The Association between Material Deprivation and Avoidable Mortality in Lisbon, Portugal
Abstract
1. Introduction
2. Materials and Methods
2.1. Study Area
2.2. Design, Source of Information and Indicators
2.3. Analysis
2.4. Limitations of the Study
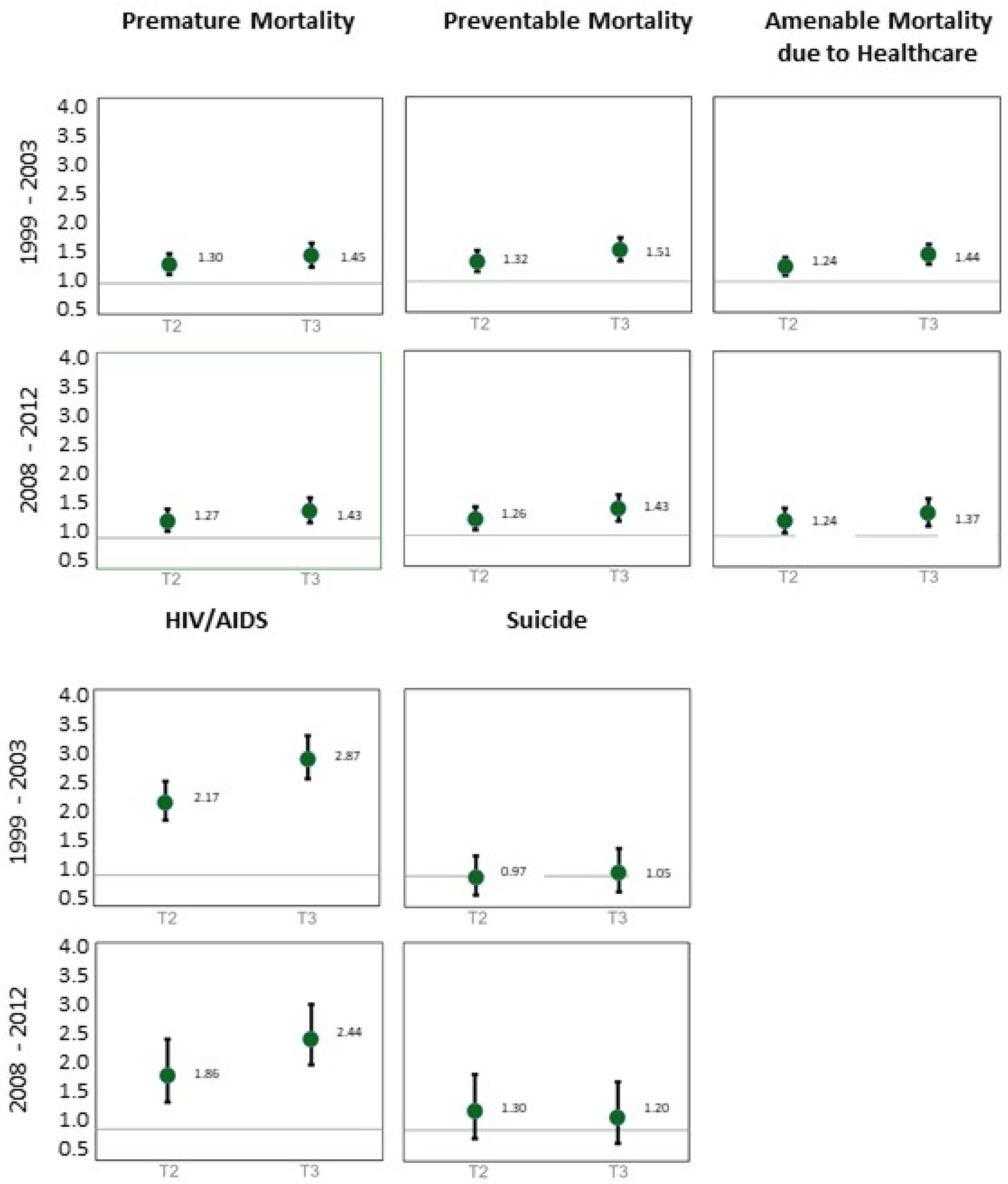
3. Results
4. Discussion
4.1. Policy Implications
4.2. Strengths of the Study
5. Conclusions
Author Contributions
Funding
Acknowledgments
Conflicts of Interest
References
- Santana, P.; Costa, C.; Freitas, Â.; Stefanik, I.; Quintal, C.; Bana e Costa, C.; Borrell, C.; Dimitroulopoulou, S.; Lopes Ferreira, P.; Krafft, T.; et al. Atlas of Population Health in European Union Regions; Imprensa da Universidade de Coimbra: Coimbra, Portugal, 2017; ISBN 978-989-26-1462-5. [Google Scholar]
- Mackenbach, J.P.; Stirbu, I.; Roskam, A.-J.R.; Schaap, M.M.; Menvielle, G.; Leinsalu, M.; Kunst, A.E. Socioeconomic Inequalities in Health in 22 European Countries. N. Engl. J. Med. 2008, 358, 2468–2481. [Google Scholar] [CrossRef] [PubMed]
- Ribeiro, A.I.; De Fátima De Pina, M.; Mitchell, R. Development of a measure of multiple physical environmental deprivation. After United Kingdom and New Zealand, Portugal. Eur. J. Public Health 2015. [Google Scholar] [CrossRef] [PubMed]
- Prasad, A. The Urban Health Equity Assessment and Response Tool (HEART)—A Decade of Development and Implementation. J. Urban Health 2018, 95, 609. [Google Scholar] [CrossRef] [PubMed]
- Mitsakou, C.; Dimitroulopoulou, S.; Heaviside, C.; Katsouyanni, K.; Samoli, E.; Rodopoulou, S.; Costa, C.; Almendra, R.; Santana, P.; Dell’Olmo, M.M.; et al. Environmental public health risks in European metropolitan areas within the EURO-HEALTHY project. Sci. Total Environ. 2019, 658, 1630–1639. [Google Scholar] [CrossRef]
- Haddad, M.A. Examining the Spatial Distribution of Urban Indicators in São Paulo, Brazil. In Community Quality-Of-Life Indicators: Best Cases III; Springer: Dordrecht, The Netherlands, 2009. [Google Scholar]
- Corburn, J. Urban Place and Health Equity: Critical Issues and Practices. Int. J. Environ. Res. Public Health 2017, 14, 117. [Google Scholar] [CrossRef]
- Lawrence, R.J. Urban Health Challenges in Europe. J. Urban Health 2013, 90, 23. [Google Scholar] [CrossRef]
- Borrell, C.; Marí-Dell’olmo, M.; Palència, L.; Gotsens, M.; Burström, B.; Domínguez-Berjón, F.; Rodríguez-Sanz, M.; Dzúrová, D.; Gandarillas, A.; Hoffmann, R.; et al. Socioeconomic inequalities in mortality in 16 European cities. Scand. J. Public Health 2014, 42, 245–254. [Google Scholar] [CrossRef]
- Loureiro, A.; Costa, C.; Almendra, R.; Freitas, Â.; Santana, P. The socio-spatial context as a risk factor for hospitalization due to mental illness in the metropolitan areas of Portugal. Cad. Saude Publica 2015, 31, 219–231. [Google Scholar] [CrossRef]
- Nolasco, A.; Moncho, J.; Quesada, J.A.; Melchor, I.; Pereyra-Zamora, P.; Tamayo-Fonseca, N.; Martínez-Beneito, M.A.; Zurriaga, O.; Ballesta, M.; Daponte, A.; et al. Trends in socioeconomic inequalities in preventable mortality in urban areas of 33 Spanish cities, 1996–2007 (MEDEA project). Int. J. Equity Health 2015, 14, 33. [Google Scholar] [CrossRef]
- Costa, C.; Santana, P.; Dimitroulopoulou, S.; Burstrom, B.; Borrell, C.; Schweikart, J.; Dzurova, D.; Zangarini, N.; Katsouyanni, K.; Deboseree, P.; et al. Population Health Inequalities Across and Within European Metropolitan Areas through the Lens of the EURO-HEALTHY Population Health Index. Int. J. Environ. Res. Public Health 2019, 16, 836. [Google Scholar] [CrossRef]
- Samoli, E.; Stergiopoulou, A.; Santana, P.; Rodopoulou, S.; Mitsakou, C.; Dimitroulopoulou, C.; Bauwelinck, M.; de Hoogh, K.; Costa, C.; Marí-Dell’Olmo, M.; et al. Spatial variability in air pollution exposure in relation to socioeconomic indicators in nine European metropolitan areas: A study on environmental inequality. Environ. Pollut. 2019, 249, 345–353. [Google Scholar] [CrossRef] [PubMed]
- Ribeiro, A.I.; Launay, L.; Guillaume, E.; Launoy, G.; Barros, H. The Portuguese version of the European deprivation index: Development and association with all-cause mortality. PLoS ONE 2018. [Google Scholar] [CrossRef] [PubMed]
- Diez Roux, A.V. Investigating neighborhood and area effects on health. Am. J. Public Health 2001, 91, 1783–1789. [Google Scholar] [CrossRef] [PubMed]
- Frieden, T.R. A framework for public health action: The health impact pyramid. Am. J. Public Health 2010. [Google Scholar] [CrossRef]
- Marmot, M.; Allen, J.; Bell, R.; Bloomer, E.; Goldblatt, P.; Marmot, M.; Allen, J.; Bell, R.; Bloomer, E.; Goldblatt, P. WHO European review of social determinants of health and the health divide. Lancet 2012, 380. [Google Scholar] [CrossRef]
- Lustigova, M.; Dzurova, D.; Costa, C.; Santana, P. Health Disparities in Czechia and Portugal at Country and Municipality Levels. Int. J. Environ. Res. Public Health 2019, 16, 1139. [Google Scholar] [CrossRef] [PubMed]
- Santana, P.; Costa, C.; Cardoso, G.; Loureiro, A.; Ferrão, J. Suicide in Portugal: Spatial determinants in a context of economic crisis. Health Place 2015, 35, 85–94. [Google Scholar] [CrossRef]
- Mari-Dell’Olmo, M.; Gotsens, M.; Palencia, L.; Burstrom, B.; Corman, D.; Costa, G.; Deboosere, P.; Diez, E.; Dominguez-Berjon, F.; Dzurova, D.; et al. Socioeconomic inequalities in cause-specific mortality in 15 European cities. J. Epidemiol. Community Health 2015, 69, 432–441. [Google Scholar] [CrossRef]
- Gotsens, M.; Marí-Dell’Olmo, M.; Pérez, K.; Palência, L.; Martinez-Beneito, M.-A.; Rodríguez-Sanz, M.; Burstrom, B.; Costa, G.; Deboosere, P.; Domínguez-Berjón, F.; et al. Socioeconomic inequalities in injury mortality in small areas of 15 European cities. Health Place 2013, 24, 165–172. [Google Scholar] [CrossRef]
- Besag, J.; York, J.; Mollié, A.; Mollié, A. Bayesian image restoration, with two applications in spatial statistics. Ann. Inst. Stat. Math. 1991, 43, 1–20. [Google Scholar] [CrossRef]
- Hoffmann, R.; Borsboom, G.; Saez, M.; Dell’Olmo, M.; Burström, B.B.; Corman, D.; Costa, C.; Deboosere, P.; Domínguez-Berjón, M.F.F.; Dzúrová, D.; et al. Social differences in avoidable mortality between small areas of 15 European cities: An ecological study. Int. J. Health Geogr. 2014, 13, 8. [Google Scholar] [CrossRef] [PubMed]
- Borrell, C.; Palència, L.; Marí Dell’Olmo, M.; Morrisson, J.; Deboosere, P.; Gotsens, M.; Dzurova, D.; Costa, C.; Lustigova, M.; Burstrom, B.; et al. Socioeconomic inequalities in suicide mortality in European urban areas before and during the economic recession. Eur. J. Public Health 2020. [Google Scholar] [CrossRef] [PubMed]
- Ribeiro, A.I.; Mayer, A.; Miranda, A.; Pina, M.D.F. De The portuguese version of the european deprivation index: An instrument to study health inequalities. Acta Med. Port. 2017. [Google Scholar] [CrossRef] [PubMed]
- Townsend, P. Deprivation. J. Soc. Policy 1987, 16, 125–146. [Google Scholar] [CrossRef]
- Ball, K.; Lamb, K.E.; Costa, C.; Cutumisu, N.; Ellaway, A.; Kamphuis, C.B.M.; Mentz, G.; Pearce, J.; Santana, P.; Santos, R.; et al. Neighbourhood socioeconomic disadvantage and fruit and vegetable consumption: A seven countries comparison. Int. J. Behav. Nutr. Phys. Act. 2015, 12. [Google Scholar] [CrossRef]
- Senior, M.; Williams, H.; Higgs, G. Urban-rural mortality differentials: Controlling for material deprivation. Soc. Sci. Med. 2000. [Google Scholar] [CrossRef]
- Erskine, S.; Maheswaran, R.; Pearson, T.; Gleeson, D. Socioeconomic deprivation, urban-rural location and alcohol-related mortality in England and Wales. BMC Public Health 2010. [Google Scholar] [CrossRef]
- Lewer, D.; Jayatunga, W.; Aldridge, R.W.; Edge, C.; Marmot, M.; Story, A.; Hayward, A. Premature mortality attributable to socioeconomic inequality in England between 2003 and 2018: An observational study. Lancet Public Health 2020. [Google Scholar] [CrossRef]
- Santana, P.; Costa, C.; Marí-Dell’Olmo, M.; Gotsens, M.; Borrell, C.; Marí-Dell’Olmo, M.; Gotsens, M.; Borrell, C. Mortality, material deprivation and urbanization: Exploring the social patterns of a metropolitan area. Int. J. Equity Health 2015, 14. [Google Scholar] [CrossRef]
- Puigpinós-Riera, R.; Marí-Dell’Olmo, M.; Gotsens, M.; Borrell, C.; Serral, G.; Ascaso, C.; Calvo, M.; Daponte, A.; Domínguez-Berjón, F.M.; Esnaola, S.; et al. Cancer mortality inequalities in urban areas: A Bayesian small area analysis in Spanish cities. Int. J. Health Geogr. 2011. [Google Scholar] [CrossRef]
- Scazufca, M.; Menezes, P.R.; Araya, R.; Di Rienzo, V.D.; Almeida, O.P.; Gunnell, D.; Lawlor, D.A. Risk factors across the life course and dementia in a Brazilian population: Results from the Sao Paulo Ageing & Health Study (SPAH). Int. J. Epidemiol. 2008. [Google Scholar] [CrossRef]
- Marí-Dell’Olmo, M.; Gotsens, M.; Borrell, C.; Martinez-Beneito, M.A.; Palència, L.; Pérez, G.; Cirera, L.; Daponte, A.; Domínguez-Berjón, F.; Esnaola, S.; et al. Trends in socioeconomic inequalities in ischemic heart disease mortality in small areas of nine Spanish cities from 1996 to 2007 using smoothed ANOVA. J. Urban Health 2014. [Google Scholar] [CrossRef]
- Palència, L.; Ferrando, J.; Marí-Dell’Olmo, M.; Gotsens, M.; Morrison, J.; Dzurova, D.; Lustigova, M.; Costa, C.; Rodríguez-Sanz, M.; Bosakova, L.; et al. Socio-economic inequalities on cancer mortality in nine European areas: The effect of the last economic recession. Cancer Epidemiol. 2020, 69. [Google Scholar] [CrossRef]
- Choi, M.H.; Cheong, K.S.; Cho, B.M.; Hwang, I.K.; Kim, C.H.; Kim, M.H.; Hwang, S.S.; Lim, J.H.; Yoon, T.H. Deprivation and mortality at the town level in Busan, Korea: An ecological study. J. Prev. Med. Public Health 2011. [Google Scholar] [CrossRef] [PubMed]
- Doetsch, J.; Pilot, E.; Santana, P.; Krafft, T. Potential barriers in healthcare access of the elderly population influenced by the economic crisis and the troika agreement: A qualitative case study in Lisbon, Portugal. Int. J. Equity Health 2017, 16, 184. [Google Scholar] [CrossRef]
- Loureiro, A.; Santana, P.; Nunes, C.; Almendra, R.; Loureiro, A.; Santana, P.; Nunes, C.; Almendra, R. The Role of Individual and Neighborhood Characteristics on Mental Health after a Period of Economic Crisis in the Lisbon Region (Portugal): A Multilevel Analysis. Int. J. Environ. Res. Public Health 2019, 16. [Google Scholar] [CrossRef]
- Palència, L.; Gotsens, M.; Marí-Dell’Olmo, M.; Bosakova, L.; Burström, B.; Costa, C.; Deboosere, P.; Dzurova, D.; Lustigova, M.; Morrison, J.; et al. Effect of the recent economic crisis on socioeconomic inequalities in mortality in nine urban areas in Europe. Gac. Sanit. 2020. [Google Scholar] [CrossRef]
- Williamson, L.M.; Rosato, M.; Teyhan, A.; Santana, P.; Harding, S. AIDS mortality in African migrants living in Portugal: Evidence of large social inequalities. Sex. Transm. Infect. 2009. [Google Scholar] [CrossRef][Green Version]
- Lisbon City Council. The Economy of Lisbon in Figures, 2017; Lisbon City Council: Lisbon, Portugal, 2018. [Google Scholar]
- OECD. Ageing in Cities; OECD Publishing: Paris, France, 2015. [Google Scholar]
- Fernandes, J.A.R.; Carvalho, L.; Chamusca, P.; Gago, A.; Mendes, T.M. Lisboa e a Airbnb; Book Cover: Porto, Portugal, 2019; ISBN 9789898898241. [Google Scholar]
- Lestegás, I.; Seixas, J.; Lois-González, R.C. Commodifying Lisbon: A study on the spatial concentration of short-term rentals. Soc. Sci. 2019. [Google Scholar] [CrossRef]
- Kolodziejski, M. Economic, Social and Territorial Situation of Portugal; Directorate-General for Internal Policies: Brussels, Belgium, 2019. [Google Scholar] [CrossRef]
- EUROSTAT. Amenable and Preventable Deaths Statistics. Available online: https://ec.europa.eu/eurostat/statistics-explained/index.php?title=Amenable_and_preventable_deaths_statistics&oldid=237655 (accessed on 3 June 2015).
- Santana, P.; Costa, C.; Loureiro, A.; Raposo, J.; Boavida, J.M. The geography of Diabetes Mellitus in Portugal: How context influence the risk of dying. Acta Med. Port. 2014, 27, 309–317. [Google Scholar] [CrossRef]
- Carstairs, V.; Morris, R. Deprivation and health in Scotland. Health Bull. (Raleigh) 1990, 48, 162–175. [Google Scholar]
- Rue, H.; Martino, S.; Chopin, N. Approximate Bayesian inference for latent Gaussian models by using integrated nested Laplace approximations. J. R. Stat. Soc. Ser. B (Stat. Methodol.) 2009, 71, 319–392. [Google Scholar] [CrossRef]
- Gotsens, M.; Mari-Dell’Olmo, M.; Martinez-Beneito, M.A.; Perez, K.; Pasarin, M.I.; Daponte, A.; Puigpinos-Riera, R.; Rodriguez-Sanz, M.; Audicana, C.; Nolasco, A.; et al. Socio-economic inequalities in mortality due to injuries in small areas of ten cities in Spain (MEDEA Project). Accid. Anal. Prev. 2011, 43, 1802–1810. [Google Scholar] [CrossRef] [PubMed]
- Santana, P.; Freitas, A. Urban Environment and Health in Lisbon, Portugal [Video]; CEGOT: Coimbra, Portugal, 2017. [Google Scholar]
- Falagas, M.E.; Vouloumanou, E.K.; Mavros, M.N.; Karageorgopoulos, D.E. Economic crises and mortality: A review of the literature. Int. J. Clin. Pract. 2009. [Google Scholar] [CrossRef]
- Stuckler, D.; Meissner, C.; Fishback, P.; Basu, S.; McKee, M. Banking crises and mortality during the Great Depression: Evidence from US urban populations, 1929-1937. J. Epidemiol. Community Health 2012. [Google Scholar] [CrossRef]
- Strumpf, E.C.; Charters, T.J.; Harper, S.; Nandi, A. Did the Great Recession affect mortality rates in the metropolitan United States? Effects on mortality by age, gender and cause of death. Soc. Sci. Med. 2017. [Google Scholar] [CrossRef]
- Toffolutti, V.; Suhrcke, M. Assessing the short term health impact of the Great Recession in the European Union: A cross-country panel analysis. Prev. Med. (Baltim) 2014. [Google Scholar] [CrossRef]
- Regidor, E.; Barrio, G.; Bravo, M.J.; De La Fuente, L. Has health in Spain been declining since the economic crisis? J. Epidemiol. Community Health 2014. [Google Scholar] [CrossRef] [PubMed]
- Bacigalupe, A.; Escolar-Pujolar, A. The impact of economic crises on social inequalities in health: What do we know so far? Int. J. Equity Health 2014. [Google Scholar] [CrossRef]
- Suhrcke, M.; Stuckler, D. Will the recession be bad for our health? It depends. Soc. Sci. Med. 2012. [Google Scholar] [CrossRef]
- Machado, M.C.; Santana, P.; Carreiro, H.; Nogueira, H.; Barroso, M.R.; Dias, A. Maternal and Childhood Healthcare in an Immigrant Population. Are They Treated Differently? Bial Foundation: Porto, Portugal, 2007; ISBN 978-989-95520-0-5. [Google Scholar]
- Dias, S.; Gonçalves, A.; Luck, M.; Fernandes, M.d.J. Risco de Infecção por VIH/SIDA. Utilização-acesso aos Serviços de Saúde numa comunidade migrante. Acta Med. Port. 2004, 17, 211–218. [Google Scholar] [PubMed]
- Fenton, K.A. Strategies for improving sexual health in ethnic minorities. Curr. Opin. Infect. Dis. 2001. [Google Scholar] [CrossRef] [PubMed]
- Karanikolos, M.; Mackenbach, J.P.; Nolte, E.; Stuckler, D.; McKee, M. Amenable mortality in the EU—Has the crisis changed its course? Eur. J. Public Health 2018, 28, 864–869. [Google Scholar] [CrossRef] [PubMed]
- Costa, C.; Loureiro, A.; Freitas, Â.; Santana, P. Suicídio em contextos de privação social e material nas Áreas Metropolitanas de Lisboa e Porto. Territ. Saúde Ment. Tempos Cris. 2015, 36–50. [Google Scholar] [CrossRef]
- Baumbach, A.; Gulis, G. Impact of financial crisis on selected health outcomes in Europe. Eur. J. Public Health 2014. [Google Scholar] [CrossRef]
- Cairns, J.M.; Graham, E.; Bambra, C. Area-level socioeconomic disadvantage and suicidal behaviour in Europe: A systematic review. Soc. Sci. Med. 2017. [Google Scholar] [CrossRef]
- Loureiro, A.; Almendra, R.; Costa, C.; Santana, P.; Santana, P. Mortality from suicide in the municipalities of mainland Portugal: Spatio-temporal evolution between 1980 and 2015. Acta Med. Port. 2018, 31, 38. [Google Scholar] [CrossRef]
- Dahl, E.; Saltkjel, T.; Ingelsrud, M.H.; Halvorsen, K. A fuzzy set approach to economic crisis, austerity and public health. Part I. European countries’ conformity to ideal types during the economic downturn. Scand. J. Public Health 2017. [Google Scholar] [CrossRef]
- Legido-Quigley, H.; Karanikolos, M.; Hernandez-Plaza, S.; de Freitas, C.; Bernardo, L.; Padilla, B.; Sá Machado, R.; Diaz-Ordaz, K.; Stuckler, D.; McKee, M. Effects of the financial crisis and Troika austerity measures on health and health care access in Portugal. Health Policy (N. Y.) 2016. [Google Scholar] [CrossRef]
- Perelman, J.; Felix, S.; Santana, R. The Great Recession in Portugal: Impact on hospital care use. Health Policy (N. Y.) 2015. [Google Scholar] [CrossRef]
- Vaz, S.; Ramos, P.; Santana, P. Distance effects on the accessibility to emergency departments in Portugal. Saúde Soc. 2014. [Google Scholar] [CrossRef]
- Sakellarides, C.; Castelo-Branco, L.; Barbosa, P.; Azevedo, H. The Impact of the Financial Crisis on the Health System and Health in Portugal; WHO Regional Office for Europe: Copenhagen, Denmark, 2014. [Google Scholar]
- Huisman, M.; Kunst, A.E.; Bopp, M.; Borgan, J.-K.; Borrell, C.; Costa, G.; Deboosere, P.; Gadeyne, S.; Glickman, M.; Marinacci, C.; et al. Educational inequalities in cause-specific mortality in middle-aged and older men and women in eight western European populations. Lancet 2005, 365, 493–500. [Google Scholar] [CrossRef]
- Almendra, R.; Santana, P.; Vasconcelos, J. Evidence of social deprivation on the spatial patterns of excess winter mortality. Int. J. Public Health 2017, 62, 849–856. [Google Scholar] [CrossRef] [PubMed]
- Freitas, Â.; Santana, P. A promoção da saúde em todas as políticas locais. In Proceedings of the IV Conference on Public Policies, Territorial Planning and Spatial Development—Decentralization and Development/Proceedings Book; Rio Fernandes, J.A., Ed.; CEGOT: Ermesinde, Portugal, 2019; pp. 22–29. [Google Scholar]
- Freitas, Â.; Loureiro, A.; Santana, P. Policies with potential to promote health equity in cities. Perspectives from a review of municipal policies in Lisbon. In Urban Design for Age-Friendly Environments across Europe: North and South. Developing Healthy and Therapeutic Public Spaces for Local Contexts; Higueras García, E., Polo Menéndez, E., Eds.; Springer: Berlin/Heidelberg, Germany, in press.
- Lisbon Municipality. Plano de Saúde. Qualidade de vida e bem estar de Lisboa. Plano de Acção 2019–2020; Lisbon City Council: Lisbon, Portugal, 2019. [Google Scholar]
- Freitas, Â.; Rodrigues, T.C.; Santana, P. Assessing Urban Health Inequities through a Multidimensional and Participatory Framework: Evidence from the EURO-HEALTHY Project. J. Urban Health 2020. [Google Scholar] [CrossRef] [PubMed]
- Mendenhall, E.; Kohrt, B.A.; Norris, S.A.; Ndetei, D.; Prabhakaran, D. Non-communicable disease syndemics: Poverty, depression, and diabetes among low-income populations. Lancet 2017. [Google Scholar] [CrossRef]
- Khalatbari-Soltani, S.; Cumming, R.G.; Delpierre, C.; Kelly-Irving, M. Importance of collecting data on socioeconomic determinants from the early stage of the COVID-19 outbreak onwards. J. Epidemiol. Community Health 2020. [Google Scholar] [CrossRef]
- Bambra, C.; Riordan, R.; Ford, J.; Matthews, F. The COVID-19 pandemic and health inequalities. J. Epidemiol. Community Health 2020. [Google Scholar] [CrossRef]
- Shadmi, E.; Chen, Y.; Dourado, I.; Faran-Prach, I.; Furler, J.; Hangoma, P.; Hanvoravongchai, P.; Obando, C.; Petrosyan, V.; Rao, K.; et al. Health equity and COVID-19: Global perspectives. Int. J. Equity Health 2020, 19. [Google Scholar] [CrossRef]







| Mortality | Age Group | ICD10 Cause of Death |
|---|---|---|
| Premature Mortality | 0–65 | all |
| Preventable deaths | 0–49 | E10–E14 |
| 0–74 | A15–A19, B90, B15–B19, B942, C00–C14, C15, C16, C18–C21, C22, C33–C34, C43, C50, C53, F10, F11–F16, F18–F19, I20–I25, J40–J44, J47, K70, K73–K74 | |
| All | B20–B24, V01–V99, Y85, W20–W64, W75–X39, X50–X59, Y86, X60–X84, Y870, X85–Y09, Y871 | |
| Amenable deaths due to healthcare | 0–49 | E10–E14 |
| 0–74 | A15–A19, B90, B15–B19, B942, C18–C21, C43, C50, C53, C67, C73, C81–C85, C91–C95, I20–I25, I60–I69, J02, J09–J18, J45–J46, K25–K28, N00–N29, Q00–Q99 | |
| All | B20–B24, P00–P96 | |
| HIV/AIDS | All | B20–B24 |
| Suicide and self-intended harm Mortality | 10+ | X60–X84, Y87.0 |
| Indicator | Minimum | Average | Standard Deviation | Maximum |
|---|---|---|---|---|
| Population (nº) | 3182 | 13,444 | 10,694 | 46,410 |
| Illiteracy rate (%) | 2.1 | 6.1 | 2.1 | 12.9 |
| Unemployment rate (%) | 4.6 | 7.2 | 1.4 | 11.3 |
| Substandard housing rate (%) | 0 | 0.7 | 0.5 | 1.9 |
| Total Deaths | Premature Deaths | Amenable Deaths due to Healthcare | Preventable Deaths | HIV/AIDS | Suicide | |
|---|---|---|---|---|---|---|
| 1999/2003 | Number of deaths | 11,411 | 7423 | 8588 | 285 | 276 |
| Crude MR | 404.2 | 262.9 | 304.2 | 10.1 | 9.8 | |
| % total deaths | 27.8 | 18.1 | 20.9 | 2.5 | 0.7 | |
| 2008/2012 | Number of deaths | 7840 | 4234 | 5567 | 95 | 304 |
| Crude MR | 286.3 | 154.6 | 203.3 | 3.5 | 11.1 | |
| % total deaths | 21.9 | 11.9 | 15.6 | 1.2 | 0.9 |
Publisher’s Note: MDPI stays neutral with regard to jurisdictional claims in published maps and institutional affiliations. |
© 2020 by the authors. Licensee MDPI, Basel, Switzerland. This article is an open access article distributed under the terms and conditions of the Creative Commons Attribution (CC BY) license (http://creativecommons.org/licenses/by/4.0/).
Share and Cite
Costa, C.; Freitas, A.; Almendra, R.; Santana, P. The Association between Material Deprivation and Avoidable Mortality in Lisbon, Portugal. Int. J. Environ. Res. Public Health 2020, 17, 8517. https://doi.org/10.3390/ijerph17228517
Costa C, Freitas A, Almendra R, Santana P. The Association between Material Deprivation and Avoidable Mortality in Lisbon, Portugal. International Journal of Environmental Research and Public Health. 2020; 17(22):8517. https://doi.org/10.3390/ijerph17228517
Chicago/Turabian StyleCosta, Claudia, Angela Freitas, Ricardo Almendra, and Paula Santana. 2020. "The Association between Material Deprivation and Avoidable Mortality in Lisbon, Portugal" International Journal of Environmental Research and Public Health 17, no. 22: 8517. https://doi.org/10.3390/ijerph17228517
APA StyleCosta, C., Freitas, A., Almendra, R., & Santana, P. (2020). The Association between Material Deprivation and Avoidable Mortality in Lisbon, Portugal. International Journal of Environmental Research and Public Health, 17(22), 8517. https://doi.org/10.3390/ijerph17228517
