi, S.B.; Jafari, A.J.; Malakouti, J.; Abadi, M.B.H. The relationship between workers’ attitude towards safety and occupational accidents experience. Int. J. Occup. Hyg. 2016, 8, 145–150. [Google Scholar]
- Jahangiri, M.; Fakherpour, A.; Monsef, S.; Nezam, M. Safety Attitude and its associated factors among workers in Micro-and Small-Scale Enterprises (MSSEs) in Shiraz. J. Health Sci. Surveill. Syst. 2017, 5, 138–143. [Google Scholar]
- Ledesma, R.D.; Tosi, J.D.; Díaz-Lázaro, C.M.; Poó, F.M. Predicting road safety behavior with implicit attitudes and the Theory of Planned Behavior. J. Saf. Res. 2018, 66, 187–194. [Google Scholar] [CrossRef] [PubMed]
- Park, K.A. A Study on the Influence of the Perception of Personal Information Security of Youth on Security Attitude and Security Behavior. J. Korea Ind. Inf. Syst. Res. 2019, 24, 79–98. [Google Scholar] [CrossRef]
- Meng, X.; Zhai, H.; Chan, A.H.S. Development of Scales to Measure and Analyze the Relationship of Safety Consciousness and Safety Citizenship Behavior of Construction Workers: An Empirical Study in China. Int. J. Environ. Res. Public Health 2019, 16, 1411. [Google Scholar] [CrossRef] [PubMed]
- Mario, M.; Gracia, F.; Tomás, I.; José, M.P. Leadership and employees’ perceived safety behaviours in a nuclear power plant: A structural equation model. Saf. Sci. 2011, 49, 1118–1129. [Google Scholar] [CrossRef]
- Wu, C.; Wang, F.; Zou, P.X.W.; Fang, D. How safety leadership works among owners, contractors and subcontractors in construction projects. Int. J. Proj. Manag. 2016, 34, 789–805. [Google Scholar] [CrossRef]
- O’Dea, A.; Flin, R. Site managers and safety leadership in the offshore oil and gas industry. Saf. Sci. 2001, 37, 39–57. [Google Scholar] [CrossRef]
- Hackett, R.D.; Wang, A.-C.; Chen, Z.; Cheng, B.-S.; Farh, J.-L. Transformational Leadership and Organisational Citizenship Behaviour: A Moderated Mediation Model of Leader-Member-Exchange and Subordinates’ Gender. Appl. Psychol. 2018, 67, 617–644. [Google Scholar] [CrossRef]
- Kim, Y.; Han, S. The Effects of Leader’s Organizational Citizenship Behavior on Organizational Citizenship Behavior of Subordinates: Moderating Effect of Need of Achievement and Affiliation. Korean J. Hum. Resour. Dev. 2018, 21, 143–163. [Google Scholar] [CrossRef]
- Muldoon, J.; Singh, S.; Vidyarthi, P.R. Casting a Long Shadow: Leader-member Relationship and Employee Citizenship Behavior. J. Leadersh. Organ. Stud. 2019, 26, 60–72. [Google Scholar] [CrossRef]
- He, C.; Jia, G.; Mccabe, B.; Sun, J. Relationship between leader-member exchange and construction worker safety behavior: The mediating role of communication competence. Int. J. Occup. Saf. Ergon. 2019, 1–25. [Google Scholar] [CrossRef]
- Fisk, G.M.; Friesen, J.P. Perceptions of leader emotion regulation and LMX as predictors of followers’ job satisfaction and organizational citizenship behaviors. Leadersh. Q. 2012, 23, 1–12. [Google Scholar] [CrossRef]
- Skeepers, N.C.; Mbohwa, C. A Study on the Leadership Behaviour, Safety Leadership and Safety Performance in the Construction Industry in South Africa. Procedia Manuf. 2015, 4, 10–16. [Google Scholar] [CrossRef]
- Kapp, E.A. The influence of supervisor leadership practices and perceived group safety climate on employee safety performance. Saf. Sci. 2012, 50, 1119–1124. [Google Scholar] [CrossRef]
- Liu, Q.; Xu, N.; Jiang, H.; Wang, S.; Wang, W.; Wang, J. Psychological Driving Mechanism of Safety Citizenship Behaviors of Construction Workers: Application of the Theory of Planned Behavior and Norm Activation Model. J. Constr. Eng. Manag. 2020, 146, 04020027. [Google Scholar] [CrossRef]
- Sexton, J.B.; Helmreich, R.L.; Neilands, T.B.; Rowan, K.; Vella, K.; Boyden, J.; Roberts, P.R.; Thomas, E.J. The Safety Attitudes Questionnaire: Psychometric properties, benchmarking data, and emerging research. BMC Health Serv. Res. 2006, 6, 44. [Google Scholar] [CrossRef]
- Loosemore, M.; Malouf, N. Safety training and positive safety attitude formation in the Australian construction industry. Saf. Sci. 2019, 113, 233–243. [Google Scholar] [CrossRef]
- White, K.M.; Jimmieson, M.L.; Obse, P.L. Identifying safety beliefs among Australian electrical workers. Saf. Sci. 2016, 82, 164–173. [Google Scholar] [CrossRef][Green Version]
- Lee, Y.H.; Lu, T.E.; Yang, C.C. A multilevel approach on empowering leadership and safety behavior in the medical industry: The mediating effects of knowledge sharing and safety climate. Saf. Sci. 2019, 117, 1–9. [Google Scholar] [CrossRef]
- Clarke, S. Safety leadership: A meta-analytic review of transformational and transactional leadership styles as antecedents of safety behaviours. J. Occup. Organ. Psychol. 2012, 86, 22–49. [Google Scholar] [CrossRef]
- Lu, C.S.; Yang, C.S. Safety leadership and safety behavior in container terminal operations. Saf. Sci. 2010, 48, 123–134. [Google Scholar] [CrossRef]
- Wu, T.C. The validity and reliability of safety leadership scale in universities of Taiwan. Int. J. Technol. Eng. Educ. 2005, 2, 27–42. [Google Scholar]
- Bollen, K. Structural Equations with Latent Variables; John Wiley: New York, NY, USA, 1989. [Google Scholar]
- Clark, L.A.; Watson, D. Construct validity basic issue in objective scale development. Psychol. Assess. 1995, 7, 309–319. [Google Scholar] [CrossRef]
- Lee, J.C.; Paul, E.M. Construct validity in psychological tests. J. Psychol. Bull. 1955, 52, 281–302. [Google Scholar] [CrossRef]
- Choe, A.S.; Nebel, M.B.; Barber, A.D.; Cohen, J.R.; Xu, Y.; Pekar, J.J.; Lindquist, M.A. Comparing test-retest reliability of dynamic functional connectivity methods. NeuroImage 2017, 158, 155–175. [Google Scholar] [CrossRef] [PubMed]
- Cronback, L.J. Coefficient alpha and the internal structure of tests. Psychometrika 1951, 16, 297–334. [Google Scholar] [CrossRef]
- Hair, J.; Black, W.C.; Babin, B.J.; Anderson, R.E. Multivariate Data Analysis: International Version; Pearson Educaton: Cranbury, NJ, USA, 2010. [Google Scholar]
- Peng, L.; Chan, H.S. Exerting Explanatory Accounts of Safety Behavior of Older Construction Workers within the Theory of Planned Behavior. Int. J. Environ. Res. Public Health 2019, 16, 3342. [Google Scholar] [CrossRef] [PubMed]
- Mueller, R.O.; Gregory, R.H. Structural equation modeling. In the Reviewer’s Guide to Quantitative Methods in the Social Sciences; Routledge: London, UK, 2018; pp. 445–456. [Google Scholar]
- Du, X.S.; Zhao, X.T. An Empirical Investigation of the Influence of Safety Climate on Safety Citizenship Behavior in Coal Mine. Procedia Eng. 2011, 26, 2173–2180. [Google Scholar] [CrossRef]
- Albert, A.; Hallowell, M.R.; Kleiner, B.M. Enhancing Construction Hazard Recognition and Communication with Energy-Based Cognitive Mnemonics and Safety Meeting Maturity Model: Multiple Baseline Study. J. Constr. Eng. Manag. 2014, 140, 04013042. [Google Scholar] [CrossRef]
- Gray, G.C. The regulation of corporate violations. Br. J. Criminol. 2006, 46, 875–892. [Google Scholar] [CrossRef]
- Liu, G.; Luo, C. Analysis of the Safety Psychological Factors in the Coal Mine Safety Management. Procedia Eng. 2012, 45, 253–258. [Google Scholar] [CrossRef]
- Guo, M.; Liu, S.; Chu, F.; Ye, L.; Zhang, Q. Supervisory and coworker support for safety: Buffers between job insecurity and safety performance of high-speed railway drivers in China. Saf. Sci. 2019, 117, 290–298. [Google Scholar] [CrossRef]
- Zhang, J.; Zhai, H.; Meng, X.; Wang, W.; Zhou, L. Influence of Social Safety Capital on Safety Citizenship Behavior: The Mediation of Autonomous Safety Motivation. Int. J. Environ. Res. Public Health 2020, 17, 866. [Google Scholar] [CrossRef] [PubMed]



| Latent Variable | Dimension | Abbreviations |
|---|---|---|
| Safety leadership (SL) | Leadership behavior | SL1 |
| Safety concerns | SL2 | |
| Security control | SL3 | |
| Safety attitude (SA) | Safety awareness | SA1 |
| Safety behavior tendency | SA2 | |
| Safety emotion | SA3 | |
| Safe citizenship behavior (SCB) | Mutual aid among workers | SB1 |
| Relationship between superior and subordinate | SB2 | |
| Participation in suggestion-making. | SB3 | |
| Self-control | SB4 |
| Variable | Test Item | Item Deleted Scale Mean | Scale Variance Value of Item Deleted | Corrected Item Total Correlation (CITC) | Cronbach’s Alpha Value of Item Deleted | Cronbach’s Alpha |
|---|---|---|---|---|---|---|
| SL | SL1 | 2.709 | 1.529 | 0.828 | 0.913 | 0.926 |
| SL2 | 2.667 | 1.260 | 0.889 | 0.862 | ||
| SL3 | 2.675 | 1.369 | 0.842 | 0.899 | ||
| SCB | SB1 | 4.715 | 5.111 | 0.839 | 0.872 | 0.902 |
| SB2 | 4.588 | 4.674 | 0.837 | 0.858 | ||
| SB3 | 4.470 | 4.045 | 0.802 | 0.868 | ||
| SB4 | 4.529 | 3.997 | 0.746 | 0.898 | ||
| SA | SA1 | 3.021 | 3.076 | 0.674 | 0.813 | 0.842 |
| SA2 | 2.979 | 2.637 | 0.726 | 0.765 | ||
| SA3 | 2.933 | 2.865 | 0.727 | 0.762 |
| Construct | Item | Significance Estimation | Factor Load | Topic Reliability | Convergent Validity | Composite Reliability | |||
|---|---|---|---|---|---|---|---|---|---|
| Un-std | S.E. | t-Value | P | Std | SMC | AVE | CR | ||
| SL | SL1 | 1.00 | 0.87 | 0.75 | 0.81 | 0.93 | |||
| SL2 | 1.13 | 0.06 | 18.59 | *** | 0.88 | 0.78 | |||
| SL3 | 1.29 | 0.06 | 20.60 | *** | 0.96 | 0.91 | |||
| SA | SA1 | 1.00 | 0.75 | 0.56 | 0.64 | 0.84 | |||
| SA2 | 1.24 | 0.11 | 11.42 | *** | 0.83 | 0.69 | |||
| SA3 | 1.15 | 0.10 | 11.42 | *** | 0.83 | 0.69 | |||
| SCB | SB1 | 1.00 | 0.93 | 0.86 | 0.74 | 0.92 | |||
| SB2 | 1.21 | 0.05 | 24.43 | *** | 0.94 | 0.88 | |||
| SB3 | 1.32 | 0.08 | 17.58 | *** | 0.81 | 0.66 | |||
| SB4 | 1.29 | 0.09 | 14.93 | *** | 0.74 | 0.55 | |||
| SL | SCB | SA | |
|---|---|---|---|
| SL | 0.90 | - | - |
| SCB | 0.77 | 0.86 | - |
| SA | 0.82 | 0.78 | 0.80 |
| χ2/df | RMR | GFI | IFI | CFI | PGFI | RMSEA |
|---|---|---|---|---|---|---|
| 5.545 | 0.024 | 0.881 | 0.932 | 0.931 | 0.512 | 0.0368 |
| Path | Un-std | S.E. | C.R. | P | Std | ||
|---|---|---|---|---|---|---|---|
| SA | <--- | SL | 1.09 | 0.098 | 11.126 | *** | 0.82 |
| SCB | <--- | SA | 0.381 | 0.087 | 4.394 | *** | 0.457 |
| SCB | <--- | SL | 0.438 | 0.109 | 4.038 | *** | 0.395 |
| SA1 | <--- | SA | 1 | 0.741 | |||
| SA2 | <--- | SA | 1.261 | 0.101 | 12.483 | *** | 0.836 |
| SA3 | <--- | SA | 1.151 | 0.093 | 12.349 | *** | 0.826 |
| SB1 | <--- | SCB | 1 | 0.938 | |||
| SB2 | <--- | SCB | 1.174 | 0.046 | 25.548 | *** | 0.927 |
| SB3 | <--- | SCB | 1.295 | 0.073 | 17.856 | *** | 0.806 |
| SB4 | <--- | SCB | 1.274 | 0.083 | 15.31 | *** | 0.746 |
| SL1 | <--- | SL | 1 | 0.875 | |||
| SL2 | <--- | SL | 1.246 | 0.058 | 21.399 | *** | 0.937 |
| SL3 | <--- | SL | 1.137 | 0.058 | 19.55 | *** | 0.894 |
| Correlation Coefficient | ||||||||||
|---|---|---|---|---|---|---|---|---|---|---|
| SL1 | SL2 | SL3 | SB1 | SB2 | SB3 | SB4 | SA1 | SA2 | SA3 | |
| SL1 | 1 | |||||||||
| SL2 | 0.82 | 1 | ||||||||
| SL3 | 0.782 | 0.837 | 1 | |||||||
| SB1 | 0.632 | 0.677 | 0.645 | 1 | ||||||
| SB2 | 0.625 | 0.669 | 0.638 | 0.87 | 1 | |||||
| SB3 | 0.543 | 0.581 | 0.554 | 0.756 | 0.747 | 1 | ||||
| SB4 | 0.503 | 0.538 | 0.513 | 0.7 | 0.692 | 0.601 | 1 | |||
| SA1 | 0.532 | 0.57 | 0.543 | 0.543 | 0.537 | 0.466 | 0.432 | 1 | ||
| SA2 | 0.6 | 0.642 | 0.613 | 0.613 | 0.605 | 0.526 | 0.487 | 0.62 | 1 | |
| SA3 | 0.593 | 0.635 | 0.606 | 0.605 | 0.598 | 0.52 | 0.482 | 0.612 | 0.691 | 1 |
© 2020 by the authors. Licensee MDPI, Basel, Switzerland. This article is an open access article distributed under the terms and conditions of the Creative Commons Attribution (CC BY) license (http://creativecommons.org/licenses/by/4.0/).
Share and Cite
Li, M.; Zhai, H.; Zhang, J.; Meng, X. Research on the Relationship Between Safety Leadership, Safety Attitude and Safety Citizenship Behavior of Railway Employees. Int. J. Environ. Res. Public Health 2020, 17, 1864. https://doi.org/10.3390/ijerph17061864
Li M, Zhai H, Zhang J, Meng X. Research on the Relationship Between Safety Leadership, Safety Attitude and Safety Citizenship Behavior of Railway Employees. International Journal of Environmental Research and Public Health. 2020; 17(6):1864. https://doi.org/10.3390/ijerph17061864
Chicago/Turabian StyleLi, Mengjie, Huaiyuan Zhai, Junjie Zhang, and Xiangcheng Meng. 2020. "Research on the Relationship Between Safety Leadership, Safety Attitude and Safety Citizenship Behavior of Railway Employees" International Journal of Environmental Research and Public Health 17, no. 6: 1864. https://doi.org/10.3390/ijerph17061864
APA StyleLi, M., Zhai, H., Zhang, J., & Meng, X. (2020). Research on the Relationship Between Safety Leadership, Safety Attitude and Safety Citizenship Behavior of Railway Employees. International Journal of Environmental Research and Public Health, 17(6), 1864. https://doi.org/10.3390/ijerph17061864

