The Drag Crisis Phenomenon on an Elite Road Cyclist—A Preliminary Numerical Simulations Analysis in the Aero Position at Different Speeds
Abstract
1. Introduction
2. Materials and Methods
2.1. Subject
2.2. Scanning the Model
2.3. Boundary Conditions
2.4. Numerical Simulations
2.5. Outcomes
2.5.1. Drag Force
2.5.2. Reynolds Number
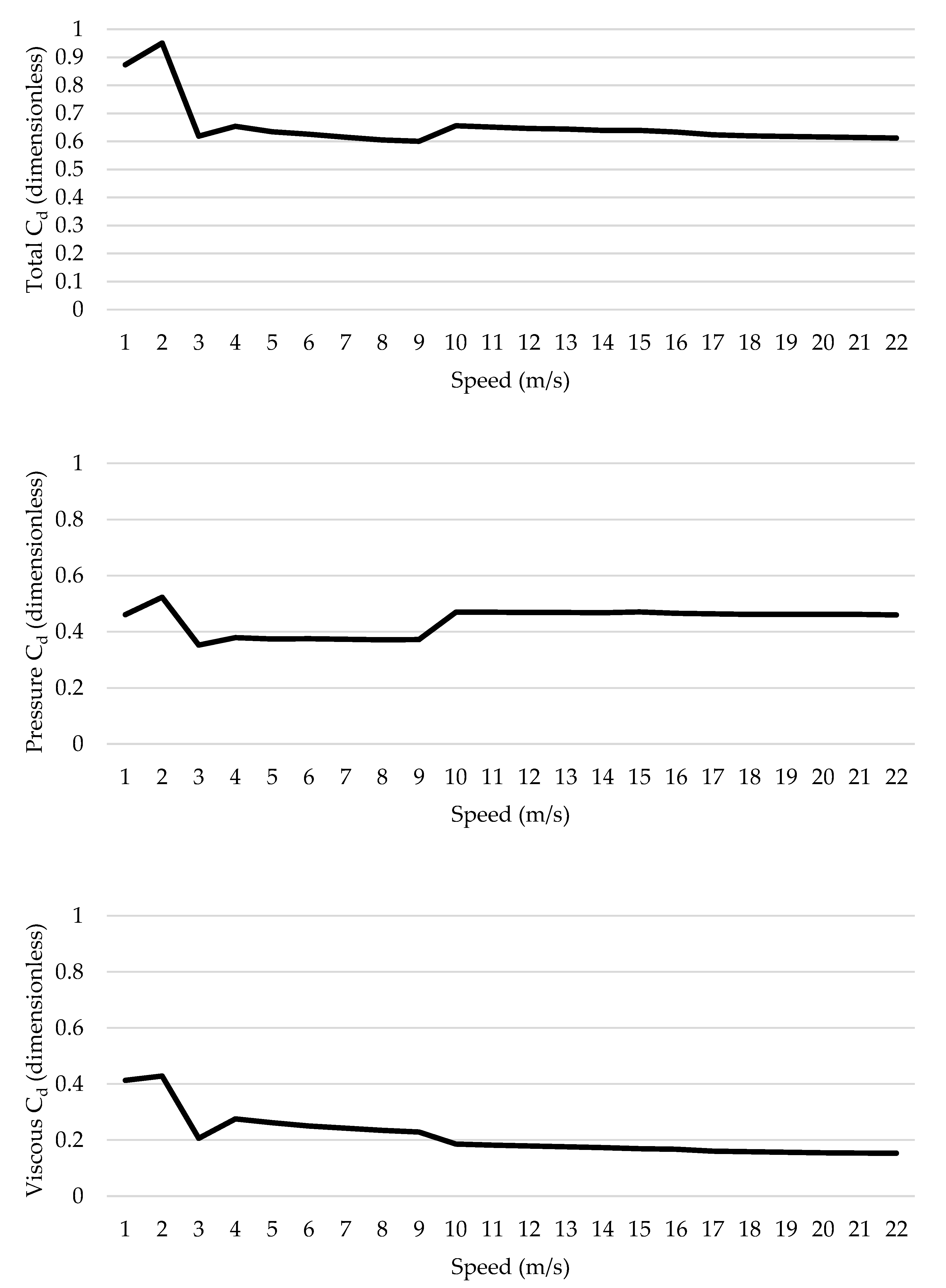
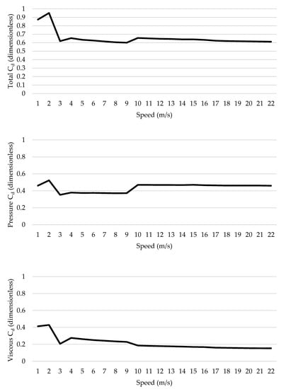
3. Results
4. Discussion
5. Conclusions
Author Contributions
Funding
Conflicts of Interest
References
- Barbosa, T.M.; Morais, J.E.; Forte, P.; Neiva, H.P.; Garrido, N.D.; Marinho, D.A. Correction: A Comparison of Experimental and Analytical Procedures to Measure Passive Drag in Human Swimming. PLoS ONE 2017, 12, e0177038. [Google Scholar] [CrossRef] [PubMed]
- Forte, P.; Barbosa, T.M.; Marinho, D.A. Technologic Appliance and Performance Concerns in Wheelchair Racing—Helping Paralympic Athletes to Excel. New Perspectives in Fluid Dynamics; Chaoqun, L., Ed.; IntechOpen: Rijeka, Croatia, 2015; pp. 101–121. [Google Scholar]
- Paton, C.; Hopkins, W.G. Variation in performance of elite cyclists from race to race. Eur. J. Sport Sci. 2006, 6, 25–31. [Google Scholar] [CrossRef]
- Martin, J.C.; Milliken, D.L.; Cobb, J.E.; McFadden, K.L.; Coggan, A.R. Validation of a Mathematical Model for Road Cycling Power. J. Appl. Biomech. 1998, 14, 276–291. [Google Scholar] [CrossRef] [PubMed]
- El Helou, N.; Berthelot, G.; Thibault, V.; Tafflet, M.; Nassif, H.; Campion, F.; Hermine, O.; Toussaint, J.-F. Tour de France, Giro, Vuelta, and classic European races show a unique progression of road cycling speed in the last 20 years. J. Sports Sci. 2010, 28, 789–796. [Google Scholar] [CrossRef] [PubMed]
- Candau, R.B.; Grappe, F.; Mernard, M.; Barbier, B.; Millet, G.Y.; Hoffman, M.D.; Belli, A.R.; Rouillon, J.D. Simplified deceleration method for assessment of resistive forces in cycling. Med. Sci. Sports Exerc. 1999, 31, 1441–1447. [Google Scholar] [CrossRef]
- Defraeye, T.; Blocken, B.; Koninckx, E.; Hespel, P.; Carmeliet, J. Aerodynamic study of different cyclist positions: CFD analysis and full-scale wind-tunnel tests. J. Biomech. 2010, 43, 1262–1268. [Google Scholar] [CrossRef]
- Debraux, P.; Grappe, F.; Manolova, A.V.; Bertucci, W. Aerodynamic drag in cycling: Methods of assessment. Sports Biomech. 2011, 10, 197–218. [Google Scholar] [CrossRef]
- Forte, P.; Marinho, D.A.; Morais, J.E.; Morouço, P.G.; Barbosa, T.M. The variations on the aerodynamics of a world-ranked wheelchair sprinter in the key-moments of the stroke cycle: A numerical simulation analysis. PLoS ONE 2018, 13, e0193658. [Google Scholar] [CrossRef]
- Forte, P.; Marinho, D.; Morais, J.E.; Morouço, P.; Barbosa, T.M. Estimation of mechanical power and energy cost in elite wheelchair racing by analytical procedures and numerical simulations. Comput. Methods Biomech. Biomed. Eng. 2018, 21, 585–592. [Google Scholar] [CrossRef]
- Beaumont, F.; Taiar, R.; Polidori, G.; Trenchard, H.; Grappe, F. Aerodynamic study of time-trial helmets in cycling racing using CFD analysis. J. Biomech. 2018, 67, 1–8. [Google Scholar] [CrossRef]
- Defraeye, T.; Blocken, B.; Koninckx, E.; Hespel, P.; Carmeliet, J. Computational fluid dynamics analysis of cyclist aerodynamics: Performance of different turbulence-modelling and boundary-layer modelling approaches. J. Biomech. 2010, 43, 2281–2287. [Google Scholar] [CrossRef] [PubMed]
- Olds, T.S.; Norton, K.I.; Lowe, E.L.; Olivé, S.; Reay, F.; Ly, S. Modeling road-cycling performance. J. Appl. Physiol. 1995, 78, 1596–1611. [Google Scholar] [CrossRef] [PubMed]
- Fintelman, D.; Sterling, M.; Hemida, H.; Li, F.X. Optimal cycling time trial position models: Aerodynamics versus power output and metabolic energy. J. Biomech. 2014, 47, 1894–1898. [Google Scholar] [CrossRef] [PubMed]
- Schlichting, H. Boundary Layer Theory; McGraw-Hill: New York, NY, USA, 1979. [Google Scholar]
- Pugh, L.G.C.E. The influence of wind resistance in running and walking and the mechanical efficiency of work against horizontal or vertical forces. J. Physiol. 1971, 213, 255–276. [Google Scholar] [CrossRef]
- Williamson, C.H. Vortex dynamics in the cylinder wake. Annu. Rev. Fluid Mech. 1996, 28, 477–539. [Google Scholar] [CrossRef]
- Perrin, R.; Braza, M.; Cid, E.; Cazin, S.; Moradei, F.; Barthet, A.; Sevrain, A.; Hoarau, Y. Near-Wake Turbulence Properties in the High Reynolds Number Incompressible Flow Around a Circular Cylinder Measured by Two- and Three-Component PIV. Flow, Turbul. Combust. 2006, 77, 185–204. [Google Scholar] [CrossRef]
- Rodriguez, I.; Lehmkuhl, O.; Chiva, J.; Borrell, R.; Oliva, A. On the flow past a circular cylinder from critical to super-critical Reynolds numbers: Wake topology and vortex shedding. Int. J. Heat Fluid Flow 2015, 55, 91–103. [Google Scholar] [CrossRef]
- Scarano, F.; Terra, W.; Sciacchitano, A. Investigation of the drag crisis on the leg of a cycling mannequin by means of robotic volumetric PIV. In Proceedings of the 15th International Conference on Fluid Control, Measurements and Visualization, Napoles, Italy, 27–30 May 2019; pp. 1–9. [Google Scholar]
- Vakarelski, I.U.; Chan, D.Y.C.; Thoroddsen, S.T. Leidenfrost vapour layer moderation of the drag crisis and trajectories of superhydrophobic and hydrophilic spheres falling in water. Soft Matter 2014, 10, 5662–5668. [Google Scholar] [CrossRef]
- Geier, M.; Pasquali, A.; Schönherr, M. Parametrization of the cumulant lattice Boltzmann method for fourth order accurate diffusion part II: Application to flow around a sphere at drag crisis. J. Comput. Phys. 2017, 348, 889–898. [Google Scholar] [CrossRef]
- Terra, W.; Sciacchitano, A.; Scarano, F. Cyclist Reynolds number effects and drag crisis distribution. J. Wind. Eng. Ind. Aerodyn. 2020, 200, 104143. [Google Scholar] [CrossRef]
- Forte, P.; Marinho, D.A.; Nikolaidis, P.T.; Knechtle, B.; Barbosa, T.M.; Costa, M.J. Analysis of Cyclist’s Drag on the Aero Position Using Numerical Simulations and Analytical Procedures: A Case Study. Int. J. Environ. Res. Public Health 2020, 17, 3430. [Google Scholar] [CrossRef] [PubMed]
- Forte, P.; Marinho, D.A.; Barbosa, T.M.; Morouço, P.; Morais, J.E. Estimation of an Elite Road Cyclist Performance in Different Positions Based on Numerical Simulations and Analytical Procedures. Front. Bioeng. Biotechnol. 2020, 8, 538. [Google Scholar] [CrossRef] [PubMed]
- Forte, P.; Marinho, D.A.; Silveira, R.; Barbosa, T.M.; Costa, M.J. The Aerodynamics and Energy Cost Assessment of an Able-Bodied Cyclist and Amputated Models by Computer Fluid Dynamics. Medicina 2020, 56, 241. [Google Scholar] [CrossRef] [PubMed]
- Forte, P.; Marinho, D.A.; Barbosa, T.M.; Morais, J.E. Analysis of a normal and aero helmet on an elite cyclist in the dropped position. AIMS Biophys. 2020, 7, 54–64. [Google Scholar] [CrossRef]
- Blocken, B.; Defraeye, T.; Koninckx, E.; Carmeliet, J.; Hespel, P. CFD simulations of the aerodynamic drag of two drafting cyclists. Comput. Fluids 2013, 71, 435–445. [Google Scholar] [CrossRef]
- Goff, J.E.; Kelley, J.; Hobson, C.M.; Seo, K.; Asai, T.; Choppin, S.B. Creating drag and lift curves from soccer trajectories. Eur. J. Phys. 2017, 38, 044003. [Google Scholar] [CrossRef]
- Yang, F.; An, H.; Cheng, L. Drag crisis of a circular cylinder near a plane boundary. Ocean Eng. 2018, 154, 133–142. [Google Scholar] [CrossRef]
- Crouch, T.; Burton, D.; Labry, Z.A.; Blair, K.B. Riding against the wind: A review of competition cycling aerodynamics. Sports Eng. 2017, 20, 81–110. [Google Scholar] [CrossRef]
- Blocken, B.; Van Druenen, T.; Toparlar, Y.; Andrianne, T. Aerodynamic analysis of different cyclist hill descent positions. J. Wind. Eng. Ind. Aerodyn. 2018, 181, 27–45. [Google Scholar] [CrossRef]
- Gibertini, G.; Grassi, D. Cycling Aerodynamics; Nørstrud, H., Ed.; Springer: Vienna, Austria, 2008; pp. 23–47. [Google Scholar]


© 2020 by the authors. Licensee MDPI, Basel, Switzerland. This article is an open access article distributed under the terms and conditions of the Creative Commons Attribution (CC BY) license (http://creativecommons.org/licenses/by/4.0/).
Share and Cite
Forte, P.; Morais, J.E.; P. Neiva, H.; Barbosa, T.M.; Marinho, D.A. The Drag Crisis Phenomenon on an Elite Road Cyclist—A Preliminary Numerical Simulations Analysis in the Aero Position at Different Speeds. Int. J. Environ. Res. Public Health 2020, 17, 5003. https://doi.org/10.3390/ijerph17145003
Forte P, Morais JE, P. Neiva H, Barbosa TM, Marinho DA. The Drag Crisis Phenomenon on an Elite Road Cyclist—A Preliminary Numerical Simulations Analysis in the Aero Position at Different Speeds. International Journal of Environmental Research and Public Health. 2020; 17(14):5003. https://doi.org/10.3390/ijerph17145003
Chicago/Turabian StyleForte, Pedro, Jorge E. Morais, Henrique P. Neiva, Tiago M. Barbosa, and Daniel A. Marinho. 2020. "The Drag Crisis Phenomenon on an Elite Road Cyclist—A Preliminary Numerical Simulations Analysis in the Aero Position at Different Speeds" International Journal of Environmental Research and Public Health 17, no. 14: 5003. https://doi.org/10.3390/ijerph17145003
APA StyleForte, P., Morais, J. E., P. Neiva, H., Barbosa, T. M., & Marinho, D. A. (2020). The Drag Crisis Phenomenon on an Elite Road Cyclist—A Preliminary Numerical Simulations Analysis in the Aero Position at Different Speeds. International Journal of Environmental Research and Public Health, 17(14), 5003. https://doi.org/10.3390/ijerph17145003

