Anthropogenic Effects of Coal Mining on Ecological Resources of the Central Indus Basin, Pakistan
Abstract
1. Introduction
2. Materials and Methods
2.1. Study Area
2.2. Establishing Mining Activities
2.3. Field Investigationand Sampling Strategy
2.4. Analytical Standards and Aspects
2.5. Assessment of Geochemical Indices
2.5.1. Geo-Accumulation Index Value
2.5.2. Enrichment Factor (EF)
2.5.3. Contamination Factor (CF) and Degree of Contamination (CD)
2.5.4. Pollution Load Index (PLI)
2.5.5. Ecological Risk
2.5.6. Anthropogenic Element (AE)
3. Results and Discussion
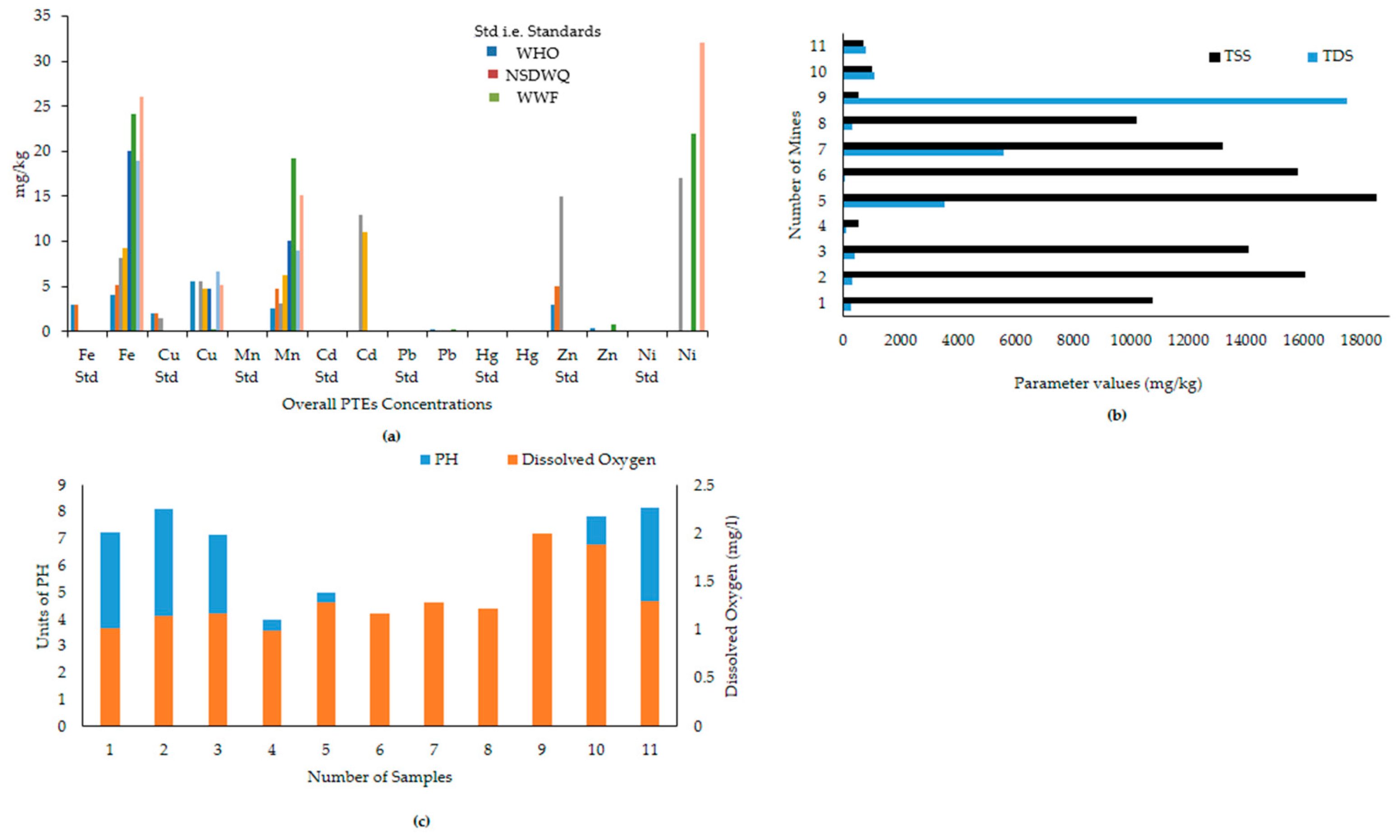
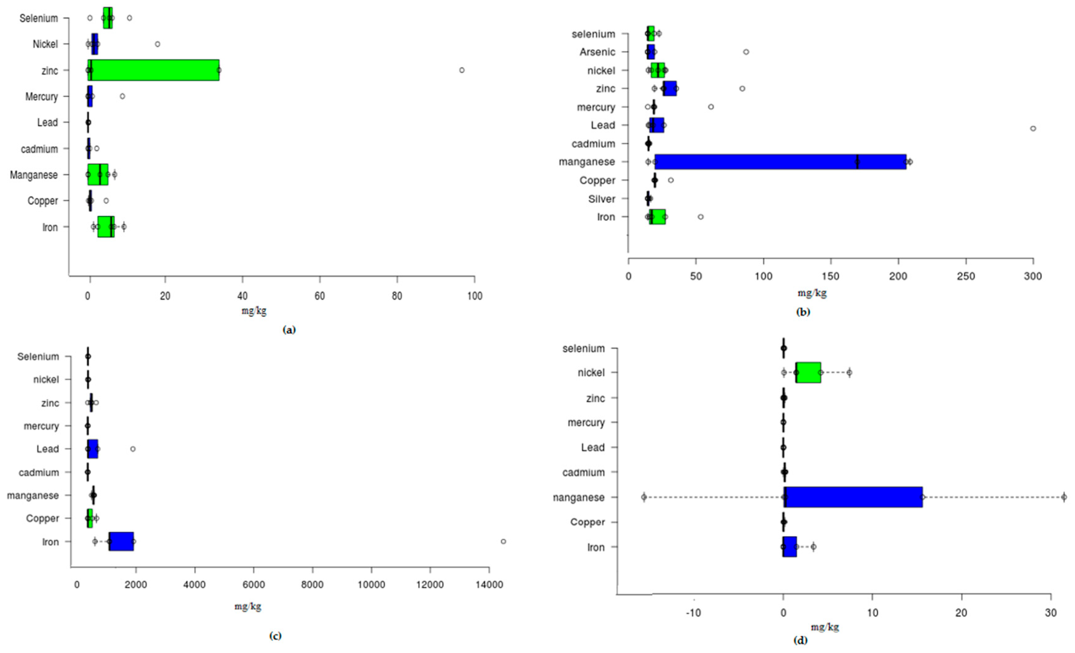
3.1. Overall Elemental Concentration and Physical Parameters
3.2. Probable Toxicity and Health Effects of PTEs
4. Conclusions
Author Contributions
Funding
Acknowledgments
Conflicts of Interest
References
- Prathap, A.; Chakraborty, S. Hydro chemical characterization and suitability analysis of groundwater for domestic and irrigation uses in open cast coal mining areas of Charhi and Kuju, Jharkhand, India. Groundw. Sustain. Dev. 2019, 9, 100244. [Google Scholar] [CrossRef]
- Wellen, C.; Shatilla, N.J.; Carey, S.K. The influence of mining on hydrology and solute transport in the Elk Valley, British Columbia, Canada. Environ. Res. Lett. 2018, 13, 074012. [Google Scholar] [CrossRef]
- Qiao, W.; Li, W.; Li, T.; Chang, J.; Wang, Q. Effects of coal mining on shallow water resources in semiarid regions: A case study in the Shennan mining area, Shaanxi, ChinaChina. Mine Water Environ. 2017, 36, 104–113. [Google Scholar] [CrossRef]
- Griffith, M.B.; Norton, S.B.; Alexander, L.C.; Pollard, A.I.; LeDuc, S.D. The effects of mountaintop mines and valley fills on the physicochemical quality of stream ecosystems in the central Appalachians: A review. Sci. Total Environ. 2012, 417, 1–12. [Google Scholar] [CrossRef]
- Ali, M.M.; Ali, M.L.; Islam, M.S.; Rahman, M.Z. Preliminary assessment of heavy metals in water and sediment of Karnaphuli river, Bangladesh. Environ. Nanotechnol. Monit. Manag. 2016, 5, 27–35. [Google Scholar] [CrossRef]
- Malkani, M.S.; Buzdar, F.; Zahid, M. Coal resources of PakistanPakistan: New coalfields. Lasbela Univ. J. Sci. Technol. 2016, 5, 7–22. [Google Scholar]
- Howladar, M.F. Coal mining impacts on water environs around the Barapukuria coal mining area, Dinajpur, Bangladesh. Environ. Earth Sci. 2013, 70, 215–226. [Google Scholar] [CrossRef]
- Yeats, R.S.; Khan, S.H.; Akhtar, M. Late quaternary deformation of the salt range of Pakistan. Geol. Soc. Am. Bull. 1984, 95, 958–966. [Google Scholar] [CrossRef]
- Ahmad, H.; Ahmad, A.; Jan, M.M. The medicinal plants of salt range. Online J. Biol. Sci 2002, 2, 175–177. [Google Scholar]
- Iqbal, M. Soil & Water Conservation Needs Assessment using Geospatial Techniques: A case Study of Potohar Region of Pakistan. In Proceedings of the 4th International Conference on the Use of Space Technology for Water Management, Islamabad, Pakistan, 26 February—2 March 2018. [Google Scholar]
- Malkani, M.S.; Mahmood, Z. Mineral resources of Pakistan: Provinces and basins wise. Geol. Surv. Pak. Mem. 2017, 25, 1–179. [Google Scholar]
- Burger Chakraborty, L.; Qureshi, A.; Vadenbo, C.; Hellweg, S. Anthropogenic mercury flows in India and impacts of emission controls. Environ. Sci. Technol. 2013, 47, 8105–8113. [Google Scholar] [CrossRef] [PubMed]
- American Society for Testing and Materials. ASTM D422-63, Standard test method for particle-size analysis of soils. In Annual Book of ASTM Standards; American Society for Testing and Materials: West Conshohocken, PA, USA, 2003; Volume 4–8, pp. 10–17. [Google Scholar]
- Radojevic, M.; Bashkin, V. Practical Environmental Analysis; Royal society of chemistry: London, UK, 2007. [Google Scholar]
- Gallego, J.L.R.; Ordóñez, A.; Loredo, J. Investigation of trace element sources from an industrialized area (Avilés, northern Spain) using multivariate statistical methods. Environ. Int. 2002, 27, 589–596. [Google Scholar] [CrossRef]
- Violante, P.; Adamo, P. pH determination. In Official Methods of Soil Chemical Analysis; Francoangeli: Rome, Italy, 2000; pp. 10–13. [Google Scholar]
- USEPA. Method 3051: Microwave Assisted Digestion of Sediments, Sludges, Soils and Oils, Official Methods/US EPA Methods; Environmental Protection Agency: Washington, DC, USA, 2001. [Google Scholar]
- Muller, G. Index of geoaccumulation in sediments of the Rhine river. Geojournal 1969, 2, 108–118. [Google Scholar]
- Sutherland, R. Bed sediment-associated trace metals in an urban stream, Oahu, Hawaii. Environ. Geol. 2000, 39, 611–627. [Google Scholar] [CrossRef]
- Hakanson, L. An ecological risk index for aquatic pollution control. A sedimentological approach. Water Res. 1980, 14, 975–1001. [Google Scholar] [CrossRef]
- Idris, I.M.; Younis, Y.M.E.; Elbashir, A.A. Monitoring the anthropogenic and geochemical environment surrounding the Butana drinking water sources via the determination of heavy metals composition of the soil, streams sediments and gold mining tailings (ii). Available online: https://www.eijst.org.uk/images/frontImages/articles/Vol.7No.3/6.51-64.pdf (accessed on 13 February 2020).
- Liu, W.-H.; Zhao, J.-Z.; Ouyang, Z.-Y.; Söderlund, L.; Liu, G.-H. Impacts of sewage irrigation on heavy metal distribution and contamination in Beijing, China. Environ. Int. 2005, 31, 805–812. [Google Scholar] [CrossRef]
- AKSU, A.E.; YAŞAR, D.; Orhan, U. Assessment of marine pollution in Izmir Bay: Heavy metal and organic compound concentrations in surficial sediments. Turk. J. Eng. Environ. Sciences 1998, 22, 387–416. [Google Scholar]
- Likuku, A.S.; Mmolawa, K.B.; Gaboutloeloe, G.K. Assessment of heavy metal enrichment and degree of contamination around the copper-nickel mine in the Selebi Phikwe region, Eastern Botswana. Environ. Ecol. Res. 2013, 1, 32–40. [Google Scholar]
- Rastmanesh, F.; Moore, F.; Kopaei, M.K.; Keshavarzi, B.; Behrouz, M. Heavy metal enrichment of soil in sarcheshmeh copper complex, Kerman, Iran. Environ. Earth Sci. 2011, 62, 329–336. [Google Scholar] [CrossRef]
- Sadhu, K.; Adhikari, K.; Gangopadhyay, A. Assessment of heavy metal contamination of soils in and around open cast mines of Raniganj area, India. Int. J. Environ. Eng. Res. 2012, 1, 77–85. [Google Scholar]
- Halim, M.; Majumder, R.; Zaman, M. Paddy soil heavy metal contamination and uptake in rice plants from the adjacent area of Barapukuria coal mine, northwest bangladesh. Arab. J. Geosci. 2015, 8, 3391–3401. [Google Scholar] [CrossRef]
- Tariq, J.; Ashraf, M.; Jaffar, M.; Afzal, M. Pollution status of the Indus river, Pakistan, through heavy metal and macronutrient contents of fish, sediment and water. Water Res. 1996, 30, 1337–1344. [Google Scholar] [CrossRef]
- Krika, A.; Krika, F. Evaluation of the status of heavy metal pollution in surface water and sediments of the Nile river (north eastern Algeria). Pollution 2017, 3, 301–310. [Google Scholar]
- Li, Z.; Huo, J.; Bricker, J.D. Ecological risk assessment for eutrophication and heavy metal pollution of suyahu reservoir sediments. Biotechnol. Biotechnol. Equip. 2019, 33, 1053–1062. [Google Scholar] [CrossRef]
- Ebong, G.A.; Ekong, C.I. Pollution status of trace metals in waste impacted soils within Borokiri town, Port Harcourt metropolis, Rivers state, Nigeria. Int. J. Sci. Res. Environ. Sci. 2015, 3, 0436–0444. [Google Scholar] [CrossRef]
- Mazurek, R.; Kowalska, J.; Gąsiorek, M.; Zadrożny, P.; Józefowska, A.; Zaleski, T.; Kępka, W.; Tymczuk, M.; Orłowska, K. Assessment of heavy metals contamination in surface layers of Roztocze National Park forest soils (se poland) by indices of pollution. Chemosphere 2017, 168, 839–850. [Google Scholar] [CrossRef]
- MacDonald, D.D.; Ingersoll, C.G.; Berger, T.A. Development and evaluation of consensus-based sediment quality guidelines for freshwater ecosystems. Arch. Environ. Contam. Toxicol. 2000, 39, 20–31. [Google Scholar] [CrossRef]
- Caeiro, S.; Costa, M.H.; Ramos, T.B.; Fernandes, F.; Silveira, N.; Coimbra, A.; Medeiros, G.; Painho, M. Assessing heavy metal contamination in Sado Estuary sediment: An index analysis approach. Ecol. Indic. 2005, 5, 151–169. [Google Scholar] [CrossRef]
- Hanif, N.; Eqani, S.A.M.A.S.; Ali, S.M.; Cincinelli, A.; Ali, N.; Katsoyiannis, I.A.; Tanveer, Z.I.; Bokhari, H. Geo-accumulation and enrichment of trace metals in sediments and their associated risks in the Chenab river, Pakistan. J. Geochem. Explor. 2016, 165, 62–70. [Google Scholar] [CrossRef]
- Yuan, G.L.; Sun, T.H.; Han, P.; Li, J. Environmental geochemical mapping and multivariate geostatistical analysis of heavy metals in topsoils of a closed steel smelter: Capital Iron & Steel Factory, Beijing, China. J. Geochem. Explor. 2013, 130, 15–21. [Google Scholar]
- Duan, J.; Tan, J. Atmospheric heavy metals and arsenic in China: Situation, sources and control policies. Atmos. Environ. 2013, 74, 93–101. [Google Scholar] [CrossRef]
- Prasad, B.; Kumari, P.; Bano, S.; Kumari, S. Ground water quality evaluation near mining area and development of heavy metal pollution index. Appl. Water Sci. 2014, 4, 11–17. [Google Scholar] [CrossRef]
- Reza, S.K.; Baruah, U.; Singh, S.K.; Das, T.H. Geostatistical and multivariate analysis of soil heavy metal contamination near coal mining area, Northeastern India. Environ. Earth Sci. 2015, 73, 5425–5433. [Google Scholar] [CrossRef]
- Ghaderpoori, M. Heavy metals analysis and quality assessment in drinking water–Khorramabad city, Iran. Data Brief 2018, 16, 685. [Google Scholar] [CrossRef] [PubMed]
- Pirsaheb, M.; Khosravi, T.; Sharafi, K.; Babajani, L.; Rezaei, M. Measurement of heavy metals concentration in drinking water from source to consumption site in Kermanshah—Iran. World Appl. Sci. J. 2013, 21, 416–423. [Google Scholar]
- Alvarez, E.; Marcos, M.F.; Vaamonde, C.; Fernández-Sanjurjo, M.J. Heavy metals in the dump of an abandoned mine in Galicia (NW Spain) and in the spontaneously occurring vegetation. Sci. Total Environ. 2003, 313, 185–197. [Google Scholar] [CrossRef]
- Hudson-Edwards, K.A.; Schell, C.; Macklin, M.G. Mineralogy and geochemistry of alluvium contaminated by metal mining in the Rio Tinto area, southwest Spain. Appl. Geochem. 1999, 14, 1015–1030. [Google Scholar] [CrossRef]
- Kim, K.K.; Kim, K.W.; Kim, J.Y.; Kim, I.S.; Cheong, Y.W.; Min, J.S. Characteristics of tailings from the closed metal mines as potential contamination source in South Korea. Environ. Geol. 2001, 41, 358–364. [Google Scholar] [CrossRef]
- Lee, J.Y.; Choi, J.C.; Lee, K.K. Variations in heavy metal contamination of stream water and groundwater affected by an abandoned lead–zinc mine in Korea. Environ. Geochem. Health. 2005, 27, 237–257. [Google Scholar] [CrossRef]
- Thuy, H.T.; Tobschall, H.J.; An, P.V. Distribution of heavy metals in urban soils–a case study of Danang-Hoian Area (Vietnam). Environ. Geol. 2000, 39, 603–610. [Google Scholar] [CrossRef]
- Tra Ho, T.L.; Egashira, K. Heavy metal characterization of river sediment in Hanoi, Vietnam. Commun. Soil Sci. Plant Anal. 2000, 31, 2901–2916. [Google Scholar] [CrossRef]
- Abdul, R.; Muhammad, J.; Muhammad, U.; Sajid, A. Assessment of heavy metals in sediments of the river ravi, Pakistan. Int. J. Agric. Biol. 2009, 11, 197–200. [Google Scholar]
- Varol, M.; Şen, B. Assessment of nutrient and heavy metal contamination in surface water and sediments of the upper Tigris river, Turkey. Catena 2012, 92, 1–10. [Google Scholar] [CrossRef]
- Méndez, W. Contamination of Rímac river basin Peru, due to mining tailings. In Environmental Engineering and Sustainable Infrastructure; The Royal Institute of Technology (KTH) Stockholm: Stockholm, Sweden, 2005. [Google Scholar]
- Singh, V.K.; Singh, K.P.; Mohan, D. Status of heavy metals in water and bed sediments of river gomti–a tributary of the ganga river, India. Environ. Monit. Assess. 2005, 105, 43–67. [Google Scholar] [CrossRef] [PubMed]
- Lin, C.; He, M.; Zhou, Y.; Guo, W.; Yang, Z. Distribution and contamination assessment of heavy metals in sediment of the second Songhua river, China. Environ. Monit. Assess. 2008, 137, 329. [Google Scholar] [CrossRef] [PubMed]
- Suthar, S.; Nema, A.K.; Chabukdhara, M.; Gupta, S.K. Assessment of metals in water and sediments of Hindon river, India: Impact of industrial and urban discharges. J. Hazard. Mater. 2009, 171, 1088–1095. [Google Scholar] [CrossRef]
- Olivares-Rieumont, S.; De la Rosa, D.; Lima, L.; Graham, D.W.; Katia, D.; Borroto, J.; Martínez, F.; Sánchez, J. Assessment of heavy metal levels in Almendares river sediments—Havana city, Cuba. Water Res. 2005, 39, 3945–3953. [Google Scholar] [CrossRef]
- Rifaat, A. Major controls of some metals distribution in sediments off the Nile Delta, Egypt. Egypian J. Aquat. Res. 2005, 31, 16–28. [Google Scholar]
- Azmat, H.; Javed, M.; Jabeen, G. Acute toxicity of aluminium to the fish (Catla catla, Labeo rohita and Cirrhina mrigala). Pak. Vet. J. 2012, 32, 85–87. [Google Scholar]
- Qadir, A.; Malik, R.N. Heavy metals in eight edible fish species from two polluted tributaries (Aik and Palkhu) of the River Chenab, Pakistan. Biol. Trace Elem. Res. 2011, 143, 1524–1540. [Google Scholar] [CrossRef]
- Singh, R.; Gautam, N.; Mishra, A.; Gupta, R. Heavy metals and living systems: An overview. Indian J. Pharmacol. 2011, 43, 246. [Google Scholar] [CrossRef] [PubMed]
- Chaturvedi, R.; Banerjee, S.; Chattopadhyay, P.; Bhattacharjee, C.R.; Raul, P.; Borah, K. High iron accumulation in hair and nail of people living in iron affected areas of Assam, India. Ecotoxicol. Environ. Saf. 2014, 110, 216–220. [Google Scholar] [CrossRef] [PubMed]
- Patil, R.M.; Thorat, N.D.; Shete, P.B.; Bedge, P.A.; Gavde, S.; Joshi, M.G.; Tofail, S.A.; Bohara, R.A. Comprehensive cytotoxicity studies of superparamagnetic iron oxide nanoparticles. Biochem. Biophys. Rep. 2018, 13, 63–72. [Google Scholar] [CrossRef] [PubMed]
- Cherfi, A.; Achour, M.; Cherfi, M.; Otmani, S.; Morsli, A. Health risk assessment of heavy metals through consumption of vegetables irrigated with reclaimed urban wastewater in Algeria. Process Saf. Environ. Prot. 2015, 98, 245–252. [Google Scholar] [CrossRef]
- Izah, S.C.; Chakrabarty, N.; Srivastav, A.L. A review on heavy metal concentration in potable water sources in Nigeria: Human health effects and mitigating measures. Expo. Health 2016, 8, 285–304. [Google Scholar] [CrossRef]
- Chakraborty, S.; Dutta, A.R.; Sural, S.; Gupta, D.; Sen, S. Ailing bones and failing kidneys: A case of chronic cadmium toxicity. Ann. Clin. Biochem. 2013, 50, 492–495. [Google Scholar] [CrossRef]
- Race, M.; Ferraro, A.; Fabbricino, M.; La Marca, A.; Panico, A.; Spasiano, D.; Tognacchini, A.; Pirozzi, F. Ethylenediamine-N, N′-disuccinic acid (EDDS)—Enhanced flushing optimization for contaminated agricultural soil remediation and assessment of prospective Cu and Zn transport. Int. J. Environ. Res. Public Health 2018, 15, 543. [Google Scholar] [CrossRef]











| I-Geo Value | Pollution Value |
|---|---|
| <0 | Unpolluted |
| 0–1 | Unpolluted to Moderately polluted |
| 1–2 | Moderately polluted to Strongly polluted |
| 2–3 | Strongly polluted |
| 3–5 | Strongly polluted to extremely strongly polluted |
| >5 | Extremely polluted |
| Enrichment Factor (EF) | Description |
|---|---|
| EF < 2 | Depletion to minimal enrichment |
| 2 < EF < 5 | Moderate enrichment |
| 5 < EF < 20 | Significant enrichment |
| 20 < EF < 40 | Very high enrichment |
| EF > 40 | Extremely high enrichment |
| Range | Ecological Risk |
|---|---|
| <40 | Low Ecological Risk |
| 40 ≤ ER ≤ 80 | Moderate potential Ecological Risk |
| 80 ≤ ER ≤ 160 | Considerable potential Ecological Risk |
| 160 ≤ ER < 320 | Highpotential Ecological Risk |
| ER > 320 | Very high potential Ecological Risk |
| Mean Concentrations of PTEs (mg/kg) | ||||||||||
|---|---|---|---|---|---|---|---|---|---|---|
| Location | Zn | Mn | Cu | Cd | Pb | Hg | Fe | Ni | Se | Reference |
| Tailing’s * | 77.62 | 430.9 | 15.9 | 3.52 | 18.59 | 12.5 | 898.08 | 19 | 27 | Present study |
| Soil * | 28.8 | 274.89 | 5.6 | 7.33 | 0.021 | 0.001 | 19.5 | 4.2 | 16.08 | |
| Marala | 23 | 375 | 6 | 0.4 | 11.9 | - | - | - | - | [35] |
| Qadirabad | 22 | 319 | 5.4 | 0.3 | 4 | - | - | - | - | [35] |
| china | 1163 | - | 211.9 | 11 | 641.3 | 3.82 | 198 | 29.1 | - | [36,37] |
| India | 338.8 | - | 63.9 | 3.82 | 304.7 | - | 166.2 | 83.7 | - | [38,39] |
| Iran | 363.4 | - | 88.4 | 1.49 | 1002 | 3.13 | 50 | 1.8 | 23 | [40,41] |
| Spain | 465.8 | - | 120.8 | 6.59 | 881.8 | 52.9 | 294 | 13 | 13 | [42,43] |
| South Korea | 183.2 | - | 79.09 | 1.99 | 111.1 | 1.12 | 22.1 | - | - | [44,45] |
| Vietnam | 41.09 | - | 271.4 | 1.35 | 30635 | - | 3.7 | 20 | 12 | [46,47] |
| TEC | 121 | 460 | 31.6 | 0.99 | 35.8 | - | - | 22 | - | [33] |
| PEC | 459 | 110 | 149 | 4.98 | 128 | - | - | 48.6 | - | [34] |
| Location | Mean Concentration (mg/kg) | |||||||
|---|---|---|---|---|---|---|---|---|
| Zn | Mn | Cd | Cu | Co | Pb | Ni | Reference | |
| River Jhelum, Pakistan | 0.245 | 0.73 | 0.275 | 0.027 | - | 0.007 | 10.1 | This study |
| River Chenab, Pakistan | 33.7 | 494 | 1.67 | 8.16 | 7.95 | 18.1 | - | [35] |
| River Ravi, Pakistan | - | - | 3.17 | 159.79 | 18.53 | - | - | [48] |
| River Indus, Pakistan | 54.3 | 215 | 1.62 | 33.2 | - | 2.71 | - | [28] |
| River Tigris, Turkey | 1061 | 1682 | 7.9 | 2860 | 516 | 66 | - | [49] |
| River Rimac, Peru | 8076 | - | 31 | 796 | 24 | 2281 | - | [50] |
| River Gomati, India | 99.4 | 320 | 7.90 | 35.7 | - | 92.2 | - | [51] |
| River Second Songhua, China | 403 | - | - | 78.9 | 14.7 | 124 | - | [52] |
| River Hindon, India | 85 | 202 | 3.47 | 195 | - | 59.1 | - | [53] |
| River Almendares, Cuba | 709 | - | 43 | 421 | - | 189 | - | [54] |
| River Nile, Egypt | 221 | 2810 | - | 81 | - | 232 | - | [55] |
© 2020 by the authors. Licensee MDPI, Basel, Switzerland. This article is an open access article distributed under the terms and conditions of the Creative Commons Attribution (CC BY) license (http://creativecommons.org/licenses/by/4.0/).
Share and Cite
Jabbar Khan, A.; Akhter, G.; Gabriel, H.F.; Shahid, M. Anthropogenic Effects of Coal Mining on Ecological Resources of the Central Indus Basin, Pakistan. Int. J. Environ. Res. Public Health 2020, 17, 1255. https://doi.org/10.3390/ijerph17041255
Jabbar Khan A, Akhter G, Gabriel HF, Shahid M. Anthropogenic Effects of Coal Mining on Ecological Resources of the Central Indus Basin, Pakistan. International Journal of Environmental Research and Public Health. 2020; 17(4):1255. https://doi.org/10.3390/ijerph17041255
Chicago/Turabian StyleJabbar Khan, Abdul, Gulraiz Akhter, Hamza Farooq Gabriel, and Muhammad Shahid. 2020. "Anthropogenic Effects of Coal Mining on Ecological Resources of the Central Indus Basin, Pakistan" International Journal of Environmental Research and Public Health 17, no. 4: 1255. https://doi.org/10.3390/ijerph17041255
APA StyleJabbar Khan, A., Akhter, G., Gabriel, H. F., & Shahid, M. (2020). Anthropogenic Effects of Coal Mining on Ecological Resources of the Central Indus Basin, Pakistan. International Journal of Environmental Research and Public Health, 17(4), 1255. https://doi.org/10.3390/ijerph17041255

