Land Cover Classification by Integrating NDVI Time Series and GIS Data to Evaluate Water Circulation in Aso Caldera, Japan
Abstract
1. Introduction
2. Materials and Methods
2.1. Study Area
2.2. Satellite Images
2.3. Land Cover Classification
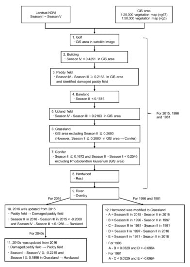
- (1).
- The Golf area was modified by comparing vg67 and the satellite image of the target year.
- (2).
- The GIS area that was used to extract the Building area of 2015 was from vg67. The Building classification result for 2015 was used as the GIS area for 1996. Further, the Building classification result for 1996 was used as the GIS area for 1981.
- (3).
- The GIS area that was used to mask the Paddy field area was the paddy and upland areas of vg67 for 2015 and 1991 and vg3 for 1981. This is because the vegetation map may actually indicate paddy fields, even if they are upland fields. In addition, the Damaged paddy field area was added as Paddy field area for 2015 to ensure consistency with the Damaged paddy field area for 2016.
- (4).
- Bare land was extracted only by NDVI without the GIS area.
- (5).
- The GIS area that was used to mask Upland field was the paddy and upland areas of vg67 for 2015 and 1991 and vg3 for 1981. The reason for using the GIS area of paddy and upland areas as the mask is to maintain consistency with the Paddy field extracted in step 3.
- (6).
- The NDVI of burned grasslands in Season II has a lower value than that of other land covers [26]. However, the NDVI of unburned grasslands is similar to that of hardwoods, so they are indistinguishable. Therefore, the grasslands of vg67 were applied to Grassland for 2015. Since some parts of grasslands in vg67 were confirmed to have changed to conifers through plantation, these areas were adjusted to Conifer by the NDVI threshold value. Similar to the step for Building (step 2), the classification result for Grassland for 2015 was used as the GIS area for 1996. Furthermore, the classification result for Grassland for 1996 was used as the GIS area for 1981.
- (7).
- Conifer was extracted using two threshold values. However, in order to modify the results around the central cone, areas of Rhododendron kiusianum were excluded. For 2015 and 1991, vg67 was used for Rhododendron kiusianum areas, and vg3 was applied for 1981. The threshold value of 0.2546 was modified to 0.3265 for 1981 in order to improve the validity of the classification result, as mentioned later.
- (8).
- The remaining areas that were not classified into any land covers in steps 1–8 were Hardwood.
- (9).
- The River area created by the above method was overlaid.
- (10).
- The 2016 land cover map was generated by updating the 2015 land cover map with the Damaged paddy field and Bare land resulting from the landslide of the 2016 Kumamoto earthquake. For Bare land induced by landslides, the regions in which the difference between the NDVI of Season III in 2016 and that of Season III in 2015 was less than −0.2 were first extracted [17,18]. If the extracted area is actually bare land, then the vegetation cannot be recovered easily. Therefore, with the above method, the extracted area that represents the NDVI change shown in Figure 2 was identified as Bare land due to landslides.
- (11).
- The future prediction assumed that the damaged agriculture had recovered, and Damaged paddy field for 2016 was updated to Paddy field. Then, it was assumed that the unburned grasslands had changed to hardwoods. The unburned grasslands were updated to hardwoods by using the characteristic NDVI of unburned grasslands, as indicated by Yasunaka et al. [26].
- (12).
- The future Grassland area was determined as described in step 6. Thus, considering the transition from grasslands to hardwoods, the Grassland in the past should be naturally larger than that in the future. Therefore, we added a procedure to modify Hardwood to Grassland according to the 1996 and 1981 land cover maps. The relationship between NDVI changes from Season II to Season III for burned grasslands and hardwoods is ‘burned grasslands > hardwoods’. On the other hand, the relationship between NDVIs for each land cover in Season II, just after open burning, is revealed to be ‘burned grasslands < hardwoods’. Step 12 applied these relationships.
2.4. Validity Assessment of Land Cover Map
2.5. Estimation of Potential Groundwater Recharge
3. Results and Discussions
3.1. Validity of Land Cover Map
3.2. Land Cover Change
3.3. Potential Groundwater Recharge
4. Conclusions
Author Contributions
Funding
Conflicts of Interest
References
- Hunter, A.G. Intracrustal controls on the coexistence of tholeiitic and calc-alkaline magma series at Aso Volcano, SW Japan. J. Petrol. 1998, 39, 1255–1284. [Google Scholar] [CrossRef]
- Miyabuchi, Y.; Sugiyama, S. 90,000-year phytolith record from tephra section at the northeastern rim of Aso caldera, Japan. Quat. Int. 2011, 246, 239–246. [Google Scholar] [CrossRef]
- ASO Grassland Restoration Committee. Aso Grassland Restoration Overall Concept; ASO Grassland Restoration Committee Office: Kumamoto, Japan, 2007. [Google Scholar]
- Environments in Kumamoto City. Available online: https://www.city.kumamoto.jp/kankyo/hpkiji/pub/Detail.aspx?c_id=5&id=20463 (accessed on 29 August 2020).
- Kudo, K.; Shimada, J.; Maruyama, A.; Tanaka, N. The quantitative evaluation of groundwater recharge rate using Displacement Flow Model with stable isotope ratio in the soil water of difference vegetation cover. Jpn. Groundw. Hydrol. 2016, 58, 31–45. [Google Scholar] [CrossRef]
- Shimano, Y. Hydro-chemical study of spring waters in the Aso caldera, central Kyushu. Bunsei Bull. 1997, 8, 43–67. [Google Scholar]
- Zhang, L.; Dawes, W.R.; Walker, G.R. Response of mean annual evapotranspiration to vegetation changes at catchment scale. Water Resour. Res. 2007, 37, 701–708. [Google Scholar] [CrossRef]
- Tsukamoto, Y. Forest Hydrology; Buneido: Tokyo, Japan, 1992. [Google Scholar]
- Digital National Land Information. Available online: https://nlftp.mlit.go.jp/ksj/index.html (accessed on 9 June 2020).
- The Results of the National Surveys on the Natural Environment. Available online: http://gis.biodic.go.jp/webgis/sc-023.html (accessed on 28 January 2020).
- High-Resolution Land Use and Land Cover Map of Japan (Released in September 2016/ Version 16.09, Released in March 2018/Version 18.03). Available online: https://www.eorc.jaxa.jp/ALOS/en/lulc/lulc_index.htm (accessed on 17 February 2020).
- Morawitz, D.; Blewett, T.M.; Cohen, A.; Alberti, M. Using NDVI to assess vegetative land cover change in Central Puget Sound. Environ. Monit. Assess. 2006, 114, 85–106. [Google Scholar] [CrossRef]
- Bark, N.; Weindorf, D.C.; Bahanassy, M.H.; Marei, S.M.; El-Badawi, M.M. Monitoring land cover changes in a newly reclaimed area of Egypt using multi-temporal Landsat data. Appl. Geogr. 2010, 30, 592–605. [Google Scholar]
- Jia, K.; Liang, S.; Wei, X.; Yao, Y.; Su, Y.; Jiang, B.; Wang, X. Land cover classification of Landsat data with phenological features extracted from time series MODIS NDVI data. Remote Sens. 2014, 6, 11518–11532. [Google Scholar] [CrossRef]
- Usman, M.; Liedl, R.; Shahid, M.A.; Abbas, A. Land use/land cover classification and its change detection using multi-temporal MODIS NDVI data. J. Geogr. Sci. 2015, 25, 1479–1506. [Google Scholar] [CrossRef]
- Zhao, L.; Zhang, P.; Ma, X.; Pan, Z. Land cover information extraction based on daily NDVI time series and multiclassifier combination. Math. Probl. Eng. 2017, 2017, 6824051. [Google Scholar] [CrossRef]
- Yamazaki, F.; Liu, W. Remote sensing technologies for post-earthquake damage assessment: A case study on the 2016 Kumamoto earthquake. In Proceedings of the 6th ASIA Conference on Earthquake Engineering, Cebu City, Philippines, 22–24 September 2016. [Google Scholar]
- Iwasaki, Y.; Tamaki, T.; Murata, K.; Koga, A.; Fujimoto, K. Detection of land cover changes before and after the 2016 Kumamoto earthquake in Japan using remote sensing for evaluation of environmental impacts. IOP Conf. Ser. Earth Environ. Sci. 2020, in press. [Google Scholar]
- Amano, H.; Iwasaki, Y.; Ichikawa, T. Identification of paddy fields using temporal NDVI changes in Minamiaso Village, Kumamoto Prefecture, Japan to estimate groundwater recharge. IOP Conf. Ser. Earth Environ. Sci. 2020, in press. [Google Scholar]
- Weather Observation Data. Available online: http://www.data.jma.go.jp/obd/stats/etrn/index.php?prec_no=86&block_no=47821&year=&month=&day=&view= (accessed on 15 June 2020).
- Shimotsu, M. Afield study on hydrological balance in volcanic basin: The Aso basin. J. Jpn. Soc. Civ. Eng. 1988, 1988, 141–150. [Google Scholar]
- LandsatLook Viewer. Available online: https://landsatlook.usgs.gov/ (accessed on 17 December 2019).
- Yamamoto, Y.; Shindo, K.; Hagino, K.; Hirano, K.; Nakanishi, Y.; Otaki, N. Changes in vegetation due to the stopped controlled burns in the semi-natural grassland of Aso Region. Jpn. J. Grassl. Sci. 2002, 48, 416–420. [Google Scholar]
- Chen, F.; Lou, S.; Fan, Q.; Wang, C.; Claverie, M.; Wang, C.; Li, J. Normalized Difference Vegetation Index Continuity of the Landsat 4-5 MSS and TM: Investigations Based on Simulation. Remote Sens. 2019, 11, 16841. [Google Scholar] [CrossRef]
- Agriculture Land Information System. Available online: https://www.alis-ac.jp/ (accessed on 28 January 2020).
- Yasunaka, Y.; Oishi, K.; Anzai, H.; Miwa, M.; Kumagai, H.; Hirooka, H.; Ieiri, S. Assessing the effect of controlled burning and grazing on vegetation change in the grasslands of Aso region using satellite image analyses. J. Jpn. Agric. Syst. Soc. 2015, 31, 117–125. [Google Scholar]
- Amano, H.; Ichikawa, T.; Hirano, Y.; Nakagawa, K. Effects of paddy fields on water circulation in Aso Nangou-dani. J. Jpn. Soc. Civ. Eng. Ser. G 2020, in press. [Google Scholar]
- Ichikawa, T. Investigation report on the Recharge Capacity of Paddy Fields in Shirakawa River System; Tokai University: Kumamoto, Japan, 2020; p. 23. [Google Scholar]
- Lu, J.; Sun, G.; MucNulty, S.G.; Amatya, D.M. A comparison of six potential evapotranspiration methods for regional use in the southeastern United States. J. Am. Water Resour. Assoc. 2005, 41, 621–633. [Google Scholar] [CrossRef]
- Matsuura, T.; Tebakari, T.; Tomigashi, A.; Ogata, R. Evaluation of impact of land use change and climate change on distribution of water resources in Toyama basin by using Distributed Water Balance model. J. Jpn. Soc. Civ. Eng. 2018, 74, I_37–I_42. [Google Scholar] [CrossRef]
- Nagai, S.; Taguchi, Y.; Shimano, Y.; Tanaka, N. Hydrochemical study on groundwater and river water in the Aso caldera. Ind. Water 1986, 337, 10–21. [Google Scholar]
- About JAXA. Available online: https://global.jaxa.jp/about/index.html (accessed on 29 August 2020).
- Takahashi, Y. Conservation and restoration of grassland landscape by collaborative management: A case of Aso Grassland. Landsc. Ecol. Manag. 2004, 14, 5–14. [Google Scholar] [CrossRef][Green Version]
- Abe, T.; Yokokawa, M.; Kaneko, S.; Iwashi, Y. Grassland endangered plant and forestry in Aso. For. For. Kyushu 2010, 94, 1–3. [Google Scholar]
- Mukunoki, T.; Kasama, K.; Murakami, S.; Ikemi, H.; Ishikura, R.; Fujikawa, T.; Yasufuku, N.; Kitazono, Y. 2016 Reconnaissance report on geotechnical damage caused by an earthquake with JMA seismic intensity 7 twice in 28 h, Kumamoto, Japan. Soils Found. 2016, 56, 947–964. [Google Scholar] [CrossRef]
- Ichikawa, T.; Nakagawa, K.; Berndtsson, R. Earthquake effects on artificial groundwater recharge efforts in south Japan. Environ. Earth Sci. 2020, 79, 142. [Google Scholar] [CrossRef]
- Portal Site of Official Statistics of Japan. Available online: https://www.e-stat.go.jp/ (accessed on 23 June 2020).
- Kumamoto Prefecture Tourist Statistics. Available online: https://www.pref.kumamoto.jp/hpkiji/pub/List.aspx?c_id=3&class_set_id=1&class_id=5190 (accessed on 23 June 2020).







| Year | Season I | Season II | Season III | Season IV | Season V |
|---|---|---|---|---|---|
| 2017 | 19 February * | ||||
| 2016 | 20 March * | 23 May * | 11 August * | 30 October * | |
| 2015 | 21 May * | ||||
| 1997 | 1 April ** | ||||
| 1996 | 1 June ** | 5 September ** | |||
| 1982 | 31 July *** | ||||
| 1981 | 23 March **** | 3 June **** |
| Band | Landsat-8 OLI | Landsat-5 TM | Landsat-2, 3 MSS |
|---|---|---|---|
| Red band (R) | band-4 | band-3 | band-5 |
| Near-infrared band (NIR) | band-5 | band-4 | band-6 and band-7 |
© 2020 by the authors. Licensee MDPI, Basel, Switzerland. This article is an open access article distributed under the terms and conditions of the Creative Commons Attribution (CC BY) license (http://creativecommons.org/licenses/by/4.0/).
Share and Cite
Amano, H.; Iwasaki, Y. Land Cover Classification by Integrating NDVI Time Series and GIS Data to Evaluate Water Circulation in Aso Caldera, Japan. Int. J. Environ. Res. Public Health 2020, 17, 6605. https://doi.org/10.3390/ijerph17186605
Amano H, Iwasaki Y. Land Cover Classification by Integrating NDVI Time Series and GIS Data to Evaluate Water Circulation in Aso Caldera, Japan. International Journal of Environmental Research and Public Health. 2020; 17(18):6605. https://doi.org/10.3390/ijerph17186605
Chicago/Turabian StyleAmano, Hiroki, and Yoichiro Iwasaki. 2020. "Land Cover Classification by Integrating NDVI Time Series and GIS Data to Evaluate Water Circulation in Aso Caldera, Japan" International Journal of Environmental Research and Public Health 17, no. 18: 6605. https://doi.org/10.3390/ijerph17186605
APA StyleAmano, H., & Iwasaki, Y. (2020). Land Cover Classification by Integrating NDVI Time Series and GIS Data to Evaluate Water Circulation in Aso Caldera, Japan. International Journal of Environmental Research and Public Health, 17(18), 6605. https://doi.org/10.3390/ijerph17186605
