Decreasing the Impact of Anxiety on Cancer Prevention through Online Intervention
Abstract
1. Introduction
2. Materials and Methods
2.1. General Description of the Study
2.2. Data Assessment and Main Measures
2.3. Statistical Analysis and Ethical Approval
3. Results
3.1. Does the Level of Anxiety Depend on Knowledge about Cancer?
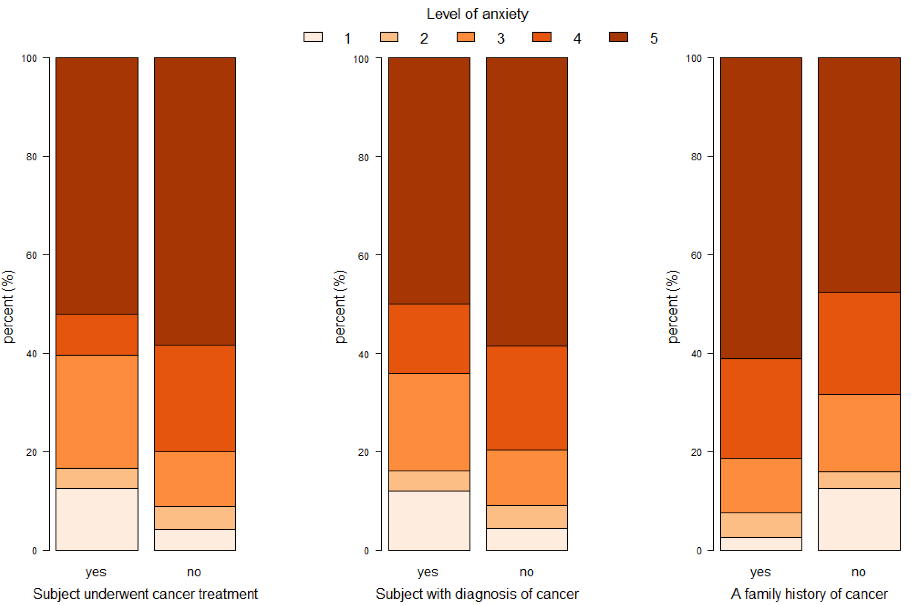
3.2. Other Factors that May Affect the Level of Anxiety Associated with Cancer
3.3. Impact of Educational Intervention on Level of Anxiety Associated with Cancer
4. Discussion
Advantages and Disadvantages
5. Conclusions
Supplementary Materials
Author Contributions
Funding
Acknowledgments
Conflicts of Interest
References
- Chojnacka-Szawłowska, G.; Majkowicz, M.; Basiński, K.; Zdun-Ryżewska, A.; Wasilewko, I.; Pankiewicz, P. Knowledge of cancer symptoms and anxiety affect patient delay in seeking diagnosis in patients with heterogeneous cancer locations. Curr. Probl. Cancer 2017, 41, 64–70. [Google Scholar] [CrossRef] [PubMed]
- Chojnacka-Szawłowska, G.; Kościelak, R.; Karasiewicz, K.; Majkowicz, M.; Kozaka, J. Delays in seeking cancer diagnosis in relation to beliefs about the curability of cancer in patients with different disease locations. Psychol. Health 2013, 28, 154–170. [Google Scholar] [CrossRef] [PubMed]
- American Cancer Society. Cancer Facts & Figures 2016; American Cancer Society: Atlanta, GA, USA, 2016. [Google Scholar]
- Sielska, J.; Matecka, M.; Dabrowska, E.; Jakubek, E.; Urbaniak, M. What do women know about breast cancer prophylaxis and a healthy style of life? Reports Pract. Oncol. Radiother. 2015, 20, 321–327. [Google Scholar] [CrossRef] [PubMed]
- McCutchan, G.M.; Wood, F.; Edwards, A.; Richards, R.; Brain, K.E. Influences of cancer symptom knowledge, beliefs and barriers on cancer symptom presentation in relation to socioeconomic deprivation: A systematic review. BMC Cancer 2015, 15, 1000. [Google Scholar] [CrossRef]
- Quaife, S.; Forbes, L.; Ramirez, A.; Brain, K.; Donnelly, C.; Simon, A.; Wardle, J. Recognition of cancer warning signs and anticipated delay in help-seeking in a population sample of adults in the UK. Br. J. Cancer 2014, 110, 12–18. [Google Scholar] [CrossRef]
- Simon, A.E.; Waller, J.; Robb, K.; Wardle, J. Patient delay in presentation of possible cancer symptoms: The contribution of knowledge and attitudes in a population sample from the United kingdom. Cancer Epidemiol. Biomark. Prev. 2010, 19, 2272–2277. [Google Scholar] [CrossRef]
- Hvidberg, L.; Wulff, C.N.; Pedersen, A.F.; Vedsted, P. Barriers to healthcare seeking, beliefs about cancer and the role of socio-economic position: A Danish population-based study. Prev. Med. (Baltim) 2015, 71, 107–113. [Google Scholar] [CrossRef]
- Hvidberg, L.; Pedersen, A.F.; Wulff, C.N.; Vedsted, P. Cancer awareness and socio-economic position: Results from a population-based study in Denmark. BMC Cancer 2014, 14, 581. [Google Scholar] [CrossRef]
- Paddison, J.S.; Yip, M.J. Exploratory study examining barriers to participation in colorectal cancer screening. Aust. J. Rural. Health 2010, 18, 11–15. [Google Scholar] [CrossRef]
- Turhal, N.S.; Dane, F.; Ulus, C.; Sari, S.; Senturk, N.; Bingol, D. Cancer-related false knowledge in relatives of cancer patients and the general public. J. BUON 2010, 15, 310–313. [Google Scholar]
- Gansler, T.; Kaw, C.; Crammer, C.; Smith, T. A population-based study of prevalence of complementary methods use by cancer survivors: A report from the American cancer society’s studies of cancer survivors. Cancer 2008, 113, 1048–1057. [Google Scholar] [CrossRef]
- Nowara, E.; Suwiński, R. Impact of educational differences as measure of socioeconomic status on survival for breast cancer patients. Contemp. Oncol. (Poznań, Poland) 2012, 16, 345–349. [Google Scholar] [CrossRef] [PubMed]
- Adams, C.; Torode, J.; Henshall, S.; Cazap, E.; Ryel, A.L.; Grey, N. The World Cancer Declaration: From resolution to action. Lancet Oncol. 2011, 12, 1091–1092. [Google Scholar] [CrossRef]
- Bender, J.L.; Jimenez-Marroquin, M.-C.; Jadad, A.R. Seeking support on facebook: A content analysis of breast cancer groups. J. Med. Internet Res. 2011, 13, e16. [Google Scholar] [CrossRef] [PubMed]
- Bender, J.L.; Wiljer, D.; To, M.J.; Bedard, P.L.; Chung, P.; Jewett, M.S.; Matthew, A.; Moore, M.; Warde, P.; Gospodarowicz, M. Testicular cancer survivors’ supportive care needs and use of online support: A cross-sectional survey. Support. Care Cancer 2012, 20, 2737–2746. [Google Scholar] [CrossRef]
- Roach, A.R.; Lykins, E.L.B.; Gochett, C.G.; Brechting, E.H.; Graue, L.O.; Andrykowski, M.A. Differences in cancer information-seeking behavior, preferences, and awareness between cancer survivors and healthy controls: A national, population-based survey. J. Cancer Educ. 2009, 24, 73–79. [Google Scholar] [CrossRef]
- Wiljer, D.; Urowitz, S.; Barbera, L.; Chivers, M.L.; Quartey, N.K.; Ferguson, S.E.; To, M.; Classen, C.C. A Qualitative Study of an Internet-Based Support Group for Women with Sexual Distress Due to Gynecologic Cancer. J. Cancer Educ. 2011, 26, 451–458. [Google Scholar] [CrossRef]
- Ahern, N.R. Using the internet to conduct research. Nurse Res. 2005, 13, 55–70. [Google Scholar]
- Boulkedid, R.; Abdoul, H.; Loustau, M.; Sibony, O.; Alberti, C. Using and Reporting the Delphi Method for Selecting Healthcare Quality Indicators: A Systematic Review. PLoS ONE 2011, 6, e20476. [Google Scholar] [CrossRef]
- Kaplowitz, M.D.; Hadlock, T.D.; Levine, R. A Comparison of Web and Mail Survey Response Rates. Public Opin. Q. 2004, 68, 94–101. [Google Scholar] [CrossRef]
- Winzelberg, A.J.; Classen, C.; Alpers, G.W.; Roberts, H.; Koopman, C.; Adams, R.E.; Ernst, H.; Dev, P.; Taylor, C.B. Evaluation of an internet support group for women with primary breast cancer. Cancer 2003, 97, 1164–1173. [Google Scholar] [CrossRef] [PubMed]
- Saab, M.M.; Reidy, M.; Hegarty, J.; O’Mahony, M.; Murphy, M.; Von Wagner, C.; Drummond, F.J. Men’s Information-Seeking Behaviour Regarding Cancer Risk and Screening: A Meta-Narrative Systematic Review. Psychooncology 2017, 27, 410–419. [Google Scholar] [CrossRef] [PubMed]
- Teo, C.H.; Ng, C.J.; Booth, A.; White, A. Barriers and facilitators to health screening in men: A systematic review. Soc. Sci. Med. 2016, 165, 168–176. [Google Scholar] [CrossRef] [PubMed]
- Robb, K.A.; Miles, A.; Campbell, J.; Evans, P.; Wardle, J. Can cancer risk information raise awareness without increasing anxiety? A randomized trial. Prev. Med. (Baltim) 2006, 43, 187–190. [Google Scholar] [CrossRef]
- Willems, R.A.; Bolman, C.A.W.; Mesters, I.; Kanera, I.M.; Beaulen, A.A.J.M.; Lechner, L. Short-term effectiveness of a web-based tailored intervention for cancer survivors on quality of life, anxiety, depression, and fatigue: Randomized controlled trial. Psychooncology 2017, 26, 222–230. [Google Scholar] [CrossRef]
- Owen, J.E.; O’Carroll Bantum, E.; Pagano, I.S.; Stanton, A. Randomized Trial of a Social Networking Intervention for Cancer-Related Distress. Ann. Behav. Med. 2017, 51, 661–672. [Google Scholar] [CrossRef]
- Beatty, L.; Koczwara, B.; Wade, T. Evaluating the efficacy of a self-guided Web-based CBT intervention for reducing cancer-distress: A randomised controlled trial. Support. Care Cancer 2016, 24, 1043–1051. [Google Scholar] [CrossRef]
- Gajda, M.; Kowalska, M.; Zejda, J.E. Evaluation of the First Polish Web-Based Intervention Aimed at Improving Cancer Prevention (the PORINA Study). Int. J. Environ. Res. Public Health 2018, 15, 1167. [Google Scholar] [CrossRef]
- Gajda, M.; Kowalska, M. The Web-Based Randomized Controlled Intervention as the Enhancer of Cancer Prevention. Medicina 2019, 55, 434. [Google Scholar] [CrossRef]
- R Core Team, R. A Language and Environment for Statistical Computing. Available online: http://cran.r-project.org (accessed on 20 December 2019).
- Lyttle, N.L.; Stadelman, K. Assessing awareness and knowledge of breast and cervical cancer among Appalachian women. Prev. Chronic Dis. 2006, 3, A125. [Google Scholar]
- Najdyhor, E.; Krajewska-Kułak, E.; Krajewska-Ferishah, K. Knowledge of women and men about breast cancer prevention. Ginekol Pol. 2013, 84, 116–125. [Google Scholar]
- The Lancet Oncology Cancer awareness campaigns: Dispelling the myths. Lancet. Oncol. 2013, 14, 97. [CrossRef]
- Gesink, D.; Filsinger, B.; Mihic, A.; Norwood, T.A.; Sarai Racey, C.; Perez, D.; Antal, J.; Ritvo, P.; Vernich, L. Cancer screening barriers and facilitators for under and never screened populations: A mixed methods study. Cancer Epidemiol. 2016, 45, 126–134. [Google Scholar] [CrossRef] [PubMed]
- Metwally, O.; Blumberg, S.; Ladabaum, U.; Sinha, S.R. Using Social Media to Characterize Public Sentiment Toward Medical Interventions Commonly Used for Cancer Screening: An Observational Study. J. Med. Internet Res. 2017, 19, e200. [Google Scholar] [CrossRef] [PubMed]
- Verhoeven, V.; Baay, M.; Baay, P. People seeking health information about human papillomavirus via the internet have a very high level of anxiety. Sex. Health 2009, 6, 258–259. [Google Scholar] [CrossRef] [PubMed]
- Elkin, E.B.; Pocus, V.H.; Mushlin, A.I.; Cigler, T.; Atoria, C.L.; Polaneczky, M.M.; Spatz, E.S.; Krumholz, H.M.; Moulton, B.W.; Cigler, T.; et al. Facilitating informed decisions about breast cancer screening: Development and evaluation of a web-based decision aid for women in their 40s. BMC Med. Inform. Decis. Mak. 2017, 17, 29. [Google Scholar] [CrossRef]
- Ventura, F.; Sawatzky, R.; Ohlen, J.; Karlsson, P.; Koinberg, I. Evaluation of a web-based educational program for women diagnosed with breast cancer: Why is the intervention effect absent? Stud. Health Technol. Inform. 2013, 192, 1132. [Google Scholar]
- National Cancer Institute Health Information National Trends Survey. Available online: http://hints.cancer.gov/ (accessed on 31 January 2018).
- Kye, S.Y.; Park, K.; Park, H.G.; Kim, M. Psychological impact of health risk appraisal of Korean women at different levels of breast cancer risk: Neglected aspect of the web-based cancer risk assessment tool. Asian Pac. J. Cancer Prev. 2012, 13, 437–441. [Google Scholar] [CrossRef][Green Version]
- Bowen, D.J.; Burke, W.; Hay, J.L.; Meischke, H.; Harris, J.N. Effects of web-based intervention on risk reduction behaviors in melanoma survivors. J. Cancer Surviv. 2015, 9, 279–286. [Google Scholar] [CrossRef]
- Ilic, D.; Egberts, K.; McKenzie, J.E.; Risbridger, G.; Green, S. Informing men about prostate cancer screening: A randomized controlled trial of patient education materials. J. Gen. Intern. Med. 2008, 23, 466–471. [Google Scholar] [CrossRef]
- de Vries, H.; Logister, M.; Krekels, G.; Klaasse, F.; Servranckx, V.; van Osch, L. Internet based computer tailored feedback on sunscreen use. J. Med. Internet Res. 2012, 14, e48. [Google Scholar] [CrossRef] [PubMed]


| Level of Cancer-Related Anxiety * | CKI Value (Baseline Survey) | ||||
|---|---|---|---|---|---|
| Overall | Low | Medium | High | p ** | |
| N = 463 | N = 142 | N = 182 | N = 139 | ||
| 1 | 24 (5.2%) | 9 (6.3%) | 13 (7.1%) | 2 (1.4%) | 0.72 |
| 2 | 21 (4.5%) | 9 (6.3%) | 2 (1.1%) | 10 (7.2%) | |
| 3 | 57 (12.3%) | 15 (10.6%) | 18 (9.9%) | 24 (17.3%) | |
| 4 | 94 (20.3%) | 21 (14.8%) | 44 (24.2%) | 29 (20.9%) | |
| 5 | 267 (57.7%) | 88 (62.0%) | 105 (57.7%) | 74 (53.2%) | |
| Level of Anxiety (5-Point Likert Scale; 1 = Lowest, 5 = Highest) | |||||||
|---|---|---|---|---|---|---|---|
| Overall | 1 | 2 | 3 | 4 | 5 | p | |
| N = 463 | N = 24 | N = 21 | N = 57 | N = 94 | N = 267 | ||
| Age (Years) | |||||||
| Median (IQR) | 33 (22–47) | 42 (27.5–62) | 33 (22–56) | 35 (26–48) | 29 (20.2–46) | 33 (22–45) | 0.1 k |
| Sex | |||||||
| Male | 179 (38.7%) | 9 (5.0%) | 9 (5.0%) | 19 (10.6%) | 42 (23.5%) | 100 (55.9%) | 0.93 & |
| Female | 284 (61.3%) | 15 (5.3%) | 12 (4.2%) | 38 (13.4%) | 52 (18.3%) | 167 (58.8%) | |
| Place of Residence with the Number of Inhabitants * | |||||||
| ≤100,000 | 218 (47.1%) | 9 (4.1%) | 8 (3.7%) | 26 (11.9%) | 45 (20.6%) | 130 (59.6%) | 0.2 & |
| >100,000 | 245 (52.9%) | 15 (6.1%) | 13 (5.3%) | 31 (12.7%) | 49 (20.0%) | 137 (55.9%) | |
| Level of Education ** | |||||||
| Lower | 196 (42.3%) | 9 (4.6%) | 7 (3.6%) | 24 (12.2%) | 39 (19.9%) | 117 (59.7%) | 0.35 & |
| Higher | 267 (57.7%) | 15 (5.6%) | 14 (5.2%) | 33 (12.4%) | 55 (20.6%) | 150 (56.2%) | |
| Occupation | |||||||
| Nonmedical | 388 (83.8%) | 23 (5.9%) | 16 (4.1%) | 51 (13.1%) | 78 (20.1%) | 220 (56.7%) | 0.17 & |
| Medical | 75 (16.2%) | 1 (1.3%) | 5 (6.7%) | 6 (8.0%) | 16 (21.3%) | 47 (62.7%) | |
| Positive Family History of Cancer | |||||||
| No | 120 (25.9%) | 15 (12.5%) | 4 (3.3%) | 19 (15.8%) | 25 (20.8%) | 57 (47.5%) | < 0.001 & |
| Yes | 343 (74.1%) | 9 (2.6%) | 17 (5.0%) | 38 (11.1%) | 69 (20.1%) | 210 (61.2%) | |
| Diagnosis of Cancer | |||||||
| No | 413 (89.2%) | 18 (4.4%) | 19 (4.6%) | 47 (11.4%) | 87 (21.1%) | 242 (58.6%) | 0.02 & |
| Yes | 50 (10.8%) | 6 (12.0%) | 2 (4.0%) | 10 (20.0%) | 7 (14.0%) | 25 (50.0%) | |
| Treated for Cancer | |||||||
| No | 415 (89.6%) | 18 (4.3%) | 19 (4.6%) | 46 (11.1%) | 90 (21.7%) | 242 (58.3%) | 0.017 & |
| Yes | 48 (10.4%) | 6 (12.5%) | 2 (4.2%) | 11 (22.9%) | 4 (8.3%) | 25 (52.1%) | |
| Self-Declaration of Cancer-Related Level of Knowledge | |||||||
| No | 362 (78.2%) | 17 (4.7%) | 16 (4.4%) | 42 (11.6%) | 71 (19.6%) | 216 (59.7%) | 0.12 & |
| Yes | 101 (21.8%) | 7 (6.9%) | 5 (5.0%) | 15 (14.9%) | 23 (22.8%) | 51 (50.5%) | |
| Self-Declaration of Willingness to Improve the Level of Cancer-Related Knowledge | |||||||
| No | 35 (7.6%) | 2 (5.7%) | 2 (5.7%) | 7 (20.0%) | 6 (17.1%) | 18 (51.4%) | 0.34 & |
| Yes | 428 (92.4%) | 22 (5.1%) | 19 (4.4%) | 50 (11.7%) | 88 (20.6%) | 249 (58.2%) | |
| Level of Cancer-Related Anxiety * | Intervention | Control | ||||
|---|---|---|---|---|---|---|
| Baseline | Final | p ** | Baseline | Final | p ** | |
| 1 | 15 (7.2%) | 11 (5.3%) | 0.03 | 9 (3.5%) | 10 (3.9%) | 0.6 |
| 2 | 12 (5.8%) | 16 (7.7%) | 9 (3.5%) | 11 (4.3%) | ||
| 3 | 23 (11.1%) | 34 (16.4%) | 34 (13.3%) | 26 (10.2%) | ||
| 4 | 41 (19.8%) | 48 (23.2%) | 53 (20.7%) | 67 (26.2%) | ||
| 5 | 116 (56.0%) | 98 (47.3%) | 151 (59.0%) | 142 (55.5%) | ||
© 2020 by the authors. Licensee MDPI, Basel, Switzerland. This article is an open access article distributed under the terms and conditions of the Creative Commons Attribution (CC BY) license (http://creativecommons.org/licenses/by/4.0/).
Share and Cite
Gajda, M.; Kowalska, M. Decreasing the Impact of Anxiety on Cancer Prevention through Online Intervention. Int. J. Environ. Res. Public Health 2020, 17, 985. https://doi.org/10.3390/ijerph17030985
Gajda M, Kowalska M. Decreasing the Impact of Anxiety on Cancer Prevention through Online Intervention. International Journal of Environmental Research and Public Health. 2020; 17(3):985. https://doi.org/10.3390/ijerph17030985
Chicago/Turabian StyleGajda, Maksymilian, and Małgorzata Kowalska. 2020. "Decreasing the Impact of Anxiety on Cancer Prevention through Online Intervention" International Journal of Environmental Research and Public Health 17, no. 3: 985. https://doi.org/10.3390/ijerph17030985
APA StyleGajda, M., & Kowalska, M. (2020). Decreasing the Impact of Anxiety on Cancer Prevention through Online Intervention. International Journal of Environmental Research and Public Health, 17(3), 985. https://doi.org/10.3390/ijerph17030985

