An Overview of the World Current and Future Assessment of Novel COVID-19 Trajectory, Impact, and Potential Preventive Strategies at Healthcare Settings
Abstract
1. Introduction
2. Materials and Methods
3. Results and Discussion
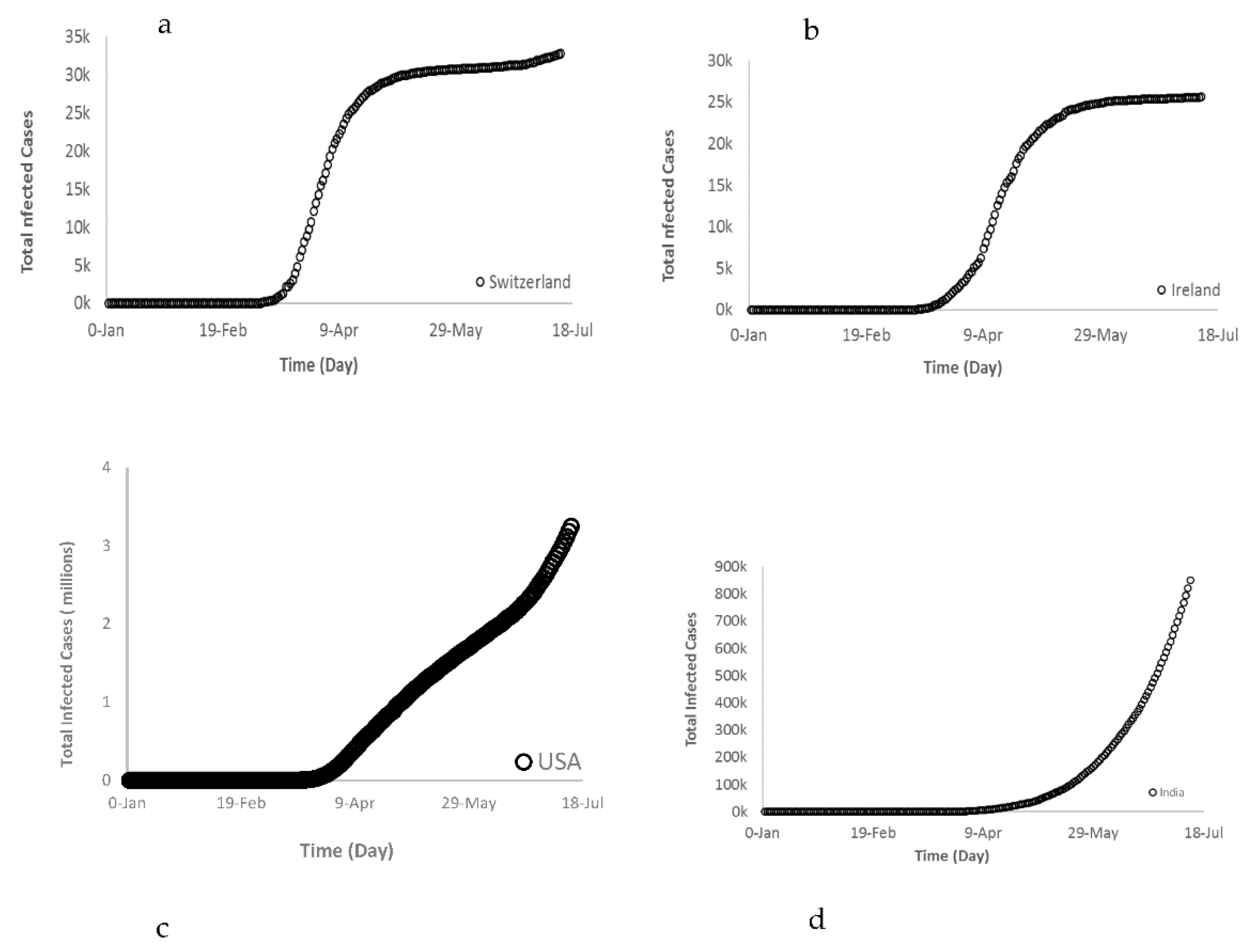
3.1. Actual Data of New Cases
3.2. Reported Deaths
3.2.1. Total Deaths
3.2.2. Death Percentage
3.2.3. Novel COVID-19 Death Percentages Comparison
3.3. COVID-19 Future Regression-Based Trajectory
3.4. COVID-19 Future SIR-Based Trajectory
3.5. Local COVID-19 Study
4. Potential Prevention/Containment Strategies
4.1. Development of Biodegradable Antiviral Masks
4.2. Antiviral Nano-Coatings of Surfaces
5. Conclusions and Recommendations
Author Contributions
Funding
Conflicts of Interest
References
- Zappa, A.; Amendola, A.; Romanò, L.; Zanetti, A. Emerging and re-emerging viruses in the era of globalization. Blood Transfus. 2009, 7, 167–171. [Google Scholar] [PubMed]
- Visualizing the History of Pandemics, Visual Capitalist. Available online: https://www.visualcapitalist.com/history-of-pandemics-deadliest/ (accessed on 30 March 2020).
- Edwards, P.; Hannover, R.E. Epidemics: Past, Present and Future—What are the Risks? 2017. Available online: https://www.hannover-rueck.de/1085858/recent-medical-news-epidemics-2017.pdf (accessed on 30 March 2020).
- Rappuoli, R. From Pasteur to genomics: Progress and challenges in infectious diseases. Nat. Med. 2004, 10, 1177–1185. [Google Scholar] [CrossRef] [PubMed]
- Benfield, E.; Treat, J. As Ebola Death Toll Rises, Remembering History’s Worst Epidemics. National Geographic. Available online: https://www.nationalgeographic.com/news/2014/10/141025-ebola-epidemic-perspective-history-pandemic/ (accessed on 30 March 2020).
- COVID-19. Coronavirus Outbreak. World Meters. 2020. Available online: https://www.worldometers.info/coronavirus/#countries (accessed on 7 March 2020).
- Kiran, T.N.R.; Latha, A.V.S.M.; Sureshkumar, J.N.; Reddy, E.S. Novel Coronavirus. Res. J. Pharmacol. Pharmacodyn. 2020, 12, 64. [Google Scholar] [CrossRef]
- Madigan, M.T.; Martino, J.M.; Bender, K.S.; Buckley, D.H. Brock Biology of Microorganisms-Microbiology, 14th ed.; David, A., Ed.; Pearson: London, UK, 2006. [Google Scholar]
- Fehr, A.R.; Perlman, S. Coronaviruses: An Overview of Their Replication and Pathogenesis. Methods Mol. Biol. 2015, 1282, 1–23. [Google Scholar]
- Li, F. Structure, Function, and Evolution of Coronavirus Spike Proteins. Annu. Rev. Virol. 2016, 3, 237–261. [Google Scholar] [CrossRef] [PubMed]
- Nicholls, J.M.; Poon, L.L.M.; Lee, K.C.; Ng, W.F.; Lai, S.T.; Leung, C.Y.; Chu, C.; Hui, P.K.; Mak, K.L.; Lim, W.; et al. Lung pathology of fatal severe acute respiratory syndrome. Lancet 2003, 361, 1773–1778. [Google Scholar] [CrossRef]
- Woo, P.C.Y.; Lau, S.K.P.; Chu, C.; Chan, K.-H.; Tsoi, H.-W.; Huang, Y.; Wong, B.H.L.; Poon, R.W.S.; Cai, J.J.; Luk, W.-K.; et al. Characterization and Complete Genome Sequence of a Novel Coronavirus, Coronavirus HKU1, from Patients with Pneumonia. J. Virol. 2005, 79, 884–895. [Google Scholar] [CrossRef]
- Parry, J. WHO investigates China’s fall in SARS cases. BMJ Br. Med. J. 2003, 326, 1285. [Google Scholar] [CrossRef][Green Version]
- Zaki, A.M.; Van Boheemen, S.; Bestebroer, T.; Osterhaus, A.D.M.E.; Fouchier, R.A.M. Isolation of a Novel Coronavirus from a Man with Pneumonia in Saudi Arabia. N. Engl. J. Med. 2012, 367, 1814–1820. [Google Scholar] [CrossRef]
- Cascella, M.; Rajnik, M.; Cuomo, A.; Dulebohn, S.C.; Napoli, R.D. Features, Evaluation and Treatment Coronavirus (COVID-19); StatPearls Publishing: Treasure Island, FL, USA, 2020. [Google Scholar]
- Zhang, N.; Li, Y. Transmission of Influenza A in a Student Office Based on Realistic Person-to-Person Contact and Surface Touch Behaviour. Int. J. Environ. Res. Public Health 2018, 15, 1699. [Google Scholar] [CrossRef]
- Corona Virus Diseases 2019 (COVID 19) Situation Report 60. Available online: https://www.who.int/docs/default-source/coronaviruse/situation-reports/20200320-sitrep-60-covid-19.pdf?sfvrsn=d2bb4f1f_2 (accessed on 20 March 2020).
- Huang, C.; Wang, Y.; Li, X.; Ren, L.; Zhao, J.; Hu, Y.; Zhang, L.; Fan, G.; Xu, J.; Gu, X. Clinical features of patients infected with 2019 novel coronavirus in Wuhan, China. Lancet 2020, 395, 497–506. [Google Scholar] [CrossRef]
- Li, Q.; Guan, X.; Wu, P.; Wang, X.; Zhou, L.; Tong, Y.; Ren, R.; Leung, K.S.M.; Lau, E.H.Y.; Wong, J.Y. Early transmission dynamics in Wuhan, China, of novel corona virus infected pneumonia. N. Engl. J. Med. 2020, 382, 1199–1207. [Google Scholar] [CrossRef]
- Holshue, M.L.; DeBolt, C.; Lindquist, S.; Lofy, K.H.; Wiesman, J.; Bruce, H.; Spitters, C.; Ericson, K.; Wilkerson, S.; Tural, A.; et al. First Case of 2019 Novel Coronavirus in the United States. N. Engl. J. Med. 2020, 382, 929–936. [Google Scholar] [CrossRef]
- Rothe, C.; Schunk, M.; Sothmann, P.; Bretzel, G.; Froeschl, G.; Wallrauch, C.; Zimmer, T.; Thiel, V.; Janke, C.; Guggemos, W.; et al. Transmission of 2019-nCoV Infection from an Asymptomatic Contact in Germany. N. Engl. J. Med. 2020, 382, 970–971. [Google Scholar] [CrossRef]
- Zhao, S.; Lin, Q.; Ran, J.; Musa, S.S.; Yang, G.; Wang, W.; Lou, Y.; Gao, D.; Yang, L.; He, D.; et al. Preliminary estimation of the basic reproduction number of novelcoronavirus (2019-nCoV) in China, from 2019 to 2020: A data-driven analysis in the early phase of the outbreak. Int. J. Infect. Dis. 2020, 92, 214–217. [Google Scholar] [CrossRef]
- Iwata, K.; Miyakoshi, C. A Simulation on Potential Secondary Spread of Novel Coronavirus in an Exported Country Using a Stochastic Epidemic SEIR Model. J. Clin. Med. 2020, 9, 944. [Google Scholar] [CrossRef]
- Kuniya, T. Prediction of the Epidemic Peak of Coronavirus Disease in Japan, 2020. J. Clin. Med. 2020, 9, 789. [Google Scholar] [CrossRef]
- Al-Qaness, M.A.; Ewees, A.A.; Fan, H.; Elaziz, M.A. Optimization Method for Forecasting Confirmed Cases of COVID-19 in China. J. Clin. Med. 2020, 9, 674. [Google Scholar] [CrossRef]
- Roosa, K.; Lee, Y.; Luo, R.; Kirpich, A.; Rothenberg, R.; Hyman, J.M.; Yan, P.; Chowell, G. Short-term Forecasts of the COVID-19 Epidemic in Guangdong and Zhejiang, China: February 13–23, 2020. J. Clin. Med. 2020, 9, 596. [Google Scholar] [CrossRef]
- Jung, S.-M.; Akhmetzhanov, A.R.; Hayashi, K.; Linton, N.M.; Yang, Y.; Yuan, B.; Kobayashi, T.; Kinoshita, R.; Nishiura, H. Real-Time Estimation of the Risk of Death from Novel Coronavirus (COVID-19) Infection: Inference Using Exported Cases. J. Clin. Med. 2020, 9, 523. [Google Scholar] [CrossRef]
- Hethcote, H.W. The Mathematics of Infectious Diseases. SIAM Rev. 2000, 42, 599–653. [Google Scholar] [CrossRef]
- Batista, M. fitVirusXX. MATLAB Central File Exchange. Available online: https://www.mathworks.com/matlabcentral/fileexchange/76956-fitvirusxx (accessed on 24 September 2020).
- Batista, M. Estimation of the Final Size of the Coronavirus Epidemic by the SIR Model. Available online: https://www.researchgate.net/publication/339311383 (accessed on 20 February 2020).
- Current World Population, World Meters. Available online: https://www.worldometers.info/world-population/ (accessed on 25 March 2020).
- Chan, J.F.-W.; Yuan, S.; Kok, K.-H.; To, K.K.-W.; Chu, H.; Yang, J.; Xing, F.; Liu, J.; Yip, C.C.-Y.; Poon, R.W.-S.; et al. A familial cluster of pneumonia associated with the 2019 novel coronavirus indicating person-to-person transmission: A study of a family cluster. Lancet 2020, 395, 514–523. [Google Scholar] [CrossRef]
- Chang, D.; Xu, H.; Rebaza, A.; Sharma, L.; Cruz, C.S.D. Protecting health-care workers from subclinical coronavirus infection. Lancet Respir. Med. 2020, 8, e13. [Google Scholar] [CrossRef]
- Van Doremalen, N.; Bushmaker, T.; Morris, D.H.; Holbrook, M.G.; Gamble, A.; Williamson, B.N.; Tamin, A.; Harcourt, J.L.; Thornburg, N.J.; Gerber, S.I.; et al. Aerosol and Surface Stability of SARS-CoV-2 as Compared with SARS-CoV-1. N. Engl. J. Med. 2020, 382, 1564–1567. [Google Scholar] [CrossRef]
- Tuladhar, E.; Hazeleger, W.C.; Koopmans, M.; Zwietering, M.H.; Beumer, R.R.; Duizer, E. Residual Viral and Bacterial Contamination of Surfaces after Cleaning and Disinfection. Appl. Environ. Microbiol. 2012, 78, 7769–7775. [Google Scholar] [CrossRef]
























| What | When | Where | Deaths |
|---|---|---|---|
| Black Death | 1347–1351 | Europe | 50,000,000 |
| HIV | 1980 | Global | 39,000,000 |
| Spanish Flu | 1918–1920 | Global | 20,000,000 |
| Asian Flu | 1957–1961 | Global | 2,000,000 |
| Seventh cholera pandemic | 1961 | Global | 570,000 |
| Swine Flu | 2009 | Global | 284,000 |
| Ebola | 2014 | West Africa | 4877 |
| Measles | 2011 | Congo | 4555 |
| SARS | 2002–2003 | Global | 774 |
| Group A: Controlled | Croup B: Uncontrolled | ||||
|---|---|---|---|---|---|
| Country | Total Infected | Total Deaths | Country | Total Infected | Total Deaths |
| China | 85,071 | 4641 | USA | 3,247,684 | 134,814 |
| Switzerland | 32,713 | 1685 | Brazil | 1,839,850 | 71,469 |
| Ireland | 25,611 | 1746 | India | 849,553 | 22,674 |
| Coefficient | M | k | n | r2 | |
|---|---|---|---|---|---|
| Country | |||||
| Switzerland | 31,962.5 | 5.0 × 10−9 | 4.1 | 0.99 | |
| Ireland | 26,000 | 3.7 × 10−9 | 4.1 | 0.97 | |
| Country | F | R | r2 |
|---|---|---|---|
| Brazil | 316 | 29 | 0.99 |
| India | 247 | 26 | 0.997 |
| USA | 1300 | 78 | 0.97 |
| Group | Country | Expected Number Of Cases | Expected 97% End of Pandemic | Expected 99% End of Pandemic |
|---|---|---|---|---|
| A | China | 84,294 | 21-March-20 | 9-April-20 |
| Switzerland | 31,376 | 11-May-20 | 25-May-20 | |
| Ireland | 25,486 | 25-May-20 | 7-June-20 | |
| B | USA | 4,007,934 | 6-August-20 | 18-August-20 |
| Brazil | 2,339,875 | 3-August-20 | 14-August-20 | |
| India | 1,305,506 | 10-August-20 | 22-August-20 |
© 2020 by the authors. Licensee MDPI, Basel, Switzerland. This article is an open access article distributed under the terms and conditions of the Creative Commons Attribution (CC BY) license (http://creativecommons.org/licenses/by/4.0/).
Share and Cite
Al-Anzi, B.S.; Alenizi, M.; Al Dallal, J.; Abookleesh, F.L.; Ullah, A. An Overview of the World Current and Future Assessment of Novel COVID-19 Trajectory, Impact, and Potential Preventive Strategies at Healthcare Settings. Int. J. Environ. Res. Public Health 2020, 17, 7016. https://doi.org/10.3390/ijerph17197016
Al-Anzi BS, Alenizi M, Al Dallal J, Abookleesh FL, Ullah A. An Overview of the World Current and Future Assessment of Novel COVID-19 Trajectory, Impact, and Potential Preventive Strategies at Healthcare Settings. International Journal of Environmental Research and Public Health. 2020; 17(19):7016. https://doi.org/10.3390/ijerph17197016
Chicago/Turabian StyleAl-Anzi, Bader S., Mohammad Alenizi, Jehad Al Dallal, Frage Lhadi Abookleesh, and Aman Ullah. 2020. "An Overview of the World Current and Future Assessment of Novel COVID-19 Trajectory, Impact, and Potential Preventive Strategies at Healthcare Settings" International Journal of Environmental Research and Public Health 17, no. 19: 7016. https://doi.org/10.3390/ijerph17197016
APA StyleAl-Anzi, B. S., Alenizi, M., Al Dallal, J., Abookleesh, F. L., & Ullah, A. (2020). An Overview of the World Current and Future Assessment of Novel COVID-19 Trajectory, Impact, and Potential Preventive Strategies at Healthcare Settings. International Journal of Environmental Research and Public Health, 17(19), 7016. https://doi.org/10.3390/ijerph17197016

