Does Focus Improve Performance in Elective Surgery? A Study of Obesity Surgery in Sweden
Abstract
1. Introduction
2. Theory
2.1. Hospital Focus
2.2. Department Focus
3. Methods
3.1. Data and Sample
3.2. Variables
3.3. Analyses
4. Results
4.1. Descriptive Statistics
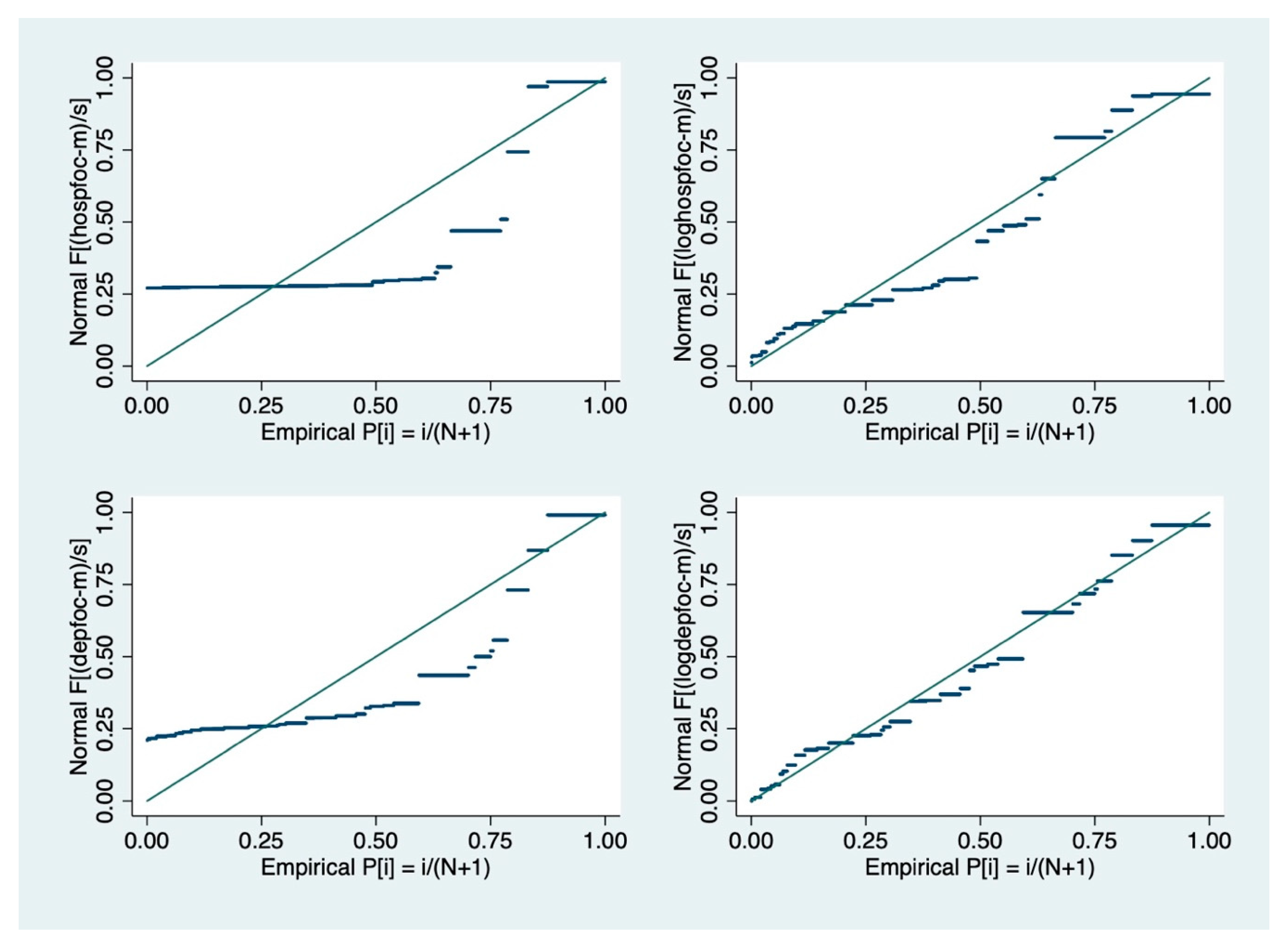
4.2. Effects of Hospital-Level and Department-Level Focus
5. Discussion
6. Conclusions and Implications
Author Contributions
Funding
Conflicts of Interest
Appendix A. Regression Tables and Model Specifications
| Intraoperative Complications | 30-Day Complications | One-Year Complications | ||||
|---|---|---|---|---|---|---|
| (1) | (2) | (1) | (2) | (1) | (2) | |
| β (SE) | β (SE) | β (SE) | β (SE) | β (SE) | β (SE) | |
| Log hospital focus | −0.0657 | −0.195 ** | −0.211 *** | |||
| (0.103) | (0.0799) | (0.0773) | ||||
| Log department focus | −0.114 | −0.384 *** | −0.270 ** | |||
| (0.150) | (0.103) | (0.137) | ||||
| Procedural volume | −0.00226 | −0.00222 | 0.00155 | 0.00184 ** | 0.00163 * | 0.00107 |
| (0.00221) | (0.00222) | (0.000950) | (0.000731) | (0.000886) | (0.000831) | |
| Gastric bypass | 0.324 | 0.314 | −0.0502 | −0.120 | −0.441 | −0.480 |
| (0.481) | (0.473) | (0.900) | (0.987) | (0.803) | (0.788) | |
| Sleeve gastrectomy | 0.0886 | 0.0685 | −0.547 | −0.631 | −1.831 ** | −1.918 ** |
| (0.537) | (0.535) | (0.964) | (1.048) | (0.863) | (0.845) | |
| Age | 0.0183 | 0.0183 | 0.00635 | 0.00594 | −0.00564 | −0.00619 |
| (0.0129) | (0.0129) | (0.00836) | (0.00839) | (0.00835) | (0.00824) | |
| Female | −0.174 | −0.171 | −0.0760 | −0.0638 | 0.138 | 0.148 |
| (0.239) | (0.240) | (0.225) | (0.226) | (0.315) | (0.316) | |
| Pre-surgery BMI | 0.0101 | 0.0105 | −0.0181 | −0.0159 | −0.0241 | −0.0211 |
| (0.0181) | (0.0183) | (0.0211) | (0.0205) | (0.0290) | (0.0285) | |
| Sleep apnea | 0.334 | 0.335 | 0.263 | 0.274 | −0.238 | −0.211 |
| (0.223) | (0.224) | (0.266) | (0.267) | (0.390) | (0.390) | |
| Hypertension | 0.0288 | 0.0292 | −0.246 | −0.246 | −0.317 | −0.316 |
| (0.269) | (0.272) | (0.239) | (0.238) | (0.284) | (0.286) | |
| Diabetes | 0.186 | 0.184 | 0.0645 | 0.0670 | −0.124 | −0.114 |
| (0.303) | (0.299) | (0.381) | (0.382) | (0.361) | (0.364) | |
| Dyslipidemia | 0.336 | 0.336 | −0.371 | −0.372 | −0.0405 | −0.0339 |
| (0.267) | (0.268) | (0.302) | (0.303) | (0.382) | (0.382) | |
| Random effects: | ||||||
| Constant (std. dev.) | 0.662 ** | 0.653 * | 0.230 | 7.56 × 10−17 | 0.182 | 0.231 |
| (0.169) | (0.169) | (0.115) | (1.18 × 10−16) | (0.223) | (0.197) | |
| Observations (N) | 4719 | 4719 | 4609 | 4609 | 4130 | 4130 |
| Number of groups | 39 | 39 | 39 | 39 | 39 | 39 |
| ICC: 95% CI | [0.0468; 0.265] | [0.0448; 0.263] | [0.00229; 0.102] | [3.73 × 10−36; 8.08 × 10−31] | [0.000082; 0.553] | [0.00057; 0.315] |
| Procedure Time | ||
|---|---|---|
| (1) | (2) | |
| β (SE) | β (SE) | |
| Log hospital focus | −3.144 *** | |
| (1.131) | ||
| Log department focus | −5.981 *** | |
| (1.992) | ||
| Procedural volume | −0.0329 ** | −0.0249 * |
| (0.0159) | (0.0148) | |
| Gastric bypass | −75.55 *** | −75.58 *** |
| (11.72) | (11.71) | |
| Sleeve gastrectomy | −90.43 *** | −90.47 *** |
| (11.69) | (11.68) | |
| Age | 0.131 *** | 0.131 *** |
| (0.0279) | (0.0279) | |
| Female | −3.987 *** | −3.978 *** |
| (0.676) | (0.676) | |
| Pre-surgery BMI | 0.351 *** | 0.351 *** |
| (0.0883) | (0.0884) | |
| Sleep apnea | 2.503 ** | 2.507 ** |
| (1.123) | (1.124) | |
| Hypertension | −1.263 | −1.265 |
| (0.945) | (0.945) | |
| Diabetes | 1.299 | 1.274 |
| (0.867) | (0.866) | |
| Dyslipidemia | 1.453 * | 1.440 * |
| (0.749) | (0.749) | |
| Random effects: | ||
| Constant (std. dev.) | 12.58 *** | 12.08 *** |
| (1.849) | (1.643) | |
| Residual (std. dev.) | 16.45 *** | 16.45 *** |
| (1.031) | (1.031) | |
| Observations (N) | 4719 | 4719 |
| Number of groups | 39 | 39 |
| ICC: 95% CI | [0.238; 0.524] | [0.232; 0.491] |
| Length of Stay | ||
|---|---|---|
| (1) | (2) | |
| β (SE) | β (SE) | |
| Log hospital focus | −0.0188 | |
| (0.0361) | ||
| Log department focus | −0.0702 | |
| (0.0527) | ||
| Procedural volume | −0.000743 * | −0.000474 |
| (0.000420) | (0.000394) | |
| Gastric bypass | −0.463 ** | −0.465 ** |
| (0.214) | (0.214) | |
| Sleeve gastrectomy | −0.430 ** | −0.431 ** |
| (0.206) | (0.205) | |
| Age | −0.00295 ** | −0.00295 ** |
| (0.00146) | (0.00146) | |
| Female | 0.0766 * | 0.0769 * |
| (0.0406) | (0.0407) | |
| Pre-surgery BMI | 0.00330 | 0.00323 |
| (0.00240) | (0.00242) | |
| Sleep apnea | 0.0468 | 0.0468 |
| (0.0739) | (0.0739) | |
| Hypertension | 0.0337 | 0.0334 |
| (0.0494) | (0.0494) | |
| Diabetes | 0.183 | 0.182 |
| (0.115) | (0.115) | |
| Dyslipidemia | −0.0235 | −0.0244 |
| (0.0667) | (0.0666) | |
| Random effects: | ||
| Constant (std. dev.) | 0.318 *** | 0.314 *** |
| (0.0314) | (0.0301) | |
| Observations (N) | 4714 | 4714 |
| Number of groups | 39 | 39 |
Appendix B. Variable Transformations

References
- Herzlinger, R.E. Market-Driven Health Care: Who Wins, Who Loses in the Transformation of America’s Largest Service Industry; Perseus Books: New York, NY, USA, 1997. [Google Scholar]
- Herzlinger, R.E. The Managerial Revolution in the U.S. Health Care Sector: Lessons from the U.S. Economy. Health Care Manag. Rev. 1998, 23, 19–29. [Google Scholar] [CrossRef] [PubMed]
- Skinner, W. The focused factory. Harv. Bus. Rev. 1974, 52, 113–120. [Google Scholar]
- McDermott, C.M.; Stock, G.N. Focus as emphasis: Conceptual and performance implications for hospitals. J. Oper. Manag. 2011, 29, 616–626. [Google Scholar] [CrossRef]
- Clark, J.R.; Huckman, R.S. Broadening Focus: Spillovers, Complementarities, and Specialization in the Hospital Industry. Manag. Sci. 2012, 58, 708–722. [Google Scholar] [CrossRef]
- Kc, D.S.; Terwiesch, C. The Effects of Focus on Performance: Evidence from California Hospitals. Manag. Sci. 2011, 57, 1897–1912. [Google Scholar] [CrossRef]
- Al-Amin, M.; Zinn, J.; Rosko, M.D.; Aaronson, W. Specialty hospital market proliferation: Strategic implications for general hospitals. Health Care Manag. Rev. 2010, 35, 294–300. [Google Scholar] [CrossRef]
- Barro, J.R.; Huckman, R.S.; Kessler, D.P. The effects of cardiac specialty hospitals on the cost and quality of medical care. J. Health Econ. 2006, 25, 702–721. [Google Scholar] [CrossRef]
- Schneider, J.E.; Miller, T.R.; Ohsfeldt, R.L.; Morrisey, M.A.; Zelner, B.A.; Li, P. The Economics of Specialty Hospitals. Med. Care Res. Rev. 2008, 65, 531–553. [Google Scholar] [CrossRef]
- Carey, K.; Mitchell, J.M. Specialization as an Organizing Principle: The Case of Ambulatory Surgery Centers. Med. Care Res. Rev. 2019, 76, 386–402. [Google Scholar] [CrossRef]
- Kumar, S. Specialty hospitals emulating focused factories. Int. J. Health Care Qual. Assur. 2010, 23, 94–109. [Google Scholar] [CrossRef]
- Vera, A.; Petratos, P.; Salge, T.O. A widening gap? Static and dynamic performance differences between specialist and general hospitals. Health Care Manag. Sci. 2018, 21, 25–36. [Google Scholar] [CrossRef] [PubMed]
- Yang, S.; McLaughlin, C.P.; Vaughan, R.W.; Aluise, J.J. Factory Focus in Hospital-owned Ambulatory Surgery. Int. J. Serv. Ind. Manag. 1992, 3, 63–75. [Google Scholar] [CrossRef]
- Huckman, R.S.; Zinner, D.E. Does Focus Improve Operational Performance? Lessons from the Management of Clinical Trials. Strateg. Manag. J. 2008, 29, 173–193. [Google Scholar] [CrossRef]
- Kuntz, L.; Scholtes, S.; Sülz, S. Separate and concentrate: Accounting for patient complexity in general hospitals. Manag. Sci. 2019, 65, 2482–2501. [Google Scholar] [CrossRef]
- Christensen, C.M.; Grossman, J.H.; Hwang, J. The Innovator’s Prescription: A Disruptive Solution for Health Care; McGraw-Hill: New York, NY, USA, 2009. [Google Scholar]
- Hopp, W.J.; Lovejoy, W.S. Hospital Operations: Principles of High Efficiency Health Care; Pearson Education: Upper Saddle River, NJ, USA, 2013. [Google Scholar]
- Miedaner, F.; Sülz, S. Boundaries of Focus and Volume: An Empirical Study in Neonatal Intensive Care. Prod. Oper. Manag. 2019, 29, 298–308. [Google Scholar] [CrossRef]
- Cram, P.; Rosenthal, G.E.; Vaughan-Sarrazin, M.S. Cardiac Revascularization in Specialty and General Hospitals. N. Eng. J. Med. 2005, 352, 1454–1462. [Google Scholar] [CrossRef]
- Prin, M.; Guglielminotti, J.; Mtalimanja, O.; Li, G.; Charles, A. Emergency-to-Elective Surgery Ratio: A Global Indicator of Access to Surgical Care. World J. Surg. 2018, 42, 1971–1980. [Google Scholar] [CrossRef]
- Thorell, A.; MacCormick, A.; Awad, S.; Reynolds, N.; Roulin, D.; Demartines, N.; Vignaud, M.; Alvarez, A.; Singh, P.; Lobo, D. Guidelines for Perioperative Care in Bariatric Surgery: Enhanced Recovery After Surgery (ERAS) Society Recommendations. World J. Surg. 2016, 40, 2065–2083. [Google Scholar] [CrossRef]
- Nguyen, N.T.; Nguyen, B.; Shih, A.; Smith, B.; Hohmann, S. Use of laparoscopy in general surgical operations at academic centers. Surg. Obes. Relat. Dis. 2013, 9, 15–20. [Google Scholar] [CrossRef]
- Heskett, J.L. Shouldice Hospital Limited. Available online: https://www.hbs.edu/faculty/Pages/item.aspx?num=21244 (accessed on 11 September 2020).
- Capkun, V.; Messner, M.; Rissbacher, C. Service specialization and operational performance in hospitals. Int. J. Oper. Prod. Manag. 2012, 32, 468–495. [Google Scholar] [CrossRef]
- Hyer, N.L.; Wemmerlöv, U.; Morris, J.A. Performance analysis of a focused hospital unit: The case of an integrated trauma center. J. Oper. Manag. 2009, 27, 203–219. [Google Scholar] [CrossRef]
- Clark, J.R. Comorbidity and the Limitations of Volume and Focus as Organizing Principles. Med. Care Res. Rev. 2012, 69, 83–102. [Google Scholar] [CrossRef] [PubMed]
- Pieters, A.; van Oirschot, C.; Akkermans, H. No cure for all evils. Int. J. Oper. Prod. Manag. 2010, 30, 1112–1139. [Google Scholar] [CrossRef]
- Lawrence, P.R.; Lorsch, J.W. Differentiation and Integration in Complex Organizations. Adm. Sci. Q. 1967, 12, 1–47. [Google Scholar] [CrossRef]
- Mintzberg, H. The Structuring of Organizations; Prentice-Hall: Englewood Cliffs, NJ, USA, 1979. [Google Scholar]
- Woodward, J. Industrial Organisation: Theory and Practice; Oxford Univ. Press: London, UK, 1965. [Google Scholar]
- Hedenbro, J.; Näslund, E.; Boman, L.; Lundegårdh, G.; Bylund, A.; Ekelund, M.; Laurenius, A.; Möller, P.; Olbers, T.; Sundbom, M.; et al. Formation of the Scandinavian Obesity Surgery Registry, SOReg. Obes. Surg. 2015, 25, 1893–1900. [Google Scholar] [CrossRef]
- Krell, R.W.; Finks, J.F.; English, W.J.; Dimick, J.B. Profiling Hospitals on Bariatric Surgery Quality: Which Outcomes Are Most Reliable? J. Am. Coll. Surg. 2014, 219, e725–e734. [Google Scholar] [CrossRef]
- Dindo, D.; Demartines, N.; Clavien, P.-A. Classification of surgical complications: A new proposal with evaluation in a cohort of 6336 patients and results of a survey. Ann. Surg. 2004, 240, 205–213. [Google Scholar] [CrossRef]
- Clavien, A.P.; Barkun, L.J.; De Oliveira, N.M.; Vauthey, D.J.; Dindo, L.D.; Schulick, L.R.; De Santibañes, L.E.; Pekolj, L.J.; Slankamenac, L.K.; Bassi, L.C.; et al. The Clavien-Dindo Classification of Surgical Complications: Five-Year Experience. Ann. Surg. 2009, 250, 187–196. [Google Scholar] [CrossRef]
- Inaba, C.S.; Koh, C.; Sujatha-Bhaskar, S.; Gallagher, S.; Chen, Y.; Nguyen, N.T. Operative Time as a Marker of Quality in Bariatric Surgery. J. Am. Coll. Surg. 2017, 225, S16–S17. [Google Scholar] [CrossRef][Green Version]
- Torres, A.J. Influence of median surgeon operative duration on adverse outcomes in bariatric surgery. Surg. Obes. Relat. Dis. 2015, 11, 213–214. [Google Scholar] [CrossRef]
- Markar, S.; Penna, M.; Karthikesalingam, A.; Hashemi, M. The Impact of Hospital and Surgeon Volume on Clinical Outcome Following Bariatric Surgery. Obes. Surg. 2012, 22, 1126–1134. [Google Scholar] [CrossRef]
- Zevin, P.B.; Aggarwal, P.R.; Grantcharov, P.T. Volume-Outcome Association in Bariatric Surgery: A Systematic Review. Ann. Surg. 2012, 256, 60–71. [Google Scholar] [CrossRef] [PubMed]
- Hair, J.F.; Black, W.C.; Babin, B.J.; Anderson, R.E. Multivariate Data Analysis; Pearson Education Limited: Harlow, UK, 2014. [Google Scholar]
- Goldstein, H.; Leyland, A.H. Multilevel Modelling of Health Statistics; Wiley: Chichester, UK, 2001. [Google Scholar]
- Jones, H.E.; Spiegelhalter, D.J. The Identification of “Unusual” Health-Care Providers from a Hierarchical Model. Am. Stat. 2011, 65, 154–163. [Google Scholar] [CrossRef]
- Rabe-Hesketh, S.; Skrondal, A. Multilevel and Longitudinal Modeling Using Stata Vol. 1 Continuous Responses; Stata Press: College Station, TX, USA, 2012. [Google Scholar]
- Rabe-Hesketh, S.; Skrondal, A. Multilevel and Longitudinal Modeling Using Stata Vol. 2 Categorical Responses, Counts, and Survival; Stata Press: College Station, TX, USA, 2012. [Google Scholar]
- Barrera-Gómez, J.; Basagaña, X. Models with Transformed Variables: Interpretation and Software. Epidemiology 2015, 32, e16–e17. [Google Scholar] [CrossRef] [PubMed]
- Cook, D.; Thompson, J.E.; Habermann, E.B.; Visscher, S.L.; Dearani, J.A.; Roger, V.L.; Borah, B.J. From ‘Solution Shop’ Model to ‘Focused Factory’ in Hospital Surgery: Increasing Care Value and Predictability. Health Aff. (Millwood) 2014, 33, 746–755. [Google Scholar] [CrossRef]
| Characteristic | n (%) | Mean | Std. Dev. | Median | Min. | Max. |
|---|---|---|---|---|---|---|
| Age | 40.76 | 11.33 | 41.00 | 18 | 74 | |
| Female | 3983 (77) | |||||
| Male | 1169 (23) | |||||
| Gastric bypass | 3278 (64) | |||||
| Gastric sleeve | 1838 (36) | |||||
| Pre-surgery BMI | 41.03 | 5.66 | 40.40 | 28.65 | 78.60 | |
| Sleep apnea | 475 (9.2) | |||||
| Hypertension | 1214 (24) | |||||
| Diabetes | 603 ((12) | |||||
| Dyslipidemia | 482 (9.4) | |||||
| Intraoperative complications | 111 (2.2) | |||||
| 30-day complications | 126 (2.5) | |||||
| One-year complications | 101 (2.3) | |||||
| Procedure time | 56.89 | 24.78 | 53 | 14 | 250 | |
| Length of stay | 1.47 | 1.73 | 1 | 0 | 50 |
| Characteristic | Mean | Std. Dev. | Median | Min. | Max. |
|---|---|---|---|---|---|
| Admissions | 18,436 | 19,303 | 12,089 | 241 | 90,837 |
| Surgical procedures (in-patient) | 2034 | 1462 | 1845 | 98 | 6268 |
| Obesity surgery procedures | 121 | 123.85 | 86 | 4 | 591 |
| Gastric bypass | 76 | 88.12 | 44 | 0 | 438 |
| Sleeve gastrectomy | 45 | 56.89 | 27 | 0 | 260 |
| Hospital-level focus | 0.076 | 0.207 | 0.006 | 0.000 | 0.943 |
| Department-level focus | 0.117 | 0.181 | 0.052 | 0.001 | 0.943 |
| Intraoperative Complications | 30-Day Complications | One-Year Complications | ||||
|---|---|---|---|---|---|---|
| (1) | (2) | (1) | (2) | (1) | (2) | |
| β (SE) | β (SE) | β (SE) | β (SE) | β (SE) | β (SE) | |
| Log hospital focus | −0.0657 | −0.195 ** | −0.211 *** | |||
| (0.103) | (0.0799) | (0.0773) | ||||
| Log department focus | −0.114 | −0.384 *** | −0.270 ** | |||
| (0.150) | (0.103) | (0.137) | ||||
| Random effects: | ||||||
| Constant (std. dev.) | 0.662 ** | 0.653 * | 0.230 | 7.56 × 10−17 | 0.182 | 0.231 |
| (0.169) | (0.169) | (0.115) | (1.1856 × 10−16) | (0.223) | (0.197) | |
| Observations (n) | 4719 | 4719 | 4609 | 4609 | 4130 | 4130 |
| Number of groups | 39 | 39 | 39 | 39 | 39 | 39 |
| ICC: 95% CI | [0.0468; 0.265] | [0.0448; 0.263] | [0.00229; 0.102] | [3.7356 × 10−36; 8.0856 × 10−31] | [0.000082; 0.553] | [0.00057; 0.315] |
| Procedure Time | ||
|---|---|---|
| (1) | (2) | |
| β (SE) | β (SE) | |
| Log hospital focus | −3.144 *** | |
| (1.131) | ||
| Log department focus | −5.981 *** | |
| (1.992) | ||
| Random effects: | ||
| Constant (std. dev.) | 12.58 *** | 12.08 *** |
| (1.849) | (1.643) | |
| Residual (std. dev.) | 16.45 *** | 16.45 *** |
| (1.031) | (1.031) | |
| Observations (n) | 4719 | 4719 |
| Number of groups | 39 | 39 |
| ICC: 95% CI | [0.238; 0.524] | [0.232; 0.491] |
| Length of Stay | ||
|---|---|---|
| (1) | (2) | |
| β (SE) | β (SE) | |
| Log hospital focus | −0.0188 | |
| (0.0361) | ||
| Log department focus | −0.0702 | |
| (0.0527) | ||
| Random effects: | ||
| Constant (std. dev.) | 0.318 *** | 0.314 *** |
| (0.0314) | (0.0301) | |
| Observations (N) | 4714 | 4714 |
| Number of groups | 39 | 39 |
© 2020 by the authors. Licensee MDPI, Basel, Switzerland. This article is an open access article distributed under the terms and conditions of the Creative Commons Attribution (CC BY) license (http://creativecommons.org/licenses/by/4.0/).
Share and Cite
Svarts, A.; Urciuoli, L.; Thorell, A.; Engwall, M. Does Focus Improve Performance in Elective Surgery? A Study of Obesity Surgery in Sweden. Int. J. Environ. Res. Public Health 2020, 17, 6682. https://doi.org/10.3390/ijerph17186682
Svarts A, Urciuoli L, Thorell A, Engwall M. Does Focus Improve Performance in Elective Surgery? A Study of Obesity Surgery in Sweden. International Journal of Environmental Research and Public Health. 2020; 17(18):6682. https://doi.org/10.3390/ijerph17186682
Chicago/Turabian StyleSvarts, Anna, Luca Urciuoli, Anders Thorell, and Mats Engwall. 2020. "Does Focus Improve Performance in Elective Surgery? A Study of Obesity Surgery in Sweden" International Journal of Environmental Research and Public Health 17, no. 18: 6682. https://doi.org/10.3390/ijerph17186682
APA StyleSvarts, A., Urciuoli, L., Thorell, A., & Engwall, M. (2020). Does Focus Improve Performance in Elective Surgery? A Study of Obesity Surgery in Sweden. International Journal of Environmental Research and Public Health, 17(18), 6682. https://doi.org/10.3390/ijerph17186682

