Predictions of Mortality from Pleural Mesothelioma in Italy After the Ban of Asbestos Use
Abstract
1. Introduction
2. Material and Methods
2.1. Data Source
2.2. Statistical Analysis
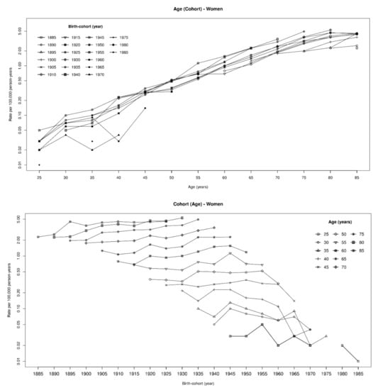
3. Results
4. Discussion
5. Conclusions
Supplementary Materials
Author Contributions
Funding
Conflicts of Interest
Ethics approval
References
- IARC. IARC Monographs on the Evaluation of Carcinogenic Risks to Humans. Volume100C: Arsenic, Metals, Fibres, and Dusts; International Agency for Research on Cancer: Lyon, France, 2012; ISBN 978-92-832-1320-8. [Google Scholar]
- GBD 2017 Risk Factor Collaborators. Global, regional, and national comparative risk assessment of 84 behavioural, environmental and occupational, and metabolic risks or clusters of risks for 195 countries and territories, 1990–2017: A systematic analysis for the Global Burden of Disease Study 2017. Lancet 2018, 392, 1923–1994. [Google Scholar] [CrossRef]
- Novello, S.; Pinto, C.; Torri, V.; Porcu, L.; Di Maio, M.; Tiseo, M.; Ceresoli, G.; Magnani, C.; Silvestri, S.; Veltri, A.; et al. The Third Italian Consensus Conference for Malignant Pleural Mesothelioma: State of the art and recommendations. Crit. Rev. Oncol. Hematol. 2016, 104, 9–20. [Google Scholar] [CrossRef] [PubMed]
- Peto, J.; Hodgson, J.T.; Matthews, F.E.; Jones, J.R. Continuing increase in mesothelioma mortality in Britain. Lancet 1995, 345, 535–539. [Google Scholar] [CrossRef]
- Montanaro, F.; Bray, F.; Gennaro, V.; Merler, E.; Tyczynski, J.E.; Parkin, D.M.; Strnad, M.; Jechov’a, M.; Storm, H.H.; Aareleid, T.; et al. Pleural mesothelioma incidence in Europe: Evidence of some deceleration in the increasing trends. Cancer Causes Control 2003, 14, 791–803. [Google Scholar] [CrossRef] [PubMed]
- Pelucchi, C.; Malvezzi, M.; La Vecchia, C.; Levi, F.; Decarli, A.; Negri, E. The Mesothelioma epidemic in Western Europe: An update. Br. J. Cancer 2004, 90, 1022–1024. [Google Scholar] [CrossRef]
- Hodgson, J.T.; McElvenny, D.M.; Darnton, A.J.; Price, M.J.; Peto, J. The expected burden of mesothelioma mortality in Great Britain from 2002 to 2050. Br. J. Cancer 2005, 92, 587–593. [Google Scholar] [CrossRef]
- Marinaccio, A.; Montanaro, F.; Mastrantonio, M.; Uccelli, R.; Altavista, P.; Nesti, M.; Costantini, A.S.; Gorini, G. Predictions of mortality from pleural mesothelioma in Italy: A model based on asbestos consumption figures supports results from age-period-cohort models. Int. J. Cancer 2005, 115, 142–147. [Google Scholar] [CrossRef]
- Tan, E.; Warren, N.; Darnton, A.; Hodgson, J.T. Projection of mesothelioma mortality in Britain using Bayesian methods. Br. J. Cancer 2010, 103, 430–436. [Google Scholar] [CrossRef]
- Neumann, V.; Löseke, S.; Nowak, D.; Herth, F.J.; Tannapfel, A. Malignant pleural mesothelioma: Incidence, etiology, diagnosis, treatment, and occupational health. Dtsch. Arztebl. Int. 2013, 110, 319–326. [Google Scholar] [CrossRef]
- Soeberg, M.J.; Leigh, J.; van Zandwijk, N. Malignant mesothelioma in Australia 2015: Current incidence and asbestos exposure trends. J. Toxicol. Environ. Health B Crit. Rev. 2016, 19, 173–189. [Google Scholar] [CrossRef]
- Hemminki, K.; Li, X. Mesothelioma incidence seems to have leveled off in Sweden. Int. J. Cancer 2003, 103, 145–146. [Google Scholar] [CrossRef] [PubMed]
- Järvholm, B.; Burdorf, A. Emerging evidence that the ban on asbestos use is reducing the occurrence of pleural mesothelioma in Sweden. Scand. J. Public Health 2015, 43, 875–881. [Google Scholar] [CrossRef] [PubMed]
- Kerger, B.D. Longevity and pleural mesothelioma: Age-period-cohort analysis of incidence data from the Surveillance, Epidemiology, and End Results (SEER) Program, 1973–2013. BMC Res. Notes 2018, 11, 337. [Google Scholar] [CrossRef] [PubMed]
- Frank, A.L.; Joshi, T.K. The global spread of asbestos. Ann. Glob. Health 2014, 80, 257–262. [Google Scholar] [CrossRef]
- Kwak, K.M.; Paek, D.; Hwang, S.S.; Ju, Y.S. Estimated future incidence of malignant mesothelioma in South Korea: Projection from 2014 to 2033. PLoS ONE 2017, 12, e0183404. [Google Scholar] [CrossRef]
- Marinaccio, A.; Binazzi, A.; Marzio, D.D.; Scarselli, A.; Verardo, M.; Mirabelli, D.; Gennaro, V.; Mensi, C.; Riboldi, L.; Merler, E.; et al. Pleural malignant mesothelioma epidemic: Incidence, modalities of asbestos exposure and occupations involved from the Italian National Register. Int. J. Cancer 2012, 130, 2146–2154. [Google Scholar] [CrossRef]
- Park, E.K.; Takahashi, K.; Hoshuyama, T.; Cheng, T.J.; Delgermaa, V.; Le, G.V.; Sorahan, T. Global magnitude of reported and unreported mesothelioma. Environ. Health Perspect. 2011, 119, 514–518. [Google Scholar] [CrossRef]
- Mensi, C.; De Matteis, S.; Dallari, B.; Riboldi, L.; Bertazzi, P.A.; Consonni, D. Incidence of mesothelioma in Lombardy, Italy: Exposure to asbestos, time patterns and future projections. Occup. Environ. Med. 2016, 73, 607–613. [Google Scholar] [CrossRef]
- Katzman, D.; Sterman, D.H. Updates in the diagnosis and treatment of malignant pleural mesothelioma. Curr. Opin. Pulm. Med. 2018, 24, 319–326. [Google Scholar] [CrossRef]
- Price, B.; Ware, A. Mesothelioma trends in the United States: An update based on Surveillance, Epidemiology, and End Results Program data for 1973 through 2003. Am. J. Epidemiol. 2004, 159, 107–112. [Google Scholar] [CrossRef]
- Bianchi, C.; Bianchi, T. Global mesothelioma epidemic: Trend and features. Indian J. Occup. Environ. Med. 2014, 18, 82–88. [Google Scholar] [CrossRef] [PubMed]
- Delgermaa, V.; Takahashi, K.; Park, E.K.; Le, G.V.; Hara, T.; Sorahan, T. Global mesothelioma deaths reported to the World Health Organization between 1994 and 2008. Bull. World Health Organ. 2011, 89, 716–724. [Google Scholar] [CrossRef] [PubMed]
- Marinaccio, A.; Binazzi, A.; Bonafede, M.; Branchi, C.; Bugani, M.; Corfiati, M.; Di Marzio, D.; Scarselli, A.; Iavicoli, S.; Verardo, M.; et al. VI Report of Italian National Mesothelioma Registry; INAIL: Rome, Italy, 2018; ISBN 978-88-7484-122-6. [Google Scholar]
- Ferrante, P.; Mastrantonio, M.; Uccelli, R.; Corfiati, M.; Marinaccio, A. Pleural mesothelioma mortality in Italy: Time series reconstruction (1970–2009) and comparison with incidence (2003–2008). Epidemiol. Prev. 2016, 40, 205–214. [Google Scholar] [CrossRef] [PubMed]
- Martínez-Miranda, M.D.; Nielsen, B.; Nielsen, J.P. Inference and forecasting in the age–period–cohort model with unknown exposure with an application to mesothelioma mortality. J. R. Stat. Soc. Ser. A Stat. Soc. 2015, 178, 29–55. [Google Scholar] [CrossRef]
- Yang, Y.; Land, K.C. Age-Period-Cohort Analysis: New Models, Methods, and Empirical Applications; Chapman and Hall/CRC Press: Boca Raton, FL, USA, 2016; ISBN 978-146-650-752-4. [Google Scholar]
- Nielsen, B. apc: An r package for age-period-cohort analysis. R J. 2015, 7/2, 52–64. [Google Scholar] [CrossRef]
- Nishikawa, K.; Takahashi, K.; Karjalainen, A.; Wen, C.P.; Furuya, S.; Hoshuyama, T.; Todoroki, M.; Kiyomoto, Y.; Wilson, D.; Higashi, T.; et al. Recent mortality from pleural mesothelioma, historical patterns of asbestos use, and adoption of bans: A global assessment. Environ. Health Perspect. 2008, 116, 1675–1680. [Google Scholar] [CrossRef]
- Health and Safety Executive (HSE). Mesothelioma Mortality in Great Britain: Estimating the Future Burden; HSE Book: Harpur Hill, Buxton, UK, 2009. [Google Scholar]
- Taioli, E.; van Gerwen, M.; Mihalopoulos, M.; Moskowitz, G.; Liu, B.; Flores, R. Review of malignant pleural mesothelioma survival after talc pleurodesis or surgery. J. Thorac. Dis. 2017, 9, 5423–5433. [Google Scholar] [CrossRef]
- Marinaccio, A.; Corfiati, M.; Binazzi, A.; Di Marzio, D.; Scarselli, A.; Ferrante, P.; Bonafede, M.; Verardo, M.; Mirabelli, D.; Gennaro, V.; et al. The epidemiology of malignant mesothelioma in women: Gender differences and modalities of asbestos exposure. Occup. Environ. Med. 2018, 75, 254–762. [Google Scholar] [CrossRef]
- Girardi, P.; Bressan, V.; Merler, E. Past trends and future prediction of mesothelioma incidence in an industrialized area of Italy, the Veneto Region. Cancer Epidemiol. 2014, 38, 496–503. [Google Scholar] [CrossRef]
- Mirabelli, D.; Stura, A.; Gangemi, M.; Bertolotti, M.; Maule, M.M.; Magnani, C. Incidence of malignant mesothelioma in Piedmont, 1990–2001. Epidemiol. Prev. 2007, 31, 132–138. [Google Scholar]
- Odgerel, C.O.; Takahashi, K.; Sorahan, T.; Driscoll, T.; Fitzmaurice, C.; Yoko-O, M.; Sawanyawisuth, K.; Furuya, S.; Tanaka, F.; Horie, S.; et al. Estimation of the global burden of mesothelioma deaths from incomplete national mortality data. Occup. Environ. Med. 2017, 74, 851–858. [Google Scholar] [CrossRef] [PubMed]
- Furuya, S.; Chimed-Ochir, O.; Takahashi, K.; David, A.; Takala, J. Global Asbestos Disaster. Int. J. Environ. Res. Public Health 2018, 16, 1000. [Google Scholar] [CrossRef] [PubMed]
- Global Burden of Disease Collaborative Network. Global Burden of Disease Study 2017 (GBD 2017) Results. Seattle, United States: Institute for Health Metrics and Evaluation (IHME). 2018. Available online: http://ghdx.healthdata.org/gbd-results-tool?params=gbd-api-2017-permalink/2cbff2e75417c9555b0607ecc56108af (accessed on 10 January 2020).
- Martínez-Miranda, M.D.; Nielsen, B.; Nielsen, J.P. Simple benchmark for mesothelioma projection for Great Britain. Occup. Environ. Med. 2016, 73, 561–563. [Google Scholar] [CrossRef] [PubMed]
- Kjaergaard, J.; Andersson, M. Incidence rates of malignant mesothelioma in Denmark and predicted future number of cases among men. Scand. J. Work Environ. Health 2000, 26, 112–117. [Google Scholar] [CrossRef]
- Segura, O.; Burdorf, A.; Looman, C. Update of predictions of mortality from pleural mesothelioma in the Netherlands. Occup. Environ. Med. 2003, 60, 50–55. [Google Scholar] [CrossRef]
- López-Abente, G.; García-Gómez, M.; Menéndez-Navarro, A.; Fernández-Navarro, P.; Ramis, R.; García-Pérez, J.; Cervantes, M.; Ferreras, E.; Jiménez-Muñoz, M.; Pastor-Barriuso, R. Pleural cancer mortality in Spain: Time-trends and updating of predictions up to 2020. BMC Cancer 2013, 13, 528. [Google Scholar] [CrossRef]
- Price, B.; Ware, A. Time trend of mesothelioma incidence in the United States and projection of future cases: An update based on SEER data for 1973 through 2005. Crit. Rev. Toxicol. 2009, 39, 576–588. [Google Scholar] [CrossRef]
- Krupoves, A.; Camus, M.; De Guire, L. Incidence of malignant mesothelioma of the pleura in Québec and Canada from 1984 to 2007, and projections from 2008 to 2032. Am. J. Ind. Med. 2015, 58, 473–482. [Google Scholar] [CrossRef]
- Algranti, E.; Saito, C.A.; Carneiro, A.P.; Moreira, B.; Mendonça, E.M.; Bussacos, M.A. The next mesothelioma wave: Mortality trends and forecast to 2030 in Brazil. Cancer Epidemiol. 2015, 39, 687–692. [Google Scholar] [CrossRef]
- Myojin, T.; Azuma, K.; Okumura, J.; Uchiyama, I. Future trends of mesothelioma mortality in Japan based on a risk function. Ind. Health 2012, 50, 197–204. [Google Scholar] [CrossRef]
- Murayama, T.; Takahashi, K.; Natori, Y.; Kurumatani, N. Estimation of future mortality from pleural malignant mesothelioma in Japan based on an age-cohort model. Am. J. Ind. Med. 2006, 49, 1–7. [Google Scholar] [CrossRef] [PubMed]




| Age Group | Period | |||||||||
|---|---|---|---|---|---|---|---|---|---|---|
| 1970–1974 | 1975–1979 | 1980–1984 | 1985–1989 | 1990–1994 | 1995–1999 | 2000–2004 | 2005–2009 | 2010–2014 | Total | |
| Male | ||||||||||
| 25–29 | 6 | 5 | 5 | 2 | 3 | 1 | 2 | . | 2 | 26 |
| 0.07 | 0.05 | 0.05 | 0.02 | 0.03 | 0.01 | 0.02 | . | 0.02 | 0.03 | |
| 30–34 | 6 | 7 | 8 | 8 | 4 | 5 | 3 | 1 | . | 42 |
| 0.06 | 0.08 | 0.08 | 0.08 | 0.04 | 0.04 | 0.03 | 0.01 | . | 0.05 | |
| 35–39 | 13 | 13 | 13 | 19 | 16 | 12 | 12 | 4 | 5 | 107 |
| 0.14 | 0.14 | 0.14 | 0.20 | 0.17 | 0.12 | 0.10 | 0.03 | 0.04 | 0.12 | |
| 40–44 | 21 | 23 | 32 | 34 | 33 | 31 | 24 | 18 | 18 | 234 |
| 0.23 | 0.26 | 0.35 | 0.38 | 0.34 | 0.33 | 0.23 | 0.15 | 0.15 | 0.26 | |
| 45–49 | 46 | 49 | 58 | 68 | 77 | 58 | 77 | 50 | 38 | 521 |
| 0.52 | 0.55 | 0.66 | 0.75 | 0.88 | 0.61 | 0.83 | 0.48 | 0.32 | 0.61 | |
| 50–54 | 53 | 65 | 89 | 108 | 148 | 132 | 153 | 99 | 94 | 941 |
| 0.82 | 0.76 | 1.03 | 1.26 | 1.66 | 1.54 | 1.63 | 1.07 | 0.92 | 1.20 | |
| 55–59 | 106 | 96 | 148 | 166 | 187 | 260 | 256 | 256 | 185 | 1660 |
| 1.55 | 1.56 | 1.83 | 2.01 | 2.26 | 3.02 | 3.08 | 2.79 | 2.03 | 2.28 | |
| 60–64 | 155 | 136 | 159 | 241 | 282 | 303 | 441 | 466 | 423 | 2606 |
| 2.27 | 2.15 | 2.80 | 3.23 | 3.63 | 3.87 | 5.39 | 5.81 | 4.75 | 3.89 | |
| 65–69 | 159 | 190 | 225 | 248 | 324 | 380 | 541 | 691 | 715 | 3473 |
| 3.04 | 3.22 | 4.06 | 4.92 | 4.81 | 5.39 | 7.50 | 8.97 | 9.41 | 5.99 | |
| 70–74 | 133 | 167 | 255 | 250 | 306 | 445 | 556 | 734 | 895 | 3741 |
| 3.74 | 4.06 | 5.42 | 5.47 | 7.14 | 7.73 | 9.07 | 11.34 | 12.76 | 8.03 | |
| 75–79 | 100 | 115 | 188 | 271 | 316 | 348 | 554 | 655 | 915 | 3462 |
| 4.72 | 4.69 | 6.64 | 7.85 | 9.03 | 10.37 | 12.11 | 12.92 | 16.71 | 10.54 | |
| 80–84 | 43 | 59 | 93 | 133 | 243 | 273 | 358 | 471 | 670 | 2343 |
| 3.59 | 4.83 | 6.70 | 7.81 | 10.81 | 11.66 | 15.50 | 14.46 | 17.86 | 12.07 | |
| 85–89 | 15 | 29 | 41 | 57 | 77 | 151 | 186 | 218 | 315 | 1089 |
| 3.01 | 5.60 | 7.84 | 8.89 | 9.13 | 12.85 | 14.74 | 15.26 | 16.65 | 12.54 | |
| Total | 856 | 954 | 1314 | 1605 | 2016 | 2399 | 3163 | 3663 | 4275 | 20245 |
| 1.09 | 1.17 | 1.57 | 1.84 | 2.18 | 2.47 | 3.14 | 3.51 | 3.99 | ||
| Female | ||||||||||
| 25–29 | 3 | 3 | 5 | 2 | 3 | 2 | . | 2 | 1 | 21 |
| 0.03 | 0.03 | 0.05 | 0.02 | 0.03 | 0.02 | . | 0.02 | 0.01 | 0.02 | |
| 30–34 | 5 | 9 | 8 | 7 | 6 | 8 | 4 | . | . | 47 |
| 0.05 | 0.10 | 0.08 | 0.07 | 0.06 | 0.07 | 0.04 | . | . | 0.05 | |
| 35–39 | 9 | 7 | 12 | 10 | 8 | 6 | 10 | 2 | 3 | 67 |
| 0.10 | 0.07 | 0.13 | 0.10 | 0.08 | 0.06 | 0.09 | 0.02 | 0.03 | 0.07 | |
| 40–44 | 21 | 13 | 22 | 21 | 16 | 14 | 11 | 3 | 5 | 126 |
| 0.22 | 0.14 | 0.23 | 0.23 | 0.16 | 0.15 | 0.11 | 0.03 | 0.04 | 0.14 | |
| 45–49 | 26 | 27 | 24 | 27 | 28 | 34 | 29 | 30 | 17 | 242 |
| 0.28 | 0.29 | 0.26 | 0.29 | 0.31 | 0.35 | 0.30 | 0.29 | 0.14 | 0.28 | |
| 50–54 | 26 | 32 | 30 | 46 | 46 | 43 | 47 | 50 | 32 | 352 |
| 0.36 | 0.35 | 0.33 | 0.51 | 0.50 | 0.48 | 0.49 | 0.52 | 0.30 | 0.43 | |
| 55–59 | 51 | 41 | 51 | 48 | 68 | 64 | 99 | 68 | 66 | 556 |
| 0.68 | 0.58 | 0.57 | 0.54 | 0.77 | 0.70 | 1.13 | 0.71 | 0.68 | 0.71 | |
| 60–64 | 61 | 50 | 68 | 81 | 87 | 105 | 134 | 135 | 113 | 834 |
| 0.79 | 0.69 | 1.00 | 0.93 | 1.00 | 1.21 | 1.50 | 1.56 | 1.18 | 1.11 | |
| 65–69 | 80 | 76 | 79 | 105 | 115 | 126 | 189 | 197 | 193 | 1160 |
| 1.26 | 1.07 | 1.15 | 1.65 | 1.39 | 1.51 | 2.27 | 2.27 | 2.29 | 1.69 | |
| 70–74 | 87 | 102 | 120 | 120 | 142 | 168 | 195 | 241 | 286 | 1461 |
| 1.76 | 1.84 | 1.90 | 1.95 | 2.43 | 2.19 | 2.49 | 3.04 | 3.45 | 2.41 | |
| 75–79 | 67 | 78 | 124 | 152 | 165 | 163 | 255 | 273 | 358 | 1635 |
| 1.96 | 2.00 | 2.79 | 2.89 | 3.12 | 3.17 | 3.73 | 3.84 | 4.94 | 3.36 | |
| 80–84 | 44 | 53 | 80 | 120 | 160 | 155 | 195 | 263 | 315 | 1385 |
| 2.27 | 2.33 | 3.03 | 3.78 | 4.02 | 3.75 | 4.67 | 4.63 | 5.29 | 4.08 | |
| 85–89 | 20 | 26 | 53 | 55 | 82 | 114 | 118 | 128 | 180 | 776 |
| 2.30 | 2.56 | 4.49 | 3.77 | 4.33 | 4.50 | 4.37 | 4.43 | 4.53 | 4.19 | |
| Total | 500 | 517 | 676 | 794 | 926 | 1002 | 1286 | 1392 | 1569 | 8662 |
| 0.58 | 0.57 | 0.72 | 0.82 | 0.91 | 0.94 | 1.16 | 1.22 | 1.34 | ||
| Model | Men | Women | ||||||
|---|---|---|---|---|---|---|---|---|
| AIC | LR Statistic | p Value | DF | AIC | LR Statistic | p Value | DF | |
| Age–period–cohort | 834.132 | NA | NA | 77 | 783.076 | NA | NA | 77 |
| Period–cohort | 1613.485 | 801.353 | <0.001 | 88 | 925.738 | 164.661 | <0.001 | 88 |
| Age–cohort | 841.691 | 21.559 | <0.003 | 84 | 783.557 | 14.481 | 0.043 | 84 |
| Age–period | 1418.905 | 622.773 | <0.001 | 96 | 967.225 | 222.148 | <0.001 | 96 |
| Cohort | 21,078.599 | 20,282.467 | <0.001 | 96 | 7049.860 | 6211.774 | <0.001 | 96 |
| Period | 33,583.124 | 32,810.992 | <0.001 | 108 | 12,790.662 | 11,997.016 | <0.001 | 108 |
| Age | 3318.674 | 2538.542 | <0.001 | 104 | 1207.498 | 505.611 | <0.001 | 104 |
© 2020 by the authors. Licensee MDPI, Basel, Switzerland. This article is an open access article distributed under the terms and conditions of the Creative Commons Attribution (CC BY) license (http://creativecommons.org/licenses/by/4.0/).
Share and Cite
Oddone, E.; Bollon, J.; Nava, C.R.; Bugani, M.; Consonni, D.; Marinaccio, A.; Magnani, C.; Barone-Adesi, F. Predictions of Mortality from Pleural Mesothelioma in Italy After the Ban of Asbestos Use. Int. J. Environ. Res. Public Health 2020, 17, 607. https://doi.org/10.3390/ijerph17020607
Oddone E, Bollon J, Nava CR, Bugani M, Consonni D, Marinaccio A, Magnani C, Barone-Adesi F. Predictions of Mortality from Pleural Mesothelioma in Italy After the Ban of Asbestos Use. International Journal of Environmental Research and Public Health. 2020; 17(2):607. https://doi.org/10.3390/ijerph17020607
Chicago/Turabian StyleOddone, Enrico, Jordy Bollon, Consuelo Rubina Nava, Marcella Bugani, Dario Consonni, Alessandro Marinaccio, Corrado Magnani, and Francesco Barone-Adesi. 2020. "Predictions of Mortality from Pleural Mesothelioma in Italy After the Ban of Asbestos Use" International Journal of Environmental Research and Public Health 17, no. 2: 607. https://doi.org/10.3390/ijerph17020607
APA StyleOddone, E., Bollon, J., Nava, C. R., Bugani, M., Consonni, D., Marinaccio, A., Magnani, C., & Barone-Adesi, F. (2020). Predictions of Mortality from Pleural Mesothelioma in Italy After the Ban of Asbestos Use. International Journal of Environmental Research and Public Health, 17(2), 607. https://doi.org/10.3390/ijerph17020607

