A German Validation of Four Questionnaires Crucial to the Study of Time Perception: BPS, CFC-14, SAQ, and MQT
Abstract
1. Introduction
1.1. Boredom
1.2. Consideration of Future Consequences
1.3. Self-Awareness
1.4. Metacognition of Time
2. Materials and Methods
2.1. Translation of the Questionnaires
2.2. Procedure
2.3. Demographic Data and Time on Task
2.4. Participants
2.5. Questionnaires
2.5.1. Boredom Proneness Scale (BPS)
2.5.2. Consideration of Future Consequences Scale–14 (CFC-14)
2.5.3. Self-Awareness Questionnaire (SAQ)
2.5.4. Metacognitive Questionnaire on Time (MQT)
2.6. Statistical Analyses
2.6.1. Exploratory Factor Analyses
2.6.2. Intercorrelations and Internal Consistencies
3. Results
3.1. Boredom Proneness Scale (BPS)
3.1.1. Three-Factorial EFA of the BPS
3.1.2. Internal Consistency of the German BPS-20
3.2. Consideration of Future Consequences Scale-14 (CFC-14)
3.2.1. Two-Factorial EFA of the CFC Scale
3.2.2. Single-Factor EFA of the CFC Scale
3.2.3. Correlation of the CFC Subscales
3.2.4. Internal Consistency of the German CFC-10 Scale
3.3. Self-Awareness Questionnaire (SAQ)
3.3.1. Two-Factorial EFA of the SAQ
3.3.2. Single-Factor EFA and Internal Consistency of the German SAQ-17
3.4. Metacognitive Questionnaire on Time (MQT)
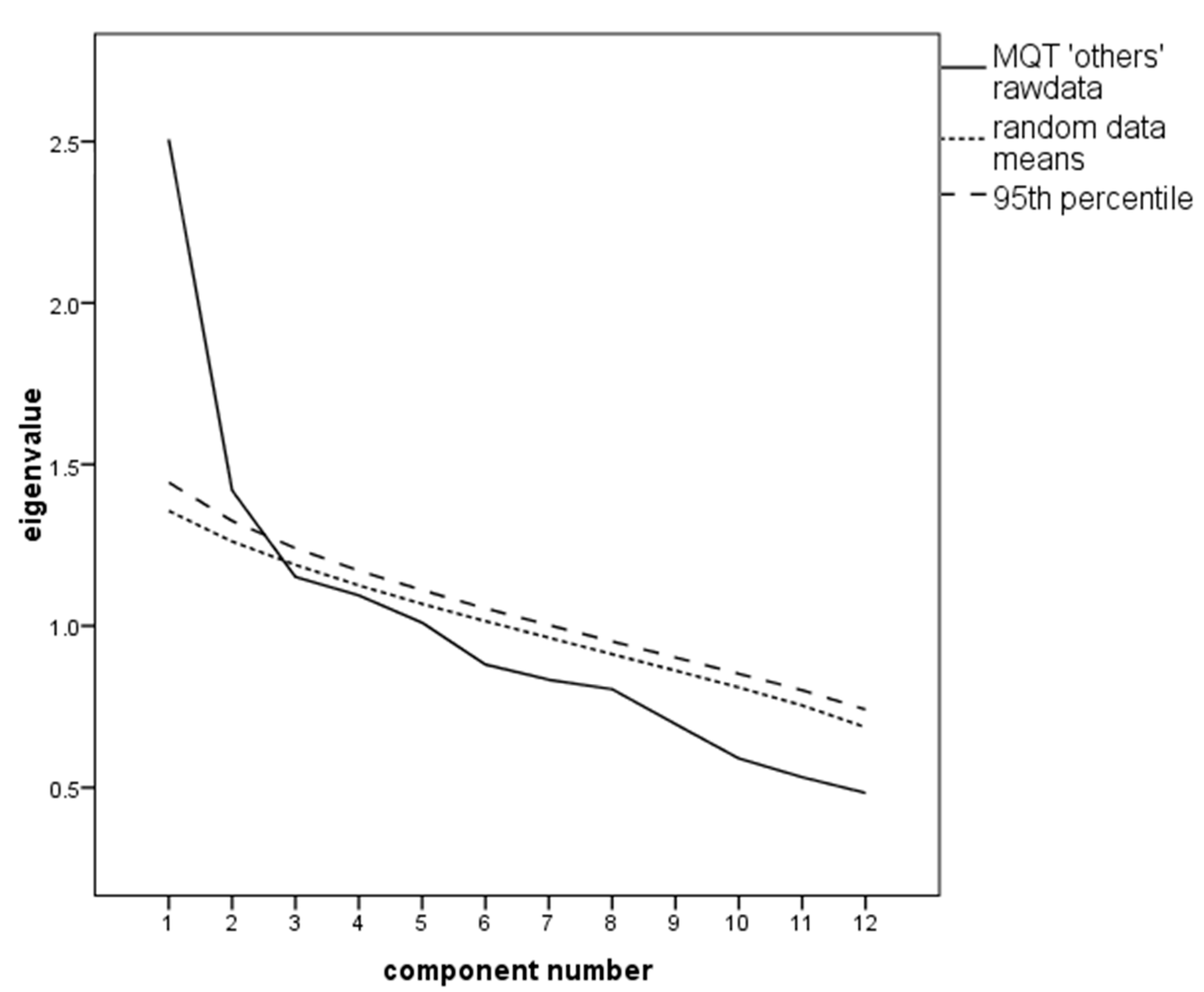
3.4.1. MQT-Others Subscale
EFA on the MQT-Others Subscale
Internal Consistency and Final German Solution of the MQT-Others Subscale
3.4.2. MQT-Self Subscale
EFA on the MQT-Self Subscale
Internal Consistency and Final German Solution of the MQT-Self Subscale
3.4.3. Internal Consistency of the Whole MQT and Intercorrelation of Its Subscales
3.5. Intercorrelations among the Questionnaires
4. Discussion
4.1. Summary of Validations and Theoretical Reflection of the Solutions
4.2. Discussion of the Deletion of Items
4.3. Discussion of the Intercorrelations
4.3.1. Correlation of Consideration of Future Consequences (CFC) with Boredom Proneness (BPS)
4.3.2. Correlation of Interoceptive Awareness (SAQ) with Boredom Proneness (BPS)
4.3.3. Correlation of Interoceptive Awareness (SAQ) with Metacognition of the Sense of Time (MQT-Self)
4.4. Limitations and Directions for Future Research
5. Conclusions
Supplementary Materials
Author Contributions
Funding
Acknowledgments
Conflicts of Interest
References
- Witowska, J.; Schmidt, S.; Wittmann, M. What happens while waiting? How self-regulation affects boredom and subjective time during a real waiting situation. Acta Psychol. 2020, 205, 103061. [Google Scholar] [CrossRef] [PubMed]
- Wittmann, M.; Lovero, K.L.; Lane, S.D.; Paulus, M.P. Now or later? Striatum and insula activation to immediate versus delayed rewards. J. Neurosci. Psychol. Econ. 2020, 3, 15–26. [Google Scholar] [CrossRef] [PubMed]
- Jokic, T.; Zakay, D.; Wittmann, M. Individual Differences in Self-Rated Impulsivity Modulate the Estimation of Time in a Real Waiting Situation. Timing Time Percept. 2018, 6, 71–89. [Google Scholar] [CrossRef]
- Wittmann, M.; Paulus, M.P. Decision making, impulsivity and time perception. Trends Cogn. Sci. 2008, 12, 7–12. [Google Scholar] [CrossRef]
- Vogel-Walcutt, J.J.; Fiorella, L.; Carper, T.; Schatz, S. The Definition, Assessment, and Mitigation of State Boredom Within Educational Settings: A Comprehensive Review. Educ. Psychol. 2012, 24, 89–111. [Google Scholar] [CrossRef]
- Raffaelli, Q.; Mills, C.; Christoff, K. The knowns and unknowns of boredom: A review of the literature. Exp. Brain Res. 2017, 236, 2451–2462. [Google Scholar] [CrossRef]
- Westgate, E.C.; Wilson, T.D. Boring thoughts and bored minds: The MAC model of boredom and cognitive engagement. Psychol. Rev. 2018, 125, 689–713. [Google Scholar] [CrossRef]
- Farmer, R.; Sundberg, N.D. Boredom Proneness--The Development and Correlates of a New Scale. J. Pers. Assess. 1986, 50, 4–17. [Google Scholar] [CrossRef]
- Eastwood, J.; Frischen, A.; Fenske, M.J.; Smilek, D. The unengaged mind: Defining boredom in terms of attention. Perspect. Psychol. Sci. 2012, 7, 482–495. [Google Scholar] [CrossRef]
- Van Tilburg, W.A.P.; Igou, E.R. On boredom: Lack of challenge and meaning as distinct boredom experiences. Motiv. Emot. 2012, 36, 181–194. [Google Scholar] [CrossRef]
- Pekrun, R.; Goetz, T.; Daniels, L.; Stupnisky, R.H.; Raymond, P. Boredom in achievement settings: Exploring control–value antecedents and performance outcomes of a neglected emotion. J. Educ. Psychol. 2010, 102, 531–549. [Google Scholar] [CrossRef]
- Wangh, M. Boredom in psychoanalytic perspective. Soc. Res. 1975, 42, 538–550. [Google Scholar]
- Lepera, N. Relationships between boredom proneness, mindfulness, anxiety, depression, and substance use. PsycEXTRA Dataset 2013, 8, 15–25. [Google Scholar] [CrossRef]
- Samuels, D.J.; Samuels, M. Low Self-Concept as a Cause of Drug Abuse. J. Drug Educ. 1974, 4, 421–438. [Google Scholar] [CrossRef]
- Kılıç, A.; Van Tilburg, W.A.P.; Igou, E.R. Risk-taking increases under boredom. J. Behav. Decis. Mak. 2020, 33, 257–269. [Google Scholar] [CrossRef]
- Lepp, A.; Barkley, J.E.; Li, J. Motivations and Experiential Outcomes Associated with Leisure Time Cell Phone Use: Results from Two Independent Studies. Leis. Sci. 2017, 39, 144–162. [Google Scholar] [CrossRef]
- Abramson, E.E.; Stinson, S.G. Boredom and eating in obese and non-obese individuals. Addict. Behav. 1977, 2, 181–185. [Google Scholar] [CrossRef]
- Sommers, J.; Vodanovich, S.J. Boredom proneness: Its relationship to psychological- and physical-health symptoms. J. Clin. Psychol. 2000, 56, 149–155. [Google Scholar] [CrossRef]
- O’Hanlon, J.F. Boredom: Practical consequences and a theory. Acta Psychol. 1981, 49, 53–82. [Google Scholar] [CrossRef]
- Vodanovich, S.J.; Watt, J.D. Self-Report Measures of Boredom: An Updated Review of the Literature. J. Psychol. 2015, 150, 196–228. [Google Scholar] [CrossRef]
- Tushup, R.J.; Zuckerman, M. The effects of stimulus invariance on daydreaming and divergent thinking. J. Mental Imag. 1977, 1, 291–301. [Google Scholar]
- Tze, V.M.C.; Daniels, L.M.; Klassen, R.M. Evaluating the Relationship between Boredom and Academic Outcomes: A Meta-Analysis. Educ. Psychol. Rev. 2015, 28, 119–144. [Google Scholar] [CrossRef]
- Bench, S.W.; Lench, H.C. On the Function of Boredom. Behav. Sci. 2013, 3, 459–472. [Google Scholar] [CrossRef] [PubMed]
- Mann, S.; Cadman, R. Does Being Bored Make Us More Creative? Creat. Res. J. 2014, 26, 165–173. [Google Scholar] [CrossRef]
- Eastwood, J.D.; Cavaliere, C.; Fahlman, S.A.; Eastwood, A.E. A desire for desires: Boredom and its relation to alexithymia. Pers. Individ. Differ. 2007, 42, 1035–1045. [Google Scholar] [CrossRef]
- Zuckerman, M. Sensation Seeking: Beyond the Optimal Level of Arousal; Erlbaum: Hillsdale, NJ, USA, 1979; ISBN 978-0470268513. [Google Scholar]
- Jochemczyk, Ł.; Pietrzak, J.; Buczkowski, R.; Stolarski, M.; Markiewicz, Ł. You Only Live Once: Present-hedonistic time perspective predicts risk propensity. Pers. Individ. Differ. 2017, 115, 148–153. [Google Scholar] [CrossRef]
- Joireman, J.; Shaffer, M.J.; Balliet, D.; Strathman, A. Promotion orientation explains why future oriented people exercise and eat healthy: Evidence from the two-factor consideration of future consequences 14 scale. Pers. Soc. Psychol. Bull. 2012, 38, 1272–1287. [Google Scholar] [CrossRef]
- Milfont, T.L.; Wilson, J.; Diniz, P. Time perspective and environmental engagement: A meta-analysis. Int. J. Psychol. 2012, 47, 325–334. [Google Scholar] [CrossRef]
- Wittmann, M.; Sircova, A. Dispositional orientation to the present and future and its role in pro-environmental behavior and sustainability. Heliyon 2018, 4, e00882. [Google Scholar] [CrossRef]
- Joireman, J.; Anderson, J.; Strathman, A. The aggression paradox: Understanding links among aggression, sensation seeking, and the consideration of future consequences. J. Pers. Soc. Psychol. 2003, 84, 1287–1302. [Google Scholar] [CrossRef]
- Zhao, Y.; Wei, J.; Chen, Y.; Xia, L. Consideration of future consequences (CFC) serves as a buffer against aggression related to psychopathy. PLoS ONE 2018, 13, e0203663. [Google Scholar] [CrossRef] [PubMed]
- Van Gelder, J.-L.; Hershfield, H.E.; Nordgren, L.F. Vividness of the Future Self Predicts Delinquency. Psychol. Sci. 2013, 24, 974–980. [Google Scholar] [CrossRef] [PubMed]
- Howlett, E.; Kees, J.; Kemp, E. The Role of Self-Regulation, Future Orientation, and Financial Knowledge in Long-Term Financial Decisions. J. Consum. Aff. 2008, 42, 223–242. [Google Scholar] [CrossRef]
- Webley, P.; Nyhus, E.K. Parents’ influence on children’s future orientation and saving. J. Econ. Psychol. 2006, 27, 140–164. [Google Scholar] [CrossRef]
- Joireman, J.A. Additional Evidence for Validity of the Consideration of Future Consequences Scale in an Academic Setting. Psychol. Rep. 1999, 84, 1171–1172. [Google Scholar] [CrossRef]
- Zimbardo, P.G.; Boyd, J.N. Putting Time into Perspective. A Valid, Reliable Individual-differences Metric Measurement. J. Pers. Soc. Psychol. 1999, 77, 1271–1288. [Google Scholar] [CrossRef]
- Joireman, J.; Balliet, D.; Sprott, D.E.; Spangenberg, E.R.; Schultz, J. Consideration of future consequences, ego-depletion, and self-control: Support for distinguishing between CFC-Immediate and CFC-Future sub-scales. Pers. Individ. Differ. 2008, 45, 15–21. [Google Scholar] [CrossRef]
- Nigro, G.; Cosenza, M.; Ciccarelli, M. The Blurred Future of Adolescent Gamblers: Impulsivity, Time Horizon, and Emotional Distress. Front. Psychol. 2017, 8, 486:1–486:12. [Google Scholar] [CrossRef]
- Nigro, G.; D’Olimpio, F.; Ciccarelli, M.; Cosenza, M. The fuzzy future: Time horizon, memory failures, and emotional distress in gambling disorder. Addict. Behav. 2019, 97, 7–13. [Google Scholar] [CrossRef]
- Strathman, A.; Gleicher, F.; Boninger, D.S.; Edwards, C.S. The consideration of future consequences: Weighing immediate and distant outcomes of behavior. J. Pers. Soc. Psychol. 1994, 66, 742–752. [Google Scholar] [CrossRef]
- Bénard, M.; Bellisle, F.; Etilé, F.; Reach, G.; Kesse-Guyot, E.; Hercberg, S.; Péneau, S. Impulsivity and consideration of future consequences as moderators of the association between emotional eating and body weight status. Int. J. Behav. Nutr. Phys. Act. 2018, 15, 84:1–84:11. [Google Scholar] [CrossRef]
- Joireman, J.; King, S. Individual Differences in the Consideration of Future and (More) Immediate Consequences: A Review and Directions for Future Research. Soc. Pers. Psychol. Compass 2016, 10, 313–326. [Google Scholar] [CrossRef]
- Wittmann, M.; Rudolph, T.; Gutierrez, D.L.; Winkler, I. Time Perspective and Emotion Regulation as Predictors of Age-Related Subjective Passage of Time. Int. J. Environ. Res. Public Health 2015, 12, 16027–16042. [Google Scholar] [CrossRef] [PubMed]
- Crockett, R.A.; Weinman, J.; Hankins, M.; Marteau, T. Time orientation and health-related behaviour: Measurement in general population samples. Psychol. Health 2009, 24, 333–350. [Google Scholar] [CrossRef]
- McKay, M.T.; Perry, J.L.; Cole, J.C.; Worrell, F.C. What time is it? Temporal psychology measures relate differently to alcohol-related health outcomes. Addict. Res. Theory 2018, 26, 20–27. [Google Scholar] [CrossRef]
- Pozolotina, T.; Olsen, S.O. Present and future temporal profiles and their relationship to health intentions and behaviors: A test on a Norwegian general population sample. Scand. J. Psychol. 2018, 60, 36–42. [Google Scholar] [CrossRef]
- Longarzo, M.; D’Olimpio, F.; Chiavazzo, A.; Santangelo, G.; Trojano, L.; Grossi, D. The relationships between interoception and alexithymic trait. The Self-Awareness Questionnaire in healthy subjects. Front. Psychol. 2015, 6, 1149. [Google Scholar] [CrossRef]
- Damasio, A. The Feeling of What Happens: Body and Emotion in the Making of Consciousness; Harcourt Inc.: San Diego, CA, USA, 1999; ISBN 978-0151003693. [Google Scholar]
- James, W. Discussion: The physical basis of emotion. Psychol. Rev. 1894, 1, 516–529. [Google Scholar] [CrossRef]
- Craig, A.D. How do You Feel? An Interoceptive Moment with Your Neurobiological Self; Princeton University Press: Princeton, NJ, USA, 2015; ISBN 978-0691156767. [Google Scholar]
- Zaki, J.; Davis, J.I.; Ochsner, K.N. Overlapping activity in anterior insula during interoception and emotional experience. NeuroImage 2012, 62, 493–499. [Google Scholar] [CrossRef]
- Wittmann, M.; Simmons, A.N.; Aron, J.L.; Paulus, M.P. Accumulation of neural activity in the posterior insula encodes the passage of time. Neuropsychologia 2010, 48, 3110–3120. [Google Scholar] [CrossRef]
- Garfinkel, S.N.; Critchley, H.D. Interoception, emotion and brain: New insights link internal physiology to social behaviour. Commentary on: “Anterior insular cortex mediates bodily sensibility and social anxiety” by Terasawa et al. Soc. Cogn. Affect. Neurosci. 2013, 8, 231–234. [Google Scholar] [CrossRef] [PubMed]
- Garfinkel, S.N.; Seth, A.K.; Barrett, A.B.; Suzuki, K.; Critchley, H.D. Knowing your own heart: Distinguishing interoceptive accuracy from interoceptive awareness. Biol. Psychol. 2015, 104, 65–74. [Google Scholar] [CrossRef] [PubMed]
- Forkmann, T.; Scherer, A.; Meessen, J.; Michal, M.; Schächinger, H.; Vögele, C.; Schulz, A. Making sense of what you sense: Disentangling interoceptive awareness, sensibility and accuracy. Int. J. Psychophysiol. 2016, 109, 71–80. [Google Scholar] [CrossRef] [PubMed]
- Hughes, L.J.; Betka, S.; Longarzo, M. Validation of an electronic version of the Self-Awareness Questionnaire in English and Italian healthy samples. Int. J. Methods Psychiatr. Res. 2018, 28, e1758:1–e1758:8. [Google Scholar] [CrossRef] [PubMed]
- Grossi, D.; Di Vita, A.; Palermo, L.; Sabatini, U.; Trojano, L.; Guariglia, C. The brain network for self-feeling: A symptom-lesion mapping study. Neuropsychologia 2014, 63, 92–98. [Google Scholar] [CrossRef]
- Longarzo, M.; Quarantelli, M.; Aiello, M.; Romano, M.; Del Prete, A.; Cimminiello, C.; Cocozza, S.; Olivo, G.; Loguercio, C.; Trojano, L.; et al. The influence of interoceptive awareness on functional connectivity in patients with irritable bowel syndrome. Brain Imaging Behav. 2016, 11, 1117–1128. [Google Scholar] [CrossRef]
- Teghil, A.; Boccia, M.; Nocera, L.; Pietranelli, V.; Guariglia, C. Interoceptive awareness selectively predicts timing accuracy in irregular contexts. Behav. Brain Res. 2020, 377, 112242. [Google Scholar] [CrossRef]
- Wittmann, M. Felt Time. The Psychology of How We Perceive Time; MIT Press: Cambridge, MA, USA, 2016; ISBN 978-0-262-03402-9. [Google Scholar]
- Mehling, W.E.; Acree, M.; Stewart, A.; Silas, J.; Jones, A. The Multidimensional Assessment of Interoceptive Awareness, Version 2 (MAIA-2). PLoS ONE 2018, 13, e0208034. [Google Scholar] [CrossRef] [PubMed]
- LaMotte, M.; Chakroun, N.; Droit-Volet, S.; Izaute, M. Metacognitive Questionnaire on Time: Feeling of the Passage of Time. Timing Time Percept. 2014, 2, 339–359. [Google Scholar] [CrossRef]
- Sackett, A.M.; Meyvis, T.; Converse, B.A.; Sackett, A.L.; Nelson, L.D. You’re Having Fun When Time Flies. Psychol. Sci. 2010, 21, 111–117. [Google Scholar] [CrossRef]
- LaMotte, M.; Izaute, M.; Droit-Volet, S. Awareness of time distortions and its relation with time judgment: A metacognitive approach. Conscious. Cogn. 2012, 21, 835–842. [Google Scholar] [CrossRef] [PubMed]
- Droit-Volet, S.; LaMotte, M.; Izaute, M. The conscious awareness of time distortions regulates the effect of emotion on the perception of time. Conscious. Cogn. 2015, 38, 155–164. [Google Scholar] [CrossRef] [PubMed]
- Questback GmbH. UniPark Enterprise Feedback Suite Survey; Version Fall; Questback GmbH: Berlin, Germany, 2019; Available online: https://www.unipark.com/en/ (accessed on 1 September 2020).
- Vodanovich, S.; Kass, S. A Factor Analytic Study of the Boredom Proneness Scale. J. Pers. Assess. 1990, 55, 115–123. [Google Scholar] [CrossRef]
- Struk, A.A.; Carriere, J.S.A.; Cheyne, J.A.; Danckert, J. A Short Boredom Proneness Scale: Development and Psychometric Properties. Assessment 2016, 24, 346–359. [Google Scholar] [CrossRef] [PubMed]
- Vodanovich, S.J.; Wallace, J.C.; Kass, S.J. A confirmatory approach to the factor structure of the Boredom Proneness Scale: Evidence for a two-factor short form. J. Pers. Assess. 2005, 85, 295–303. [Google Scholar] [CrossRef]
- Izquierdo, I.; Olea, J.; Abad, F.J. Exploratory factor analysis in validation studies: Uses and recommendations. Psicothema 2014, 26, 395–400. [Google Scholar] [PubMed]
- Field, A. Discovering statistics using IBM SPSS Statistics, 5th ed.; SAGE: Thousand Oaks, CA, USA, 2017; ISBN 978-1526419521. [Google Scholar]
- Horn, J.L. A rationale and test for the number of factors in factor analysis. Psychometrika 1965, 30, 179–185. [Google Scholar] [CrossRef]
- O’Connor, B.P. SPSS and SAS programs for determining the number of components using parallel analysis and Velicer’s MAP test. Behav. Res. Methods Instrum. Comput. 2000, 32, 396–402. [Google Scholar] [CrossRef]
- Franklin, S.B.; Gibson, D.J.; Robertson, P.A.; Pohlmann, J.T.; Fralish, J.S. Parallel Analysis: A method for determining significant principal components. J. Veg. Sci. 1995, 6, 99–106. [Google Scholar] [CrossRef]
- Zwick, W.R.; Velicer, W.F. Comparison of five rules for determining the number of components to retain. Psychol. Bull. 1986, 99, 432–442. [Google Scholar] [CrossRef]
- Hayton, J.C.; Allen, D.G.; Scarpello, V. Factor Retention Decisions in Exploratory Factor Analysis: A Tutorial on Parallel Analysis. Organ. Res. Methods 2004, 7, 191–205. [Google Scholar] [CrossRef]
- Leech, N.L.; Barrett, K.C.; Morgan, G.A. Exploratory Factor Analysis and Principal Components Analysis. In IBM SPSS for Intermediate Statistics; Leech, N.L., Barrett, K.C., Morgan, G.A., Eds.; Routledge: New York, NY, USA, 2012; pp. 68–83. ISBN 978-0203821848. [Google Scholar]
- Preacher, K.J.; MacCallum, R.C. Repairing Tom Swift’s electric factor analysis machine. Understanding statistics: Statistical issues in psychology, education, and the social sciences. Underst. Stat. 2003, 2, 13–43. [Google Scholar] [CrossRef]
- DeVellis, R.F. Scale Development: Theory and Applications; SAGE: Thousand Oaks, CA, USA, 2016; ISBN 978-1506341569. [Google Scholar]
- Tavakol, M.; Dennick, R. Making sense of Cronbach’s alpha. Int. J. Med. Educ. 2011, 2, 53–55. [Google Scholar] [CrossRef] [PubMed]
- McNeish, D. Thanks coefficient alpha, we’ll take it from here. Psychol. Methods 2018, 23, 412–433. [Google Scholar] [CrossRef] [PubMed]
- Benjamini, Y.; Hochberg, Y. Controlling the False Discovery Rate: A Practical and Powerful Approach to Multiple Testing. J. R. Stat. Soc. Ser. B Methodol. 1995, 57, 289–300. [Google Scholar] [CrossRef]
- Hair, J.F.; Black, W.C.; Babin, B.J.; Anderson, R.E. Multivariate Data Analysis, 7th ed.; Prentice Hall: Upper Saddle River, NJ, USA, 2010; ISBN 978-0138132637. [Google Scholar]
- Bergkvist, L.; Rossiter, J.R. The Predictive Validity of Multiple-Item versus Single-Item Measures of the Same Constructs. J. Mark. Res. 2007, 44, 175–184. [Google Scholar] [CrossRef]
- Wanous, J.P.; Reichers, A.E.; Hudy, M.J. Overall job satisfaction: How good are single-item measures? J. Appl. Psychol. 1997, 82, 247–252. [Google Scholar] [CrossRef]
- Raubenheimer, J. An item selection procedure to maximise scale reliability and validity. SA J. Ind. Psychol. 2004, 30, 59–64. [Google Scholar] [CrossRef]
- Diamantopoulos, A.; Sarstedt, M.; Fuchs, C.; Wilczynski, P.; Kaiser, S. Guidelines for choosing between multi-item and single-item scales for construct measurement: A predictive validity perspective. J. Acad. Mark. Sci. 2012, 40, 434–449. [Google Scholar] [CrossRef]
- Worthington, R.L.; Whittaker, T.A. Scale Development Research: A Content Analysis and Recommendations for Best Practices. Couns. Psychol. 2006, 34, 806–838. [Google Scholar] [CrossRef]
- Simmons, W.K.; Avery, J.A.; Barcalow, J.C.; Bodurka, J.; Drevets, W.C.; Bellgowan, P. Keeping the body in mind: Insula functional organization and functional connectivity integrate interoceptive, exteroceptive, and emotional awareness. Hum. Brain Mapp. 2013, 34, 2944–2958. [Google Scholar] [CrossRef] [PubMed]
- Berntson, G.G.; Gianaros, P.J.; Tsakiris, M. Interoception and the autonomic nervous system: Bottom-up meets top-down. In The Interoceptive Mind. From Homeostasis to Awareness; Tsakiris, M., De Preester, H., Eds.; Oxford University Press: New York, NY, USA, 2019; pp. 3–23. ISBN 978-0-19-881193-0. [Google Scholar]
- Danckert, J.; Allman, A.-A.A. Time flies when you’re having fun: Temporal estimation and the experience of boredom. Brain Cogn. 2005, 59, 236–245. [Google Scholar] [CrossRef] [PubMed]
- Osborne, J.W.; Fitzpatrick, D.C. Replication Analysis in Exploratory Factor Analysis: What it is and why it makes your analysis better. Pract. Assess. Res. Eval. 2012, 17, 1–8. [Google Scholar] [CrossRef]
- Zakay, D.; Block, R.A. Temporal cognition. Curr. Dir. Psychol. Sci. 1997, 6, 12–16. [Google Scholar] [CrossRef]
- Ross, L.; Greene, D.; House, P. The “false consensus effect”: An egocentric bias in social perception and attribution processes. J. Exp. Soc. Psychol. 1977, 13, 279–301. [Google Scholar] [CrossRef]
- Kass, S.J.; Vodanovich, S.J. Boredom proneness: Its relationship to Type A behavior pattern and sensation seeking. Psychol. J. Hum. Behav. 1990, 27, 7–16. [Google Scholar]
- Leong, F.T.; Schneller, G.R. Boredom proneness: Temperamental and cognitive components. Pers. Individ. Differ. 1993, 14, 233–239. [Google Scholar] [CrossRef]
- Watt, J.D.; Vodanovich, S.J. Relationship between Boredom Proneness and Impulsivity. Psychol. Rep. 1992, 70, 688–690. [Google Scholar] [CrossRef]
- Boden, J.M. Chapter 9: The Devil Inside: Boredom Proneness and Impulsive Behaviour. In Essays on Boredom and Modernity (Critical Studies, 31); Pezze, B.D., Salzani, C., Eds.; Rodopi: New York, NY, USA, 2009; pp. 203–226. [Google Scholar] [CrossRef]
- Watt, J.D. Effect of boredom proneness on time perception. Psychol. Rep. 1991, 69, 323–327. [Google Scholar] [CrossRef]
- Mercer, K.B.; Hunter, J.A.; Eastwood, J.D. Is Trait Boredom Redundant? J. Soc. Clin. Psychol. 2013, 32, 897–916. [Google Scholar] [CrossRef]
- Milfont, T.L.; Vilar, R.; Araujo, R.C.R.; Stanley, R. Does Promotion Orientation Help Explain Why Future-Orientated People Exercise and Eat Healthy? Front. Psychol. 2017, 8, 1202:1–1202:6. [Google Scholar] [CrossRef] [PubMed]
- Meissner, K.; Wittmann, M. Body signals, cardiac awareness, and the perception of time. Biol. Psychol. 2011, 86, 289–297. [Google Scholar] [CrossRef]
- London, H.; Monello, L. Cognitive manipulation of boredom. In Thought and Feeling: Cognitive Alteration of Feeling States; London, H., Nisbett, R.E., Eds.; Aldine: Oxford, UK, 1974; p. 239. ISBN 978-0202250953. [Google Scholar]
- Greenson, R.R. On boredom. J. Am. Psychoanal. Assoc. 1953, 1, 7–21. [Google Scholar] [CrossRef] [PubMed]
- Comrey, A.L.; Lee, H.B. A First Course in Factor Analysis; Lawrence Erlbaum Associates: Hillsdale, NJ, USA, 1992; ISBN 978-1138965454. [Google Scholar]
- Mundfrom, D.J.; Shaw, D.G.; Ke, T.L. Minimum Sample Size Recommendations for Conducting Factor Analyses. Int. J. Test. 2005, 5, 159–168. [Google Scholar] [CrossRef]
- Wittmann, M.; Jokic, T.; Pfeifer, E. Modulations in the experience of duration. In The Illusions of Time. Philosophical and Psychological Essays on Timing and Time Perception; Arstila, V., Bardon, A., Power, S., Vatakis, A., Eds.; Palgrave Macmillan: London, UK, 2019; pp. 145–162. ISBN 978-3030220488. [Google Scholar]





| Measure | Age [Years] | Educational Level | Time to Complete the Survey [s] |
|---|---|---|---|
| Mean (SD) | 31.22 (12.46) | 4.54 (0.56) | 975.75 (438.69) |
| range | 17–83 | 3–5 | 500–3369 |
| Item No. | Communality (h2) | Factor 1 Lack of External Stimulation | Factor 2 Lack of Internal Stimulation | Factor 3 Constraint Inability to Wait |
|---|---|---|---|---|
| 1 * | 0.33 | 0.49 | −0.47 | 0.15 |
| 4 | 0.45 | 0.53 | −0.60 | 0.13 |
| 5 | 0.27 | 0.50 | −0.31 | 0.19 |
| 8 * | 0.28 | 0.33 | −0.51 | 0.06 |
| 9 | 0.21 | 0.45 | −0.24 | 0.12 |
| 10 | 0.40 | 0.53 | −0.52 | 0.05 |
| 11 * | 0.42 | 0.52 | −0.54 | 0.25 |
| 12 | 0.37 | 0.58 | −0.38 | 0.18 |
| 13 * | 45 | 0.30 | −0.63 | 0.30 |
| 14 | 0.60 | 0.47 | −0.74 | −0.02 |
| 15 * | 0.54 | 0.15 | −0.07 | 0.73 |
| 16 | 0.49 | 0.39 | −0.69 | 0.04 |
| 17 | 0.37 | 0.12 | −0.08 | 0.61 |
| 19 | 0.50 | 0.68 | −0.12 | 0.17 |
| 20 | 0.43 | 0.65 | −0.25 | 0.04 |
| 21 | 0.49 | 0.69 | −0.28 | 0.01 |
| 23 * | 0.22 | 0.01 | −0.43 | 0.00 |
| 24 * | 0.20 | 0.20 | −0.44 | 0.11 |
| 25 | 0.29 | 0.53 | −0.32 | 0.12 |
| 26 | 0.34 | 0.56 | −0.17 | 0.23 |
| eigenvalue | 5.95 | 1.87 | 1.54 | |
| % of variance | 46.79 | 29.74 | 9.36 | 7.68 |
| Cronbach’s alpha | 0.86 | 0.84 | 0.83 | 0.64 |
| Measure | BPS-20 Sum Score | BPS “External” Sum Score | BPS “Internal” Sum Score | BPS “Constraint” Sum Score |
|---|---|---|---|---|
| Mean (SD) | 59.78 (19.73) | 32.26 (12.45) | 26.72 (10.61) | 6.29 (3.34) |
| range | 23–133 | 11–72 | 11–60 | 2–14 |
| Item No. | Communality (h2) | CFC-10 Single Factor |
|---|---|---|
| 1 | 0.29 | −0.54 |
| 2 | 0.33 | −0.58 |
| 3 * | 0.52 | 0.72 |
| 4 * | 0.31 | 0.56 |
| 7 | 0.22 | −0.47 |
| 9 * | 0.25 | 0.50 |
| 10 * | 0.25 | 0.50 |
| 11 * | 0.49 | 0.70 |
| 13 | 0.26 | −0.51 |
| 14 | 0.35 | −0.59 |
| eigenvalue | 3.91 | |
| variance | 39.12 | |
| Cronbach’s alpha | 0.83 |
| Measure | CFC-10 (N = 273) | CFC-I Sum Score | CFC-F Sum Score |
|---|---|---|---|
| Mean (SD) | 51.65 (8.97) | 13.90 (5.28) | 25.56 (4.81) |
| range | 25–70 | 5–30 | 7–35 |
| Item No. | Communality (h2) | SAQ-17 Single Factor |
|---|---|---|
| 1 | 0.18 | 0.42 |
| 4 | 0.30 | 0.55 |
| 7 | 0.23 | 0.48 |
| 8 | 0.44 | 0.67 |
| 9 | 0.38 | 0.62 |
| 10 | 0.18 | 0.42 |
| 12 | 0.17 | 0.41 |
| 14 | 0.28 | 0.52 |
| 16 | 0.27 | 0.52 |
| 17 | 0.27 | 0.52 |
| 18 | 0.30 | 0.55 |
| 20 | 0.37 | 0.61 |
| 21 | 0.30 | 0.55 |
| 23 | 0.18 | 0.42 |
| 25 | 0.26 | 0.51 |
| 26 | 0.30 | 0.55 |
| 28 | 0.24 | 0.49 |
| eigenvalue | 5.35 | |
| % of variance | 31.47 | |
| Cronbach’s alpha | 0.86 |
| Item No. | Communality (h2) | MQT “Others” Single Factor |
|---|---|---|
| 1 | 0.48 | 0.69 |
| 17 * | 0.18 | 0.42 |
| 18 * | 0.21 | 0.46 |
| 23 | 0.37 | 0.61 |
| eigenvalue | 1.89 | |
| % of variance | 47.29 | |
| Cronbach’s alpha | 0.61 |
| Measure | MQT “Others” | “Others” Attention | “Others” Emotion | MQT “Self” | “Self” Attention | “Self” Emotion |
|---|---|---|---|---|---|---|
| Mean (SD) | 40.23 (3.92) | 28.24 (2.93) | 11.99 (1.74) | 40.99 (4.17) | 28.96 (3.08) | 12.03 (1.73) |
| range | 30–50 | 21–35 | 6–15 | 28–50 | 19–35 | 7–15 |
| Item No. | Communality (h2) | MQT “Self” Single Factor |
|---|---|---|
| 4 | 0.36 | 0.60 |
| 14 | 0.45 | 0.67 |
| 15 * | 0.17 | 0.41 |
| 20 | 0.31 | 0.56 |
| 21 | 0.18 | 0.43 |
| eigenvalue | 2.14 | |
| % of variance | 42.82 | |
| Cronbach’s alpha | 0.65 |
Publisher’s Note: MDPI stays neutral with regard to jurisdictional claims in published maps and institutional affiliations. |
© 2020 by the authors. Licensee MDPI, Basel, Switzerland. This article is an open access article distributed under the terms and conditions of the Creative Commons Attribution (CC BY) license (http://creativecommons.org/licenses/by/4.0/).
Share and Cite
Kübel, S.L.; Wittmann, M. A German Validation of Four Questionnaires Crucial to the Study of Time Perception: BPS, CFC-14, SAQ, and MQT. Int. J. Environ. Res. Public Health 2020, 17, 8477. https://doi.org/10.3390/ijerph17228477
Kübel SL, Wittmann M. A German Validation of Four Questionnaires Crucial to the Study of Time Perception: BPS, CFC-14, SAQ, and MQT. International Journal of Environmental Research and Public Health. 2020; 17(22):8477. https://doi.org/10.3390/ijerph17228477
Chicago/Turabian StyleKübel, Sebastian L., and Marc Wittmann. 2020. "A German Validation of Four Questionnaires Crucial to the Study of Time Perception: BPS, CFC-14, SAQ, and MQT" International Journal of Environmental Research and Public Health 17, no. 22: 8477. https://doi.org/10.3390/ijerph17228477
APA StyleKübel, S. L., & Wittmann, M. (2020). A German Validation of Four Questionnaires Crucial to the Study of Time Perception: BPS, CFC-14, SAQ, and MQT. International Journal of Environmental Research and Public Health, 17(22), 8477. https://doi.org/10.3390/ijerph17228477

