Physiological Responses and Nutritional Intake during a 7-Day Treadmill Running World Record
Abstract
1. Introduction
2. Materials and Methods
2.1. Participant
2.2. Record Attempt
2.3. Measures
2.3.1. Body Composition and Haematology
2.3.2. Nutritional Intake
2.3.3. Cardio-Respiratory and Subjective Measures
2.4. Statistical Analysis
3. Results
3.1. Record Breaking Performance
3.2. Laboratory Testing before the Event
3.3. Energy Intake
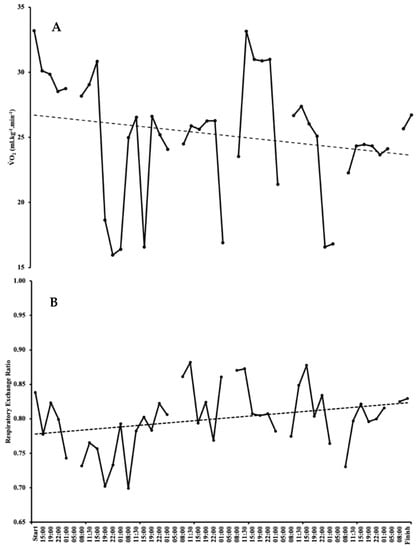
3.4. Energy Expenditure and Oxygen Uptake during the Attempt
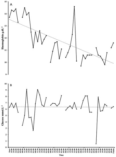
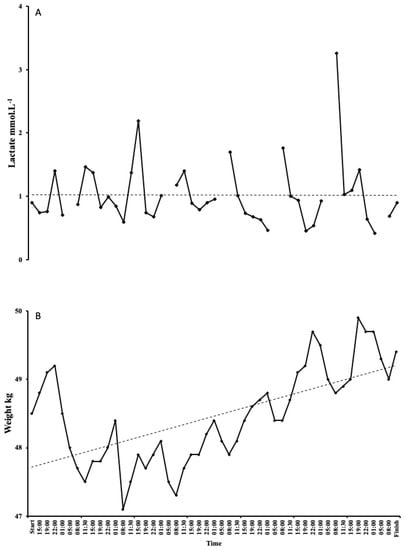
3.5. Blood Parameters
3.6. Rating of Perceived Exertion
3.7. Body Mass
4. Discussion
4.1. Limitations
4.2. Conclusions and Practical Recommendations
Author Contributions
Funding
Acknowledgments
Conflicts of Interest
References
- Best, R.; Barwick, B.; Best, A.; Berger, N.; Harrison, C.; Wright, M.; Sparrow, J. Changes in Pain and Nutritional Intake Modulate Ultra-Running Performance: A Case Report. Sports 2018, 6, 111. [Google Scholar] [CrossRef] [PubMed]
- Kerhervé, H.A.; Millet, G.Y.; Solomon, C. The Dynamics of Speed Selection and Psycho-Physiological Load during a Mountain Ultramarathon. PLoS ONE 2015, 10, e0145482. [Google Scholar] [CrossRef] [PubMed]
- Millet, G.Y.; Banfi, J.C.; Kerherve, H.; Morin, J.B.; Vincent, L.; Estrade, C.; Geyssant, A.; Feasson, L. Physiological and biological factors associated with a 24 h treadmill ultra-marathon performance. Scand. J. Med. Sci. Sports 2011, 21, 54–61. [Google Scholar] [CrossRef] [PubMed]
- Roebuck, G.S.; Urquhart, D.M.; Knox, L.; Fitzgerald, P.B.; Cicuttini, F.M.; Lee, S.; Fitzgibbon, B.M. Psychological Factors Associated With Ultramarathon Runners’ Supranormal Pain Tolerance: A Pilot Study. J. Pain 2018, 19, 1406–1415. [Google Scholar] [CrossRef] [PubMed]
- Roebuck, G.S.; Fitzgerald, P.B.; Urquhart, D.M.; Ng, S.-K.; Cicuttini, F.M.; Fitzgibbon, B.M. The psychology of ultra-marathon runners: A systematic review. Psychol. Sport Exerc. 2018, 37, 43–58. [Google Scholar] [CrossRef]
- Knechtle, B.; Senn, O.; Imoberdorf, R.; Joleska, I.; Wirth, A.; Knechtle, P.; Rosemann, T. Maintained Total Body Water Content and Serum Sodium Concentrations Despite Body Mass Loss in Female Ultrarunners Drinking Ad Libitum during a 100 Km Race. Asia Pac. J. Clin. Nutr. 2010, 19, 83. [Google Scholar]
- Fellmann, N. Hormonal and plasma volume alterations following endurance exercise. A brief review. Sports Med. 1992, 13, 37–49. [Google Scholar] [CrossRef]
- Fellmann, N.; Ritz, P.; Ribeyre, J.; Beaufrère, B.; Delaître, M.; Coudert, J. Intracellular hyperhydration induced by a 7-day endurance race. Eur. J. Appl. Physiol. Occup. Physiol. 1999, 80, 353–359. [Google Scholar] [CrossRef]
- Maughan, R.J.; Whiting, P.H.; Davidson, R.J. Estimation of plasma volume changes during marathon running. Br. J. Sports Med. 1985, 19, 138–141. [Google Scholar] [CrossRef]
- Milledge, J.S.; Bryson, E.I.; Catley, D.M.; Hesp, R.; Luff, N.; Minty, B.D.; Older, M.W.; Payne, N.N.; Ward, M.P.; Withey, W.R. Sodium balance, fluid homeostasis and the renin-aldosterone system during the prolonged exercise of hill walking. Clin. Sci. 1982, 62, 595–604. [Google Scholar] [CrossRef]
- Knechtle, B.; Duff, B.; Schulze, I.; Kohler, G. A Multi-Stage Ultra-Endurance Run over 1200 KM Leads to a Continuous Accumulation of Total Body Water. J. Sports Sci. Med. 2008, 7, 357–364. [Google Scholar] [PubMed]
- Enqvist, J.K.; Mattsson, C.M.; Johansson, P.H.; Brink-Elfegoun, T.; Bakkman, L.; Ekblom, B.T. Energy turnover during 24 hours and 6 days of adventure racing. J. Sports Sci. 2010, 28, 947–955. [Google Scholar] [CrossRef] [PubMed]
- Knechtle, B.; Nikolaidis, P.T. Physiology and Pathophysiology in Ultra-Marathon Running. Front. Physiol. 2018, 9, 8–33. [Google Scholar] [CrossRef] [PubMed]
- Jeukendrup, A. A Step towards Personalized Sports Nutrition: Carbohydrate Intake during Exercise. Sports Med. 2014, 44, 25–33. [Google Scholar] [CrossRef]
- Kerksick, C.M.; Wilborn, C.D.; Roberts, M.D.; Smith-Ryan, A.; Kleiner, S.M.; Jäger, R.; Collins, R.; Cooke, M.; Davis, J.N.; Galvan, E.; et al. ISSN exercise & sports nutrition review update: Research & recommendations. J. Int. Soc. Sport Nutr. 2018, 15, 38. [Google Scholar] [CrossRef]
- Wardenaar, F.C.; Dijkhuizen, R.; Ceelen, I.J.M.; Jonk, E.; Vries, J.H.M.D.; Witkamp, R.F.; Mensink, M. Nutrient Intake by Ultramarathon Runners: Can they Meet Recommendations? Int. J. Sport Nutr. Exerc. 2015, 25, 375–386. [Google Scholar] [CrossRef]
- Wilson, P.B. “I think I’m gonna hurl”: A Narrative Review of the Causes of Nausea and Vomiting in Sport. Sports 2019, 7, 162. [Google Scholar] [CrossRef]
- Stellingwerff, T.; Cox, G.R. Systematic review: Carbohydrate supplementation on exercise performance or capacity of varying durations. Appl. Physiol. Nutr. Metab. 2014, 39, 998–1011. [Google Scholar] [CrossRef]
- Costa, R.J.S.; Hoffman, M.D.; Stellingwerff, T. Considerations for ultra-endurance activities: Part 1—Nutrition. Res. Sports Med. 2019, 27, 166–181. [Google Scholar] [CrossRef]
- Urdampilleta, A.; Arribalzaga, S.; Viribay, A.; Castañeda-Babarro, A.; Seco-Calvo, J.; Mielgo-Ayuso, J. Effects of 120 vs. 60 and 90 g/h Carbohydrate Intake during a Trail Marathon on Neuromuscular Function and High Intensity Run Capacity Recovery. Nutrients 2020, 12, 2094. [Google Scholar] [CrossRef]
- Viribay, A.; Arribalzaga, S.; Mielgo-Ayuso, J.; Castañeda-Babarro, A.; Seco-Calvo, J.; Urdampilleta, A. Effects of 120 g/h of Carbohydrates Intake during a Mountain Marathon on Exercise-Induced Muscle Damage in Elite Runners. Nutrients 2020, 12, 1367. [Google Scholar] [CrossRef] [PubMed]
- Jeukendrup, A.E. Training the Gut for Athletes. Sports Med. 2017, 47, 101–110. [Google Scholar] [CrossRef] [PubMed]
- Costa, R.J.S.; Miall, A.; Khoo, A.; Rauch, C.; Snipe, R.; Camões-Costa, V.; Gibson, P. Gut-training: The impact of two weeks repetitive gut-challenge during exercise on gastrointestinal status, glucose availability, fuel kinetics, and running performance. Appl. Physiol. Nutr. Metab. 2017, 42, 547–557. [Google Scholar] [CrossRef] [PubMed]
- Bandegan, A.; Courtney-Martin, G.; Rafii, M.; Pencharz, P.B.; Lemon, P.W. Indicator Amino Acid-Derived Estimate of Dietary Protein Requirement for Male Bodybuilders on a Nontraining Day Is Several-Fold Greater than the Current Recommended Dietary Allowance. J. Nutr. 2017, 147, 850–857. [Google Scholar] [CrossRef]
- Schoenfeld, B.J.; Aragon, A.A. How much protein can the body use in a single meal for muscle-building? Implications for daily protein distribution. J. Int. Soc. Sport Nutr. 2018, 15, 10. [Google Scholar] [CrossRef]
- Yang, Y.; Churchward-Venne, T.A.; Burd, N.A.; Breen, L.; Tarnopolsky, M.A.; Phillips, S.M. Myofibrillar protein synthesis following ingestion of soy protein isolate at rest and after resistance exercise in elderly men. Nutr. Metab. 2012, 9, 57. [Google Scholar] [CrossRef]
- Wall, B.T.; Gorissen, S.H.; Pennings, B.; Koopman, R.; Groen, B.B.L.; Verdijk, L.B.; van Loon, L.J.C. Aging Is Accompanied by a Blunted Muscle Protein Synthetic Response to Protein Ingestion. PLoS ONE 2015, 10, e0140903. [Google Scholar] [CrossRef]
- Moore, D.R.; Churchward-Venne, T.A.; Witard, O.; Breen, L.; Burd, N.A.; Tipton, K.D.; Phillips, S.M. Protein Ingestion to Stimulate Myofibrillar Protein Synthesis Requires Greater Relative Protein Intakes in Healthy Older Versus Younger Men. J. Gerontol. Ser. A Biol. Sci. Med. Sci. 2014, 70, 57–62. [Google Scholar] [CrossRef]
- Thomas, D.T.; Erdman, K.A.; Burke, L.M. American College of Sports Medicine Joint Position Statement. Nutrition and Athletic Performance. Med. Sci. Sports Exerc. 2016, 48, 543–568. [Google Scholar] [CrossRef]
- Frayn, K.N. Calculation of substrate oxidation rates in vivo from gaseous exchange. J. Appl. Physiol. Respir. Environ. Exerc. Physiol. 1983, 55, 628–634. [Google Scholar] [CrossRef]
- Rennie, M.J.; Edwards, R.H.; DAVIES, C.M.; Krywawych, S.; Halliday, D.; Waterlow, J.C.; Millward, D.J. Protein and amino acid turnover during and after exercise. Biochem. Soc. Trans. 1980, 8, 499–501. [Google Scholar] [CrossRef] [PubMed]
- Evans, W.J.; Fisher, E.C.; Hoerr, R.A.; Young, V.R. Protein metabolism and endurance exercise. Physician Sportsmed. 1983, 11, 63–162. [Google Scholar] [CrossRef]
- Knechtle, B.; Kohler, G. Running 338 Kilometres within Five Days has no Effect on Body Mass and Body Fat But Reduces Skeletal Muscle Mass—The Isarrun 2006. J. Sports Sci. Med. 2007, 6, 401–407. [Google Scholar] [PubMed]
- Borg, G. Borg’s Perceived Exertion and Pain Scales; Human Kinetics: Champaign, IL, USA, 1998. [Google Scholar]
- Millet, G.Y.; Tomazin, K.; Verges, S.; Vincent, C.; Bonnefoy, R.; Boisson, R.-C.; Gergelé, L.; Féasson, L.; Martin, V. Neuromuscular Consequences of an Extreme Mountain Ultra-Marathon. PLoS ONE 2011, 6, e17059. [Google Scholar] [CrossRef]
- Linderman, J.K.; Laubach, L.L. Energy balance during 24 hours of treadmill running. J. Exerc. Physiol. Online 2004, 7, 37–44. [Google Scholar]
- Tiller, N.B.; Roberts, J.D.; Beasley, L.; Chapman, S.; Pinto, J.M.; Smith, L.; Wiffin, M.; Russell, M.; Sparks, S.A.; Duckworth, L.; et al. International Society of Sports Nutrition Position Stand: Nutritional considerations for single-stage ultra-marathon training and racing. J. Int. Soc. Sports Nutr. 2019, 16, 50. [Google Scholar] [CrossRef]
- Koehler, K.; Huelsemann, F.; de Marees, M.; Braunstein, B.; Braun, H.; Schaenzer, W. Case Study: Simulated and Real-Life Energy Expenditure During a 3-Week Expedition. Int. J. Sport Nutr. Exerc. 2011, 21, 520–526. [Google Scholar] [CrossRef]
- Colombani, P.C.; Mannhart, C.; Wenk, C.; Frey, W.O. Nutritional intake during a 244 km multisport ultraendurance race. Pak. J. Nutr. 2002, 1, 124–126. [Google Scholar] [CrossRef][Green Version]
- Bircher, S.; Enggist, A.; Jehle, T.; Knechtle, B. Effects of an extreme endurance race on energy balance and body composition—A case study. J. Sports Sci. Med. 2006, 5, 154–162. [Google Scholar]
- Knechtle, B.; Enggist, A.; Jehle, T. Energy Turnover at the Race across AMerica (RAAM)—A Case Report. Int. J. Sports Med. 2005, 26, 499–503. [Google Scholar] [CrossRef]
- Moran, S.T.; Dziedzic, C.E.; Cox, G.R. Feeding strategies of a female athlete during an ultraendurance running event. Int. J. Sport Nutr. Exerc. Metab. 2011, 21, 347–351. [Google Scholar] [CrossRef] [PubMed]
- Best, R.; McDonald, K.; Hurst, P.; Pickering, C. Can taste be ergogenic? Eur. J. Nutr. 2020, 1–10. [Google Scholar] [CrossRef] [PubMed]
- Ferraris, R.P.; Diamond, J. Regulation of intestinal sugar transport. Physiol. Rev. 1997, 77, 257–302. [Google Scholar] [CrossRef] [PubMed]
- Krogh, A.; Lindhard, J. The Relative Value of Fat and Carbohydrate as Sources of Muscular Energy: With Appendices on the Correlation between Standard Metabolism and the Respiratory Quotient during Rest and Work. Biochem. J. 1920, 14, 290–363. [Google Scholar] [CrossRef]
- Klein, S.; Coyle, E.F.; Wolfe, R.R. Fat metabolism during low-intensity exercise in endurance-trained and untrained men. Am. J. Physiol. Endocrinol. Metab. 1994, 267, E934–E940. [Google Scholar] [CrossRef]
- Jeukendrup, A.E. Regulation of Fat Metabolism in Skeletal Muscle. Ann. N. Y. Acad. Sci. 2006, 967, 217–235. [Google Scholar] [CrossRef]
- Bergman, B.C.; Brooks, G.A. Respiratory gas-exchange ratios during graded exercise in fed and fasted trained and untrained men. J. Appl. Physiol. 1999, 86, 479–487. [Google Scholar] [CrossRef]
- Achten, J.; Gleeson, M.; Jeukendrup, A.E. Determination of the exercise intensity that elicits maximal fat oxidation. Med. Sci. Sports Exerc. 2002, 34, 92–97. [Google Scholar] [CrossRef]
- Gualano, A.B.; Bozza, T.; Lopes, D. Branched-chain amino acids supplementation enhances exercise capacity and lipid oxidation during endurance exercise after muscle glycogen depletion. J. Sports 2011, 51, 82–88. [Google Scholar]
- McSwiney, F.T.; Wardrop, B.; Hyde, P.N.; Lafountain, R.A.; Volek, J.S.; Doyle, L. Keto-adaptation enhances exercise performance and body composition responses to training in endurance athletes. Metabolism 2018, 81, 25–34. [Google Scholar] [CrossRef]
- Volek, J.S.; Freidenreich, D.J.; Saenz, C.; Kunces, L.J. Metabolic characteristics of keto-adapted ultra-endurance runners. Metabolism 2016, 65, 100–110. [Google Scholar] [CrossRef] [PubMed]
- Burke, L.M.; Ross, M.L.; Garvican-Lewis, L.A.; Welvaert, M.; Heikura, I.A.; Forbes, S.G.; Mirtschin, J.G.; Cato, L.E.; Strobel, N.; Sharma, A.P.; et al. Low carbohydrate, high fat diet impairs exercise economy and negates the performance benefit from intensified training in elite race walkers. J. Physiol. 2017, 15, 3–23. [Google Scholar] [CrossRef] [PubMed]
- Qin, L.; Wong, S.H.; Sun, F.H.; Huang, Y.; Sheridan, S.; Sit, C.H.P. The effect of carbohydrate and protein co-ingestion on energy substrate metabolism, sense of effort, and affective responses during prolonged strenuous endurance exercise. Physiol. Behav. 2017, 174, 170–177. [Google Scholar] [CrossRef] [PubMed]
- Jeukendrup, A.E.; Currell, K.; Clarke, J.; Cole, J.; Blannin, A.K. Effect of beverage glucose and sodium content on fluid delivery. Nutr. Metab. 2009, 6, 9. [Google Scholar] [CrossRef]
- Rehrer, N.J. Fluid and Electrolyte Balance in Ultra-Endurance Sport. Sports Med. 2001, 31, 701–715. [Google Scholar] [CrossRef]
- Lehmann, M.; Huonker, M.; Dimeo, F.; Heinz, N.; Gastmann, U.; Treis, N.; Steinacker, J.M.; Keul, J.; Kajewski, R.; Häussinger, D. Serum Amino Acid Concentrations in Nine Athletes Before and After the 1993 Colmar Ultra Triathlon. Int. J. Sports Med. 2007, 16, 155–159. [Google Scholar] [CrossRef]
- Mischler, I.; Boirie, Y.; Gachon, P.; Pialoux, V.; Mounier, R.; Rousset, P.; Coudert, J.; Fellmann, N. Human albumin synthesis is increased by an ultra-endurance trial. Med. Sci. Sports Exerc. 2003, 35, 75–81. [Google Scholar] [CrossRef]
- Uberoi, H.S.; Dugal, J.S.; Kasthuri, A.S.; Kolhe, V.S.; Kumar, A.K.; Cruz, S.A. Acute renal failure in severe exertional rhabdomyolysis. J. Assoc. Physicians India 1991, 39, 677–679. [Google Scholar]
- Lucas, S.J.E.; Anglem, N.; Roberts, W.S.; Anson, J.G.; Palmer, C.D.; Walker, R.J.; Cook, C.J.; Cotter, J.D. Intensity and physiological strain of competitive ultra-endurance exercise in humans. J. Sports Sci. 2008, 26, 477–489. [Google Scholar] [CrossRef]
- Dill, D.B.; Costill, D.L. Calculation of percentage changes in volumes of blood, plasma, and red cells in dehydration. J. Appl. Physiol. 1974, 37, 247–248. [Google Scholar] [CrossRef]
- Gastmann, U.; Petersen, K.G.; Böcker, J.; Lehmann, M. Monitoring intensive endurance training at moderate energetic demands using resting laboratory markers failed to recognize an early overtraining stage. J. Sports Med. Phys. Fit. 1998, 38, 188–193. [Google Scholar]
- Chlíbková, D.; Knechtle, B.; Rosemann, T.; Tomášková, I.; Novotný, J.; Žákovská, A.; Uher, T. Rhabdomyolysis and exercise-associated hyponatremia in ultra-bikers and ultra-runners. J. Int. Soc. Sports Nutr. 2015, 12, 29. [Google Scholar] [CrossRef] [PubMed]
- Wichardt, E.; Mattsson, C.M.; Ekblom, B.; Henriksson-Larsén, K. Rhabdomyolysis/myoglobinemia and NSAID during 48 h ultra-endurance exercise (adventure racing). Eur. J. Appl. Physiol. 2011, 111, 1541–1544. [Google Scholar] [CrossRef] [PubMed]
- Helder, T.V.; Radomski, M.W. Sleep Deprivation and the Effect on Exercise Performance. Sports Med. 1989, 7, 235–247. [Google Scholar] [CrossRef]
- Bossi, A.H.; Matta, G.G.; Millet, G.Y.; Lima, P.; Pertence, L.C.; de Lima, J.P.; Hopker, J.G. Pacing Strategy During 24-Hour Ultramarathon-Distance Running. Int. J. Sports Physiol. Perform. 2017, 12, 590–596. [Google Scholar] [CrossRef]
- Holt, N.L.; Lee, H.; Kim, Y.; Klein, K. Exploring Experiences of Running an Ultramarathon. Sport Psychol. 2014, 28, 22–35. [Google Scholar] [CrossRef]
- Rüst, C.A.; Zingg, M.A.; Rosemann, T.; Knechtle, B. Will the age of peak ultra-marathon performance increase with increasing race duration? BMC Sports Sci. Med. Rehabil. 2014, 6, 1–15. [Google Scholar] [CrossRef]
- Rae, D.E.; Bosch, A.N.; Collins, M.; Lambert, M.I. The Interaction of Aging and 10 Years of Racing on Ultraendurance Running Performance. J. Aging Phys. Act. 2005, 13, 210–222. [Google Scholar] [CrossRef][Green Version]
- Tanaka, H.; Seals, D.R. Endurance exercise performance in Masters athletes: Age-associated changes and underlying physiological mechanisms. J. Physiol. 2008, 586, 55–63. [Google Scholar] [CrossRef]
- Kasch, F.W.; Boyer, J.L.; Camp, S.P.V.; Verity, L.S.; Wallace, J.P. The Effect of Physical Activity and Inactivity on Aerobic Power in Older Men (A Longitudinal Study). Physician Sportsmed. 1990, 18, 73–83. [Google Scholar] [CrossRef]
- Heath, G.W.; Hagberg, J.M.; Ehsani, A.A.; Holloszy, J.O. A physiological comparison of young and older endurance athletes. J. Appl. Physiol. 1981, 51, 634–640. [Google Scholar] [CrossRef] [PubMed]
- Trappe, S.; Hayes, E.; Galpin, A.; Kaminsky, L.; Jemiolo, B.; Fink, W.; Trappe, T.; Jansson, A.; Gustafsson, T.; Tesch, P. New records in aerobic power among octogenarian lifelong endurance athletes. J. Appl. Physiol. 2012, 114, 3–10. [Google Scholar] [CrossRef] [PubMed]
- Berger, N.J.; Rittweger, J.; Tolfrey, K.; Jones, A.M. Pulmonary O2 Uptake Kinetics In Sprint And Endurance Trained Master Athletes: 1896 Board #35 3:30 PM–5:00 PM. Med. Sci. Sports Exerc. 2005, 37, S362. [Google Scholar] [CrossRef]




| Day 1 | Day 7 | ||||
|---|---|---|---|---|---|
| Time | Food | Quantity | Time | Food | Quantity |
| 12:20 | Carbohydrate Drink | 250 mL | 04:50 | Activia yoghurt | 60 g |
| 12:53 | Carbohydrate Drink | 250 mL | 04:50 | Tea | 50 mL |
| 13:15 | Carbohydrate Drink | 250 mL | 07:10 | Mango, passion fruit smoothie | 100 mL |
| 13:30 | 5 grapes | 07:10 | Strawberry and banana smoothie | 100 mL | |
| 13:40 | Carbohydrate Drink | 250 mL | 08:00 | Ham Sandwich, crisps | 165 g |
| 14:05 | Carbohydrate Drink | 250 mL | 08:00 | Coffee | 300 mL |
| 14:05 | 5 grapes | 08:45 | 3 minstrels | 8 g | |
| 14:50 | Carbohydrate Drink | 250 mL | 08:50 | 3 minstrels | 8 g |
| 15:06 | Fish pie | 300 g | 08:55 | 3 minstrels | 8 g |
| 15:06 | Coffee | 250 mL | 09:34 | 3 minstrels | 8 g |
| 15:55 | Carbohydrate Drink | 250 mL | 10:20 | Mango, passion fruit smoothie | 100 mL |
| 16:20 | Carbohydrate Drink | 250 mL | 10:25 | Strawberry and banana smoothie | 100 mL |
| 16:40 | Carbohydrate Drink | 250 mL | 11:00 | 3 minstrels | 8 g |
| 17:00 | Carbohydrate Drink | 250 mL | 11:05 | Strawberry and banana smoothie | 100 mL |
| 17:21 | Carbohydrate Drink | 250 mL | 11:30 | Ham Sandwich, crisps | 210 g |
| 17:40 | Carbohydrate Drink | 250 mL | 11:30 | Coffee | 300 mL |
| 18:20 | Carbohydrate Drink | 250 mL | 13:45 | Water | 250 mL |
| 18:43 | Pasta meal with chicken | 532 g | 13:50 | Pineapple, banana and coconut smoothie | 100 mL |
| 18:43 | Coffee | 300 mL | 14:30 | 3 chocolate minstrels | 8 g |
| 19:24 | Carbohydrate Drink | 250 mL | 15:00 | Cheese sandwich, crisps | |
| 20:11 | Carbohydrate Drink | 250 mL | 16:25 | Pineapple, banana, and coconut smoothie | 100 mL |
| 21:13 | Coke | 250 mL | 16:55 | Water | 250 mL |
| 21:13 | Water | 250 mL | 16:58 | Strawberry and banana smoothie | 100 mL |
| 21:45 | Water | 250 mL | 18:00 | Mango, passion fruit smoothie | 100 mL |
| 22:16 | Rice and mince + water | 208 g | 18:15 | Strawberry and banana smoothie | 100 mL |
| 22:16 | Coffee | 300 mL | 18:30 | Sandwich | |
| 23:10 | Water | 250 mL | 18:30 | Coffee | 300 mL |
| 00:25 | Water | 250 mL | 20:00 | Strawberry and banana smoothie | 100 mL |
| 00:26 | Orange juice | 200 mL | 20:00 | Water | 250 mL |
| 01:00 | Water | 250 mL | 20:20 | Mango, passion fruit smoothie | 100 mL |
| 01:18 | Tea | 300 mL | 21:35 | Mango, passion fruit smoothie | 100 mL |
| 23:00 | Pineapple, banana, and coconut smoothie | 100 mL | |||
| 23:15 | Strawberry and banana smoothie | 100 mL | |||
| 00:05 | Water | 250 mL | |||
| 00:05 | Mango, passion fruit smoothie | 100 mL | |||
| 00:06 | 5 Grapes | ||||
| 00:20 | 5 Grapes | ||||
| Day | Total (kcal) | Energy Intake (kcal) | Absolute and Relative Intakes (g) | ||||
|---|---|---|---|---|---|---|---|
| CHO | Protein | Fat | CHO | Protein | Fat | ||
| (% Total) | (% Total) | (% Total) | (g·kg−1) | (g·kg−1) | (g·kg−1) | ||
| 1 | 3661 | 2672 | 568 | 576 | 668 | 142 | 64 |
| (73%) | (15.5%) | (15.7%) | (13.7) | (2.9) | (1.3) | ||
| 2 | 2475 | 1484 | 584 | 495 | 371 | 146 | 55 |
| (60%) | (23.6%) | (20%) | (7.6) | (3.0) | (1.1) | ||
| 3 | 2657 | 1916 | 312 | 441 | 479 | 78 | 49 |
| (72.1%) | (11.7%) | (16.6%) | (9.9) | (1.6) | (1.0) | ||
| 4 | 2901 | 2288 | 264 | 306 | 572 | 66 | 34 |
| (78.9%) | (9.1%) | (10.5%) | (11.8) | (1.4) | (0.7) | ||
| 5 | 2518 | 1496 | 312 | 693 | 374 | 78 | 77 |
| (59.4%) | (12.4%) | (27.5%) | (7.7) | (1.6) | (1.6) | ||
| 6 | 2432 | 1228 | 356 | 846 | 307 | 89 | 94 |
| (50.5%) | (14.6%) | (34.8%) | (6.3) | (1.8) | (1.9) | ||
| 7 | 2274 | 1268 | 316 | 684 | 317 | 79 | 76 |
| (55.8%) | (13.9%) | (30.1%) | (6.5) | (1.6) | (1.6) | ||
| 8 | 716 | 544 | 56 | 108 | 136 | 14 | 12 |
| (76%) | (7.8%) | (15.1%) | (2.8) | (0.3) | (0.3) | ||
| Average * | 2703 | 1765 (65%) | 387 (14%) | 577 (21%) | 441 | 97 | 64 |
| Total | 19634 | 12896 | 2768 | 4149 | 3224 | 692 | 461 |
| Day | CHO | Protein | Fat |
|---|---|---|---|
| (g·hr−1) | (g·hr−1) | (g·hr−1) | |
| 1 | 33 | 7 | 3 |
| 2 | 19 | 7 | 3 |
| 3 | 24 | 4 | 2 |
| 4 | 29 | 3 | 2 |
| 5 | 19 | 4 | 4 |
| 6 | 15 | 4 | 5 |
| 7 | 16 | 4 | 4 |
| 8 | 7 | 1 | 1 |
| Average * | 22 | 5 | 3 |
| SD | 6.9 | 1.6 | 1.0 |
© 2020 by the authors. Licensee MDPI, Basel, Switzerland. This article is an open access article distributed under the terms and conditions of the Creative Commons Attribution (CC BY) license (http://creativecommons.org/licenses/by/4.0/).
Share and Cite
Berger, N.; Cooley, D.; Graham, M.; Harrison, C.; Best, R. Physiological Responses and Nutritional Intake during a 7-Day Treadmill Running World Record. Int. J. Environ. Res. Public Health 2020, 17, 5962. https://doi.org/10.3390/ijerph17165962
Berger N, Cooley D, Graham M, Harrison C, Best R. Physiological Responses and Nutritional Intake during a 7-Day Treadmill Running World Record. International Journal of Environmental Research and Public Health. 2020; 17(16):5962. https://doi.org/10.3390/ijerph17165962
Chicago/Turabian StyleBerger, Nicolas, Daniel Cooley, Michael Graham, Claire Harrison, and Russ Best. 2020. "Physiological Responses and Nutritional Intake during a 7-Day Treadmill Running World Record" International Journal of Environmental Research and Public Health 17, no. 16: 5962. https://doi.org/10.3390/ijerph17165962
APA StyleBerger, N., Cooley, D., Graham, M., Harrison, C., & Best, R. (2020). Physiological Responses and Nutritional Intake during a 7-Day Treadmill Running World Record. International Journal of Environmental Research and Public Health, 17(16), 5962. https://doi.org/10.3390/ijerph17165962

