Risk of Renal Function Decline in Patients with Ketamine-Associated Uropathy
Abstract
1. Introduction
2. Materials and Methods
2.1. Study Design and Patient Population
2.2. Baseline Characteristics and Radiology Images
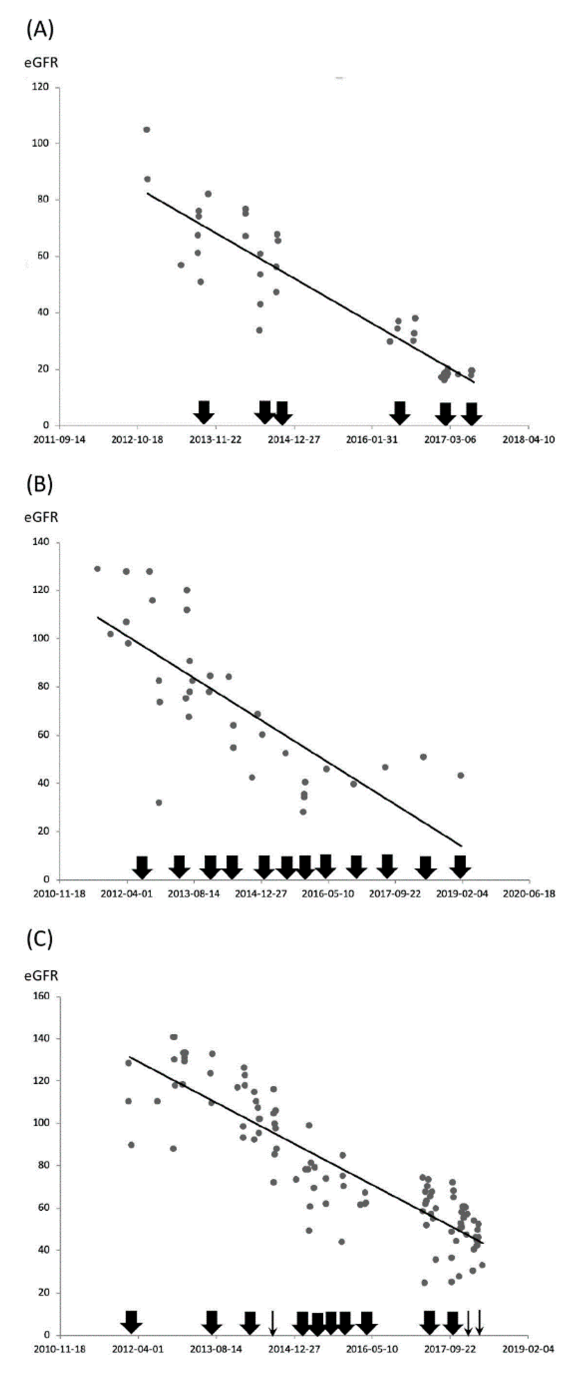
2.3. Clinical Outcomes
2.4. Statistical Analyses
3. Results
4. Discussion
5. Conclusions
Author Contributions
Funding
Acknowledgments
Conflicts of Interest
References
- Best, S.R. Combined ketamine/transcranial magnetic stimulation treatment of severe depression in bipolar I disorder. J. ECT 2014, 30, e50–e51. [Google Scholar] [CrossRef] [PubMed]
- Wan, L.B.; Levitch, C.F.; Perez, A.M.; Brallier, J.W.; Iosifescu, D.V.; Chang, L.C.; Foulkes, A.; Mathew, S.J.; Charney, D.S.; Murrough, J.W. Ketamine safety and tolerability in clinical trials for treatment-resistant depression. J. Clin. Psychiatry 2015, 76, 247–252. [Google Scholar] [CrossRef] [PubMed]
- Kalsi, S.S.; Wood, D.M.; Dargan, P.I. The epidemiology and patterns of acute and chronic toxicity associated with recreational ketamine use. Emerg. Health Threats J. 2011, 4, 7107. [Google Scholar] [CrossRef] [PubMed]
- Hsu, J.; Lin, J.J.; Tsay, W.I. Analysis of drug abuse data reported by medical institutions in Taiwan from 2002 to 2011. J. Food Drug Anal. 2014, 22, 169–177. [Google Scholar] [CrossRef]
- Lee, S.F.; Hsu, J.; Tsay, W.I. The trend of drug abuse in Taiwan during the years 1999 to 2011. J. Food Drug Anal. 2013, 21, 390–396. [Google Scholar] [CrossRef]
- Sleigh, J.; Harvey, M.; Voss, L.; Denny, B. Ketamine—More mechanisms of action than just NMDA blockade. Trends Anaesth. Crit. Care 2014, 4, 76–81. [Google Scholar] [CrossRef]
- Powers III, A.R.; Gancsos, M.G.; Finn, E.S.; Morgan, P.T.; Corlett, P.R. Ketamine-induced hallucinations. Psychopathology 2015, 48, 376–385. [Google Scholar] [CrossRef]
- Dinis-Oliveira, R.J. Metabolism and metabolomics of ketamine: A toxicological approach. Forensic Sci. Res. 2017, 2, 2–10. [Google Scholar] [CrossRef]
- Adamowicz, P.; Kala, M. Urinary excretion rates of ketamine and norketamine following therapeutic ketamine administration: Method and detection window considerations. J. Anal. Toxicol. 2005, 29, 376–382. [Google Scholar] [CrossRef]
- Hong, Y.L.; Yee, C.H.; Tam, Y.H.; Wong, J.H.M.; Lai, P.T.; Ng, C.F. Management of complications of ketamine abuse: 10 years’ experience in Hong Kong. Hong Kong Med. J. 2018, 24, 175–181. [Google Scholar] [CrossRef]
- Chu, P.S.; Ma, W.K.; Wong, S.C.; Chu, R.W.; Cheng, C.H.; Wong, S.; Tse, J.M.; Lau, F.L.; Yiu, M.K.; Man, C.W. The destruction of the lower urinary tract by ketamine abuse: A new syndrome? BJU Int. 2008, 102, 1616–1622. [Google Scholar] [CrossRef] [PubMed]
- Shahani, R.; Streutker, C.; Dickson, B.; Stewart, R.J. Ketamine-associated ulcerative cystitis: A new clinical entity. Urology 2007, 69, 810–812. [Google Scholar] [CrossRef] [PubMed]
- Huang, L.K.; Wang, J.H.; Shen, S.H.; Lin, A.T.L.; Chang, C.Y. Evaluation of the extent of ketamine-induced uropathy: The role of CT urography. Postgrad. Med. J. 2014, 90, 185–190. [Google Scholar] [CrossRef] [PubMed][Green Version]
- Kanda, E.; Usui, T.; Kashihara, N.; Iseki, C.; Iseki, K.; Nangaku, M. Importance of glomerular filtration rate change as surrogate endpoint for the future incidence of end-stage renal disease in general Japanese population: Community-based cohort study. Clin. Exp. Nephrol. 2018, 22, 318–327. [Google Scholar] [CrossRef]
- Levey, A.S.; Gansevoort, R.T.; Coresh, J.; Inker, L.A.; Heerspink, H.L.; Grams, M.E.; Greene, T.; Tighiouart, H.; Matsushita, K.; Ballew, S.H.; et al. Change in albuminuria and GFR as end points for clinical trials in early stages of CKD: A scientific workshop sponsored by the National Kidney Foundation in collaboration with the US Food and Drug Administration and European Medicines Agency. Am. J. Kidney Dis. 2020, 75, 84–104. [Google Scholar] [CrossRef] [PubMed]
- Lai, Y.; Wu, S.; Ni, L.; Chen, Z.; Li, X.; Yang, S.; Gui, Y.; Guan, Z.; Cai, Z.; Ye, J. Ketamine-associated urinary tract dysfunction: An underrecognized clinical entity. Urol. Int. 2012, 89, 93–96. [Google Scholar] [CrossRef] [PubMed]
- Tsai, T.H.; Cha, T.L.; Lin, C.M.; Tsao, C.W.; Tang, S.H.; Chuang, F.P.; Wu, S.T.; Sun, G.H.; Yu, D.S.; Chang, S.Y. Ketamine-associated bladder dysfunction. Int. J. Urol. 2009, 16, 826–829. [Google Scholar] [CrossRef]
- Jhang, J.F.; Hsu, Y.H.; Kuo, H.C. Possible pathophysiology of ketamine-related cystitis and associated treatment strategies. Int. J. Urol. 2015, 22, 816–825. [Google Scholar] [CrossRef]
- Wei, Y.B.; Yang, J.R.; Yin, Z.; Guo, Q.; Liang, B.L.; Zhou, K.Q. Genitourinary toxicity of ketamine. Hong Kong Med. J. 2013, 1919, 341–348. [Google Scholar] [CrossRef]
- Jiang, Y.H.; Liu, H.T.; Kuo, H.C. Decrease of urinary nerve growth factor but not brain-derived neurotrophic factor in patients with interstitial cystitis/bladder pain syndrome treated with hyaluronic acid. PLoS ONE 2014, 9, e91609. [Google Scholar] [CrossRef]
- Jhang, J.F.; Hsu, Y.H.; Jiang, Y.H.; Kuo, H.C. Elevated serum IgE may be associated with development of ketamine cystitis. J. Urol. 2014, 192, 1249–1256. [Google Scholar] [CrossRef] [PubMed]
- Yee, C.H.; Teoh, J.Y.; Lai, P.T.; Leung, V.Y.; Chu, W.C.; Lee, W.M.; Tam, Y.H.; Ng, C.F. The risk of upper urinary tract involvement in patients with ketamine-associated uropathy. Int. Neurourol. J. 2017, 21, 128–132. [Google Scholar] [CrossRef] [PubMed]
- Hopcroft, S.A.; Cottrell, A.M.; Mason, K.; Abrams, P.; Oxley, J.D. Ureteric intestinal metaplasia in association with chronic recreational ketamine abuse. J. Clin. Pathol. 2011, 64, 551–552. [Google Scholar] [CrossRef]
- Chang, T.; Lin, C.C.; Lin, A.T.; Fan, Y.H.; Chen, K.K. Ketamine-induced uropathy: A new clinical entity causing lower urinary tract symptoms. Low Urin. Tract Symptoms 2012, 4, 19–24. [Google Scholar] [CrossRef] [PubMed]
- Jankovic, S.M.; Jankovic, S.V.; Stojadinovic, D.; Jakovljevic, M.; Milovanovic, D. Effect of exogenous glutamate and N-Methyl-D-aspartic acid on spontaneous activity of isolated human ureter. Int. J. Urol. 2007, 14, 833–837. [Google Scholar] [CrossRef]
- Middela, S.; Pearce, I. Ketamine-induced vesicopathy: A literature review. Int J. Clin. Pract. 2011, 65, 27–30. [Google Scholar] [CrossRef] [PubMed]
- Yee, C.H.; Lai, P.T.; Lee, W.M.; Tam, Y.H.; Ng, C.F. Clinical outcome of a prospective case series of patients with ketamine cystitis who underwent standardized treatment protocol. Urology 2015, 86, 236–243. [Google Scholar] [CrossRef]
- Wong, S.W.; Lee, K.F.; Wong, J.; Ng, W.W.; Cheung, Y.S.; Lai, P.B. Dilated common bile ducts mimicking choledochal cysts in ketamine abusers. Hong Kong Med. J. 2009, 15, 53–56. [Google Scholar]
- Wong, G.L.; Tam, Y.H.; Ng, C.F.; Chan, A.W.; Choi, P.C.; Chu, W.C.; Lai, P.B.; Chan, H.L.; Wong, V.W. Liver injury is common among chronic abusers of ketamine. Clin. Gastroenterol. Hepatol. 2014, 12, 1759–1762.e1. [Google Scholar] [CrossRef]
- Lo, R.S.; Krishnamoorthy, R.; Freeman, J.G.; Austin, A.S. Cholestasis and biliary dilatation associated with chronic ketamine abuse: A case series. Singapore Med. J. 2011, 52, e52–e55. [Google Scholar]



| Parameter | All (n = 51) | Hydronephrosis (n = 22) | Cystitis (n = 29) | p-Value |
|---|---|---|---|---|
| Sex (male/female) | 14/37 | 5/17 | 9/20 | 0.510 |
| Age (years) | 35.3 ± 5.1 | 34.6 ± 4.1 | 35.9 ± 5.8 | 0.365 |
| Body height (cm) | 162.2 ± 6.8 | 161.3 ± 7.6 | 163 ± 6.2 | 0.380 |
| Body weight (kg) | 52.9 ± 13.3 | 50.1 ± 13 | 55.1 ± 13.3 | 0.192 |
| Body mass index (kg/m2) | 19.9 ± 3.9 | 19.1 ± 3.6 | 20.6 ± 4.6 | 0.182 |
| Systolic blood pressure (mmHg) | 130.9 ± 25.9 | 135 ± 30.5 | 127.8 ± 21.9 | 0.329 |
| Diastolic blood pressure (mmHg) | 84.6 ± 17.9 | 88.8 ± 19.4 | 80.5 ± 17.9 | 0.101 |
| Comorbidity | ||||
| Hypertension * | 3 (6) | 3 (14) | 0 | 0.040 |
| Type 2 DM | 2 (4) | 1 (5) | 1 (3) | 0.842 |
| Renal function | ||||
| Initial BUN * (mg/dL) | 18.8 ± 23 | 25.3 ± 29.4 | 10.7 ± 4.1 | 0.036 |
| Initial creatinine * (mg/dL) | 1.2 ± 1 | 1.6 ± 1.4 | 0.9 ± 0.4 | 0.041 |
| Initial eGFR ** (mL/min) | 83.5 ± 30 | 69.8 ± 34.5 | 93.9 ± 21.2 | 0.007 |
| Final BUN ** (mg/dL) | 32 ± 45.1 | 48.1 ± 55 | 11 ± 5.6 | 0.005 |
| Final creatinine ** (mg/dL) | 1.9 ± 2.6 | 3.2 ± 3.6 | 0.9 ± 0.3 | 0.007 |
| Final eGFR ** (mL/min) | 74.9 ± 38 | 48.5 ± 38.3 | 95 ± 22.5 | <0.001 |
| Renal outcome ** | 13 (25) | 11 (50) | 2 (7) | <0.001 |
| ESRD | 2 (4) | 2 (9) | 0 | |
| eGFR decline >30% | 11 (22) | 9 (41) | 2 (7) | |
| Follow-up duration (months) | 36.7 ± 33 | 36.6 ± 32.2 | 36.7 ± 34.1 | 0.985 |
| Liver function | ||||
| GOT (U/L) | 133.6 ± 142.4 | 155.3 ± 137.2 | 117.2 ± 146.6 | 0.359 |
| GPT (U/L) | 172.8 ± 130 | 187.4 ± 98.7 | 162.2 ± 149.5 | 0.504 |
| ALP ** (U/L) | 499.1 ± 696.3 | 961.2 ± 870.6 | 152.5 ± 98.7 | <0.001 |
| GGT ** (U/L) | 873.3 ± 802.3 | 1280 ± 890.3 | 443.9 ± 379 | 0.001 |
| Total bilirubin (mg/dL) | 1.2 ± 1.5 | 1.5 ± 1.6 | 1 ± 1.4 | 0.208 |
| Parameter | Initial eGFR | Worse eGFR | Final eGFR | |||
|---|---|---|---|---|---|---|
| ar | p | ar | p | ar | p | |
| GOT | −0.006 | 0.968 | −0.275 | 0.055 | −0.318 | 0.026 |
| GPT | −0.039 | 0.785 | −0.214 | 0.135 | −0.220 | 0.125 |
| ALP | −0.312 | 0.029 | −0.698 | <0.001 | −0.580 | <0.001 |
| GGT | −0.414 | 0.011 | −0.668 | <0.001 | −0.540 | 0.001 |
| Parameter | Hazard Ratio | 95% CI | p-Value |
|---|---|---|---|
| Hydronephrosis * | 5.325 | 1.128–25.137 | 0.035 |
| Age | 0.923 | 0.790−1.077 | 0.309 |
| Sex | 1.469 | 0.290−7.431 | 0.642 |
| BMI | 0.821 | 0.635−1.061 | 0.132 |
| Initial creatinine | 0.950 | 0.581−1.553 | 0.838 |
© 2020 by the authors. Licensee MDPI, Basel, Switzerland. This article is an open access article distributed under the terms and conditions of the Creative Commons Attribution (CC BY) license (http://creativecommons.org/licenses/by/4.0/).
Share and Cite
Ou, S.-H.; Wu, L.-Y.; Chen, H.-Y.; Huang, C.-W.; Hsu, C.-Y.; Chen, C.-L.; Chou, K.-J.; Fang, H.-C.; Lee, P.-T. Risk of Renal Function Decline in Patients with Ketamine-Associated Uropathy. Int. J. Environ. Res. Public Health 2020, 17, 7260. https://doi.org/10.3390/ijerph17197260
Ou S-H, Wu L-Y, Chen H-Y, Huang C-W, Hsu C-Y, Chen C-L, Chou K-J, Fang H-C, Lee P-T. Risk of Renal Function Decline in Patients with Ketamine-Associated Uropathy. International Journal of Environmental Research and Public Health. 2020; 17(19):7260. https://doi.org/10.3390/ijerph17197260
Chicago/Turabian StyleOu, Shih-Hsiang, Ling-Ying Wu, Hsin-Yu Chen, Chien-Wei Huang, Chih-Yang Hsu, Chien-Liang Chen, Kang-Ju Chou, Hua-Chang Fang, and Po-Tsang Lee. 2020. "Risk of Renal Function Decline in Patients with Ketamine-Associated Uropathy" International Journal of Environmental Research and Public Health 17, no. 19: 7260. https://doi.org/10.3390/ijerph17197260
APA StyleOu, S.-H., Wu, L.-Y., Chen, H.-Y., Huang, C.-W., Hsu, C.-Y., Chen, C.-L., Chou, K.-J., Fang, H.-C., & Lee, P.-T. (2020). Risk of Renal Function Decline in Patients with Ketamine-Associated Uropathy. International Journal of Environmental Research and Public Health, 17(19), 7260. https://doi.org/10.3390/ijerph17197260

