Forest Roles in Particle Removal during Spring Dust Storms on Transport Path
Abstract
1. Introduction
2. Data and Methods
2.1. Air PM Concentrations and Meteorological Data
2.2. Determination of Leaf Area
2.3. Leaves Dust Adsorption Abilities
2.4. Leaf Microstructure Observation, Leaf Surface Particle Morphology, and Element Composition Analysis
3. Results
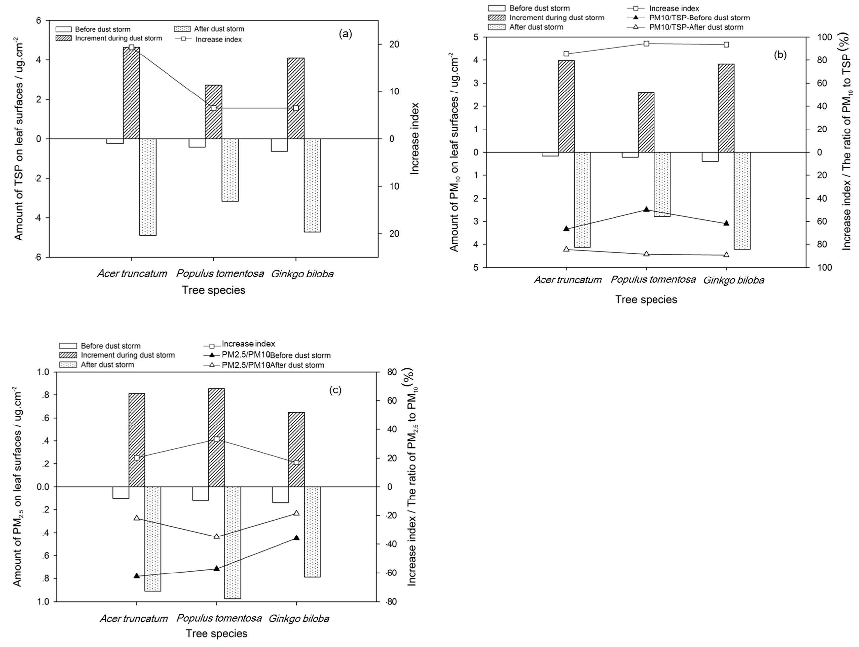
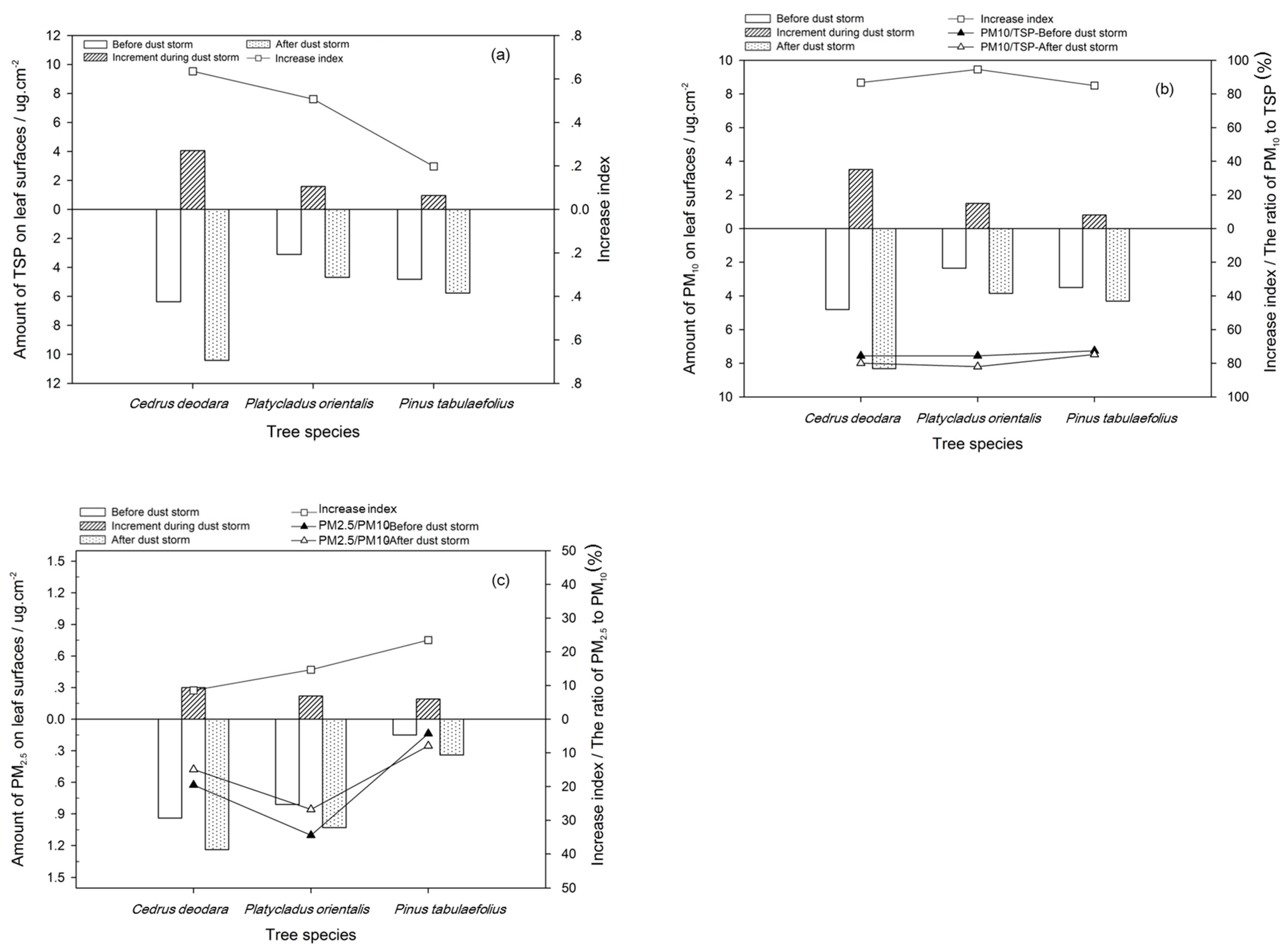
3.1. Dust Resistance Effect of Forests during Dust Storms
3.2. Dust Resistance Effect of Forests during Non-Dust Storms Periods
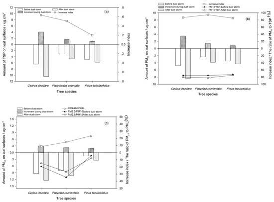
3.3. Forest Dust Capture Ability during Dust Storms
3.4. Effects of Leaf Microstructure on Dust Retention
3.5. Differences in Particle Morphology and Element Composition Before and After the Dust Storm
4. Discussion
4.1. Dust Resistance Role Played by Forests during Dust Storms
4.2. Effect of Tree Leaves on Dust Retention during a Dust Storm and Its Influencing Factors
5. Conclusions
Author Contributions
Funding
Conflicts of Interest
References
- Ginoux, P.; Prospero, J.; Torres, O.; Chin, M. Long-term simulation of global dust distribution with the GOCART model: Correlation with North Atlantic Oscillation. Environ. Model. Softw. 2004, 19, 113–128. [Google Scholar] [CrossRef]
- Rosenfeld, D.; Rudich, Y.; Lahav, R. Desert dust suppressing precipitation: A possible desertification feedback loop. Proc. Natl. Acad. Sci. USA 2001, 98, 5975–5980. [Google Scholar] [CrossRef] [PubMed]
- Uno, I.; Amano, H.; Emori, S.; Kinoshita, K.; Matsui, I.; Sugimoto, N. Trans-Pacific yellow sand transport observed in April 1998: A numerical simulation. J. Geophys. Res. Atmos. 2001, 106, 18331–18344. [Google Scholar] [CrossRef]
- Goudie, A.S. Desert dust and human health disorders. Environ. Int. 2014, 63, 101–113. [Google Scholar] [CrossRef] [PubMed]
- Merrill, J.; Arnold, E.; Leinen, M.; Weaver, C. Mineralogy of aeolian dust reaching the North Pacific Ocean 2. Relationship of mineral assemblages to atmospheric transport patterns. J. Geophys. Res. 1994, 99, 21025–21032. [Google Scholar] [CrossRef]
- Uno, I.; Eguchi, K.; Yumimoto, K.Y.; Takemura, T.; Shimizu, A.; Uematsu, M.; Liu, Z.Y.; Wang, Z.F.; Hara, Y.; Sugimoto, N. Asian dust transported one full circuit around the globe. Nat. Geosci. 2009, 2, 557–560. [Google Scholar] [CrossRef]
- Cottle, P.; Strawbridge, K.; McKendry, I.; Neill, N.; Saha, A. A pervasive and persistent Asian dust event over North America during spring 2010: Lidar and sunphotometer observations. Atmos. Chem. Phys. 2013, 13, 4515–4527. [Google Scholar] [CrossRef]
- Shao, Y.P.; Wyrwoll, K.H.; Chappell, A.; Huang, J.P.; Lin, Z.H.; Mctainsh, G.H.; Mikami, M.S.; Tanaka, T.Y.; Wang, X.L.; Yoon, S.C. Dust cycle: An emerging core theme in Earth system science. Aeolian Res. 2011, 2, 181–204. [Google Scholar] [CrossRef]
- Zhu, A.H.; Ramanathan, V.; Li, F.; Kim, D. Dust plumes over the Pacific, Indian, and Atlantic oceans: Climatology and radiative impact. J. Geophys. Res. 2007, 112, D16208. [Google Scholar] [CrossRef]
- Goudie, A.S. Dust storms: Recent developments. J. Environ. Manag. 2009, 90, 89–94. [Google Scholar] [CrossRef]
- Formenti, P.; Schütz, L.; Balkanski, Y.; Desboeufs, K.; Ebert, M.; Kandler, K.; Petzold, A.; Scheuvens, D.; Weinbruch, S.; Zhang, D. Recent progress in understanding physical and chemical properties of African and Asian mineral dust. Atmos. Chem. Phys. 2011, 11, 8231–8256. [Google Scholar] [CrossRef]
- Sullivan, R.C.; Moore, M.J.K.; Petters, M.D.; Kreidenweis, S.M.; Roberts, G.C.; Prather, K.A. Effect of chemical mixing state on the hygroscopicity and cloud nucleation properties of calcium mineral dust particles. Atmos. Chem. Phys. 2009, 9, 3303–3316. [Google Scholar] [CrossRef]
- Chang, R.Y.W.; Sullivan, R.C.; Abbatt, J.P.D. Initial uptake of ozone on Saharan dust at atmospheric relative humidities. Geophys. Res. Lett. 2005, 32, L14815. [Google Scholar] [CrossRef]
- Manktelow, P.T.; Carslaw, K.S.; Mann, G.W.; Spracklen, D.V. The impact of dust on sulfate aerosol, CN and CCN during an East Asian dust storm. Atmos. Chem. Phys. Discuss. 2009, 9, 1477–14823. [Google Scholar] [CrossRef]
- Zhang, X.X.; Sharratt, B.; Liu, L.Y.; Wang, Z.F.; Pan, X.L.; Lei, J.Q.; Wu, S.X.; Huang, S.Y.; Guo, Y.H.; Li, J.; et al. East Asian dust storm in May 2017: Observations, modelling, and its influence on the Asia-Pacific region. Atmos. Chem. Phys. 2018, 18, 8353–8371. [Google Scholar] [CrossRef]
- She, L.; Xue, Y.; Guang, J.; Che, Y.H.; Fan, C.; Li, Y.; Xie, Y.Q. Towards a comprehensive view of dust events from multiple satellite and ground measurements: Exemplified by the May 2017 East Asian dust storm. Nat. Hazards Earth Syst. Sci. 2018, 18, 3187–3201. [Google Scholar] [CrossRef]
- Freer-Smith, P.H.; El-Khatib, A.A.; Taylor, G. Capture of particulate pollution by trees: A comparison of species typical of semi-arid areas (Ficus nitida and Eucalyptus globulus) with European and North American species. Water Air Soil Pollut. 2004, 155, 173–187. [Google Scholar] [CrossRef]
- Dzierzanowski, K.; Popek, R.; Gawronska, H.; Saebo, A.; Gawronski, S.W. Deposition of particulate matter of different size fractions on leaf surfaces and in waxes of urban forest species. Int. J. Phytoremediat. 2011, 13, 1037–1046. [Google Scholar] [CrossRef]
- Beckett, K.P.; Freer-Smith, P.H.; Taylor, G. The capture of particulate pollution by trees at five contrasting urban sites. Arboric. J. 2012, 24, 209–230. [Google Scholar] [CrossRef]
- Nowak, D.J.; Hirabayashi, S.; Bodine, A.; Greenfield, E. Tree and forest effects on air quality and human health in the United States. Environ. Pollut. 2014, 193, 119–129. [Google Scholar] [CrossRef]
- Irga, P.J.; Burchett, M.D.; Torpy, F.R. Does urban forestry have a quantitative effect on ambient air quality in an urban environment? Atmos. Environ. 2015, 120, 173–181. [Google Scholar] [CrossRef]
- Mori, J.; Hanslinc, H.M.; Burchi, G.; Sæbø, A. Particulate matter and element accumulation on coniferous trees at different distances from a highway. Urban For. Urban Green. 2015, 14, 170–177. [Google Scholar] [CrossRef]
- Chen, B.; Li, S.; Yang, X.; Lu, S.; Wang, B.; Niu, X. Characteristics of atmospheric PM2.5 in stands and non-forest cover sites across urban-rural areas in Beijing, China. Urban Ecosyst. 2016, 19, 867–883. [Google Scholar] [CrossRef]
- Prusty, B.A.; Mishra, P.C.; Azeez, P.A. Dust accumulation and leaf pigment content in vegetation near the national highway at Sambalpur, Orissa, India. Ecotox. Environ. Saf. 2005, 60, 228–235. [Google Scholar] [CrossRef]
- Hwang, H.J.; Yook, S.J.; Ahn, K.H. Experimental investigation of submicron and ultrafine soot particle removal by tree leaves. Atmos. Environ. 2011, 45, 6987–6994. [Google Scholar] [CrossRef]
- Jin, S.; Guo, J.; Wheeler, S.; Kan, L.; Che, S. Evaluation of impacts of trees on PM2.5 dispersion in urban streets. Atmos. Environ. 2014, 99, 277–287. [Google Scholar] [CrossRef]
- Chen, J.; Chen, L.H.; Yu, X.X.; Chen, J.G.; Lou, Y.H. The concentrations and reduction of airborne particulate matter (PM10, PM2.5, PM1) at shelterbelt site in Beijing. Atmosphere 2015, 6, 650. [Google Scholar] [CrossRef]
- Sæbø, A.; Popek, R.; Nawrot, B.; Hanslin, H.M.; Gawronska, H.; Gawronski, S.W. Plant species differences in particulate matter accumulation on leaf surfaces. Sci. Total Environ. 2012, 427, 347–354. [Google Scholar] [CrossRef]
- Fang, Y.Y.; Wang, B.; Niu, X. Effects of surface roughness on leaf particulate matter capturing capability and rain wash-off characteristics. J. Soil Water Conserv. 2015, 29, 110–115. [Google Scholar]
- Wang, B.; Zhang, W.K.; Niu, X.; Wang, X.Y. Particulate Matter Adsorption Capacity of 10 Evergreen Species in Beijing. Environ. Sci. 2015, 36, 408–414. [Google Scholar]
- Joshi, P.C.; Swami, A. Physiological responses of some tree species under roadside automobile pollution stress around city of Haridwar, India. Environmentalist 2007, 27, 365–374. [Google Scholar] [CrossRef]
- Ehn, M.; Thornton, J.A.; Kleist, E.; Sipila, M.; Junninen, H.; Pullinen, I.; Springer, M.; Rubach, F.; Tillmann, R.; Lee, B.; et al. A large source of low-volatility secondary organic aerosol. Nature 2014, 506, 476. [Google Scholar] [CrossRef]
- Räsänen, J.V.; Holopainen, T.; Joutsensaari, J.; Pasanen, P.; Kivimäenpää, M. Particle capture efficiency of different-aged needles of Norway spruce under moderate and severe drought. Can. J. For. Res. 2014, 44, 831–835. [Google Scholar] [CrossRef]
- Wang, H.; Shi, H.; Li, Y.; Wang, Y. The effects of leaf roughness, surface free energy and work of adhesion on leaf water drop adhesion. PloS ONE 2014, 9, e107062. [Google Scholar] [CrossRef] [PubMed]
- Liu, X.H.; Yu, X.X.; Zhang, Z.M. PM2.5 concentration differences between various forest types and its correlation with forest structure. Atmosphere 2015, 6, 1801. [Google Scholar] [CrossRef]
- Jeanjean, A.P.R.; Monks, P.S.; Leigh, R.J. Modelling the effectiveness of urban trees and grass on PM 2.5 reduction via dispersion and deposition at a city scale. Atmos. Environ. 2016, 147, 1–10. [Google Scholar] [CrossRef]
- Hong, B.; Lin, B.; Qin, H. Numerical investigation on the effect of avenue trees on pm2.5 dispersion in urban street canyons. Atmosphere 2017, 8, 129. [Google Scholar] [CrossRef]
- Zhuang, W.; Wang, J.; Lei, Z.P. Source apportionment of fine particles during dust storm period in Beijing in 2017. Adv. Environ. Prot. 2018, 8, 192–198. [Google Scholar] [CrossRef]
- Chen, W.; Tang, H.; Zhao, H. Diurnal, weekly and monthly spatial variations of air pollutants and air quality of Beijing. Atmos. Environ. 2015, 119, 21–34. [Google Scholar] [CrossRef]
- Zhang, W.K.; Wang, B.; Niu, X. Study on the adsorption capacities for airborne particulates of landscape plants in different polluted regions in Beijing (China). Int. J. Environ. Res. Public Health 2015, 12, 9623. [Google Scholar] [CrossRef]
- Zhang, W.K.; Wang, B.; Niu, X. Relationship between leaf surface characteristics and particle capturing capacities of different tree species in Beijing. Forests 2017, 8, 92. [Google Scholar] [CrossRef]
- Wang, B.; Niu, X.; Jiang, Y.X.; Wang, X.S.; Wang, D.; Song, Q.F.; Lu, S.W.; Zhou, M.; Ding, F.J.; You, W.Z.; et al. Methodology for field long-term observation of forest ecosystem(GB/T33027-2016); Standard Press: Beijing, China, 2016. [Google Scholar]
- Wang, B.; Niu, X.; Jiang, Y.X.; Guo, Q.S.; Liu, S.R.; Yang, F.W.; Song, Q.F. Indicators System for Long-Term Observation of Forest Ecosystem (GB/T35377-2017); Standard Press: Beijing, China, 2017. [Google Scholar]
- Simon, V.; Luchetta, L.; Torres, L. Estimating the emission of volatile organic compounds (VOC) from the French forest ecosystem. Atmos. Environ. 2001, 35, S115–S126. [Google Scholar] [CrossRef]
- Yang, J.; Mcbride, J.; Zhou, J.X.; Sun, Z.Y. The urban forest in Beijing and its role in air pollution reduction. Urban For. Urban Green. 2005, 3, 65–78. [Google Scholar] [CrossRef]
- Huang, R.J.; Zhang, Y.; Bozzetti, C.; Ho, K.F.; Cao, J.J.; Han, Y.; Daellenbach, K.R.; Slowik, J.G.; Platt, S.M.; Canonaco, F.; et al. High secondary aerosol contribution to particulate pollution during haze events in China. Nature 2014, 514, 218–222. [Google Scholar] [CrossRef]
- Lee, A.K.Y. Haze formation in China: Importance of secondary aerosol. J. Environ. Sci. 2015, 33, 261–262. [Google Scholar] [CrossRef]
- Xie, S.D.; Tian, X.X. Formation mechanism of secondary organic aerosols from the reaction of volatile and semi-volatile compounds. Prog. Chem. 2010, 22, 727–733. [Google Scholar]
- Chen, W.T.; Shao, M.; Yuan, B.; Wang, M.; Lu, S.H. Parameterization of contribution to secondary organic aerosol (SOA) formation from ambient volatile organic compounds (VOCs). Acta Sci. Circum. 2013, 33, 163–172. [Google Scholar] [CrossRef]
- Chen, J.; Chen, L.H.; Yu, X.X.; Chen, J.G.; Lou, Y.H. Variation of monoterpenes emitted from Pinus tabulaeformis and Platycladus orientalis and estimation of the formation potential of secondary organic aerosol in summer. J. Soil Water Conserv. 2016, 30, 331–336, 344. [Google Scholar]
- Räsänen, J.V.; Holopainen, T.; Joutsensaari, J.; Ndam, C.; Pasanen, P.; Rinnan, Å.; Kivimäenpää, M. Effects of species-specific leaf characteristics and reduced water availability on fine particle capture efficiency of trees. Environ. Pollut. 2013, 183, 64–70. [Google Scholar] [CrossRef] [PubMed]
- Sun, Z.B.; An, X.Q.; Cui, M.M.; Tao, Y.; Ma, X.H.; Ye, C. The effect of PM2.5 and PM10 on cardiovascular and cerebrovascular diseases admission visitors in Beijing areas during dust weather, non-dust weather and haze pollution. China Environ. Sci. 2016, 36, 2536–2544. [Google Scholar]
- Zhang, X.; Du, J.; Huang, T.; Zhang, L.; Gao, H.; Zhao, Y.; Ma, J.M. Atmospheric removal of PM 2.5, by man-made three northern regions shelter forest in northern china estimated using satellite retrieved PM 2.5, concentration. Sci. Total Environ. 2017, 593, 713–721. [Google Scholar] [CrossRef] [PubMed]
- Zhang, W. Afforestation and grass planting strengthen the ecological barrier. Economic Daily, 21 September 2019; 005. [Google Scholar]















| Elements | Before Dust Storm | After Dust Storm | ||||||
|---|---|---|---|---|---|---|---|---|
| Particle 1 | Particle 2 | Particle 3 | Particle 4 | |||||
| Mass Percent | Atomic Percentage | Mass Percent | Atomic Percentage | Mass Percent | Atomic Percentage | Mass Percent | Atomic Percentage | |
| N | 0.73 | 0.78 | 0.96 | 1.1 | 1.85 | 2.38 | 1.92 | 2.5 |
| O | 25.55 | 24.09 | 19.88 | 19.93 | 44.12 | 49.53 | 25.46 | 28.94 |
| Mg | 0.32 | 0.2 | 0.21 | 0.14 | 0.27 | 0.2 | 1.3 | 0.98 |
| Al | 1.7 | 0.71 | 0.88 | 0.52 | 1.38 | 0.92 | 5.8 | 3.91 |
| Si | 20.71 | 11.13 | 32.38 | 18.48 | 34.52 | 22.07 | 11.61 | 7.52 |
| K | 0.48 | 0.19 | 0.26 | 0.11 | 0.42 | 0.19 | 2.49 | 1.16 |
| Ca | 0.32 | 0.12 | 0.42 | 0.17 | 0.34 | 0.15 | 0.9 | 0.41 |
| Fe | 0.81 | 0.22 | 0.49 | 0.14 | 0.88 | 0.28 | 18.42 | 6 |
© 2020 by the authors. Licensee MDPI, Basel, Switzerland. This article is an open access article distributed under the terms and conditions of the Creative Commons Attribution (CC BY) license (http://creativecommons.org/licenses/by/4.0/).
Share and Cite
Wei, W.; Wang, B.; Niu, X. Forest Roles in Particle Removal during Spring Dust Storms on Transport Path. Int. J. Environ. Res. Public Health 2020, 17, 478. https://doi.org/10.3390/ijerph17020478
Wei W, Wang B, Niu X. Forest Roles in Particle Removal during Spring Dust Storms on Transport Path. International Journal of Environmental Research and Public Health. 2020; 17(2):478. https://doi.org/10.3390/ijerph17020478
Chicago/Turabian StyleWei, Wenjun, Bing Wang, and Xiang Niu. 2020. "Forest Roles in Particle Removal during Spring Dust Storms on Transport Path" International Journal of Environmental Research and Public Health 17, no. 2: 478. https://doi.org/10.3390/ijerph17020478
APA StyleWei, W., Wang, B., & Niu, X. (2020). Forest Roles in Particle Removal during Spring Dust Storms on Transport Path. International Journal of Environmental Research and Public Health, 17(2), 478. https://doi.org/10.3390/ijerph17020478
