Coital Frequency and the Probability of Pregnancy in Couples Trying to Conceive Their First Child: A Prospective Cohort Study in Japan
Abstract
1. Introduction
2. Materials and Methods
2.1. Eligibility Criteria
2.2. Study Procedure
2.3. Laboratory Analysis
2.4. Estimating Day of Ovulation and the Fertile Period
2.5. Measures of Coital Frequency
2.6. Statistical Analyses
3. Results
3.1. Descriptive Results
3.1.1. Participant Characteristics
3.1.2. Pregnancy Outcomes by 24-Week and Two-Year Follow-Up
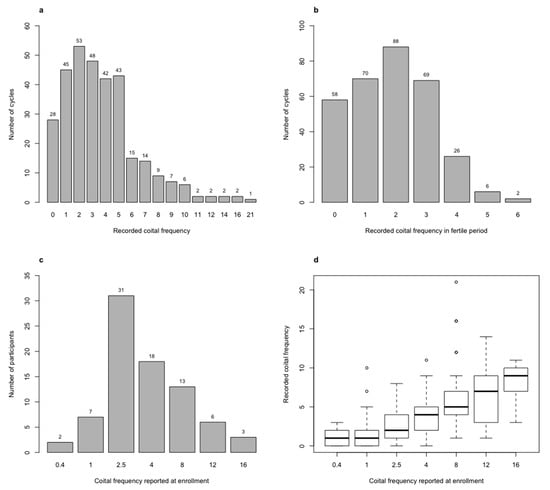
3.1.3. Estimated Day of Ovulation, Fertile Period, and Coital Activity
3.2. Determinants of Probability of Pregnancy
3.3. Infertility Treatment
4. Discussion
5. Conclusions
Supplementary Materials
Author Contributions
Funding
Acknowledgments
Conflicts of Interest
References
- Population Reference Bureau. International Indicators: Total Fertility Rate—PRB. Available online: https://www.prb.org/international/indicator/fertility/table (accessed on 6 February 2020).
- National Institute of Population and Social Security Research. Marriage and Childbirth in Japan Today: The Fifteenth Japanese National Fertility Survey, 2015 (Part III Results of Singles and Married Couples Survey). Available online: http://www.ipss.go.jp/ps-doukou/j/doukou15/NFS15_report5.pdf (accessed on 8 December 2017).
- Dyer, S.; Chambers, G.M.; de Mouzon, J.; Nygren, K.G.; Zegers-Hochschild, F.; Mansour, R.; Ishihara, O.; Banker, M.; Adamson, G.D. International Committee for Monitoring Assisted Reproductive Technologies world report: Assisted Reproductive Technology 2008, 2009 and 2010. Hum. Reprod. 2016, 31, 1588–1609. [Google Scholar] [CrossRef]
- Japan Society of Obstetrics and Gynecology. Infertility (Funinsho). Available online: http://www.jsog.or.jp/modules/diseases/index.php?content_id=15 (accessed on 22 April 2020). (In Japanese).
- Konishi, S.; Sakata, S.; Oba, S.M.; O’Connor, K.A. Age and time to pregnancy for the first child among couples in Japan. J. Popul. Stud. 2018, 54, 1–18. [Google Scholar]
- Howe, G.; Westhoff, C.; Vessey, M.; Yeates, D. Effects of age, cigarette smoking, and other factors on fertility: Findings in a large prospective study. Br. Med. J. (Clin. Res. Ed.) 1985, 290, 1697–1700. [Google Scholar] [CrossRef]
- Van Noord-Zaadstra, B.M.; Looman, C.W.; Alsbach, H.; Habbema, J.D.; te Velde, E.R.; Karbaat, J. Delaying childbearing: Effect of age on fecundity and outcome of pregnancy. Br. Med. J. 1991, 302, 1361–1365. [Google Scholar] [CrossRef]
- O’Connor, K.A.; Holman, D.J.; Wood, J.W. Declining fecundity and ovarian ageing in natural fertility populations. Maturitas 1998, 30, 127–136. [Google Scholar] [CrossRef]
- Dunson, D.B.; Baird, D.D.; Colombo, B. Increased infertility with age in men and women. Obstet. Gynecol. 2004, 103, 51–56. [Google Scholar] [CrossRef]
- Rothman, K.J.; Wise, L.A.; Sørensen, H.T.; Riis, A.H.; Mikkelsen, E.M.; Hatch, E.E. Volitional determinants and age-related decline in fecundability: A general population prospective cohort study in Denmark. Fertil. Steril. 2013, 99, 1958–1964. [Google Scholar] [CrossRef]
- Steiner, A.Z.; Jukic, A.M.Z. Impact of female age and nulligravidity on fecundity in an older reproductive age cohort. Fertil. Steril. 2016, 105, 1584–1588.e1. [Google Scholar] [CrossRef]
- Wesselink, A.K.; Rothman, K.J.; Hatch, E.E.; Mikkelsen, E.M.; Sørensen, H.T.; Wise, L.A. Age and fecundability in a North American preconception cohort study. Am. J. Obstet. Gynecol. 2017, 217, 667.e1–667.e8. [Google Scholar] [CrossRef]
- Soules, M.R.; Sherman, S.; Parrott, E.; Rebar, R.; Santoro, N.; Utian, W.; Woods, N. Executive summary: Stages of Reproductive Aging Workshop (STRAW). Climacteric 2001, 4, 267–272. [Google Scholar] [CrossRef]
- Harlow, S.D.; Gass, M.; Hall, J.E.; Lobo, R.; Maki, P.; Rebar, R.W.; Sherman, S.; Sluss, P.M.; De Villiers, T.J. Executive summary of the stages of reproductive aging workshop + 10: Addressing the unfinished agenda of staging reproductive aging. J. Clin. Endocrinol. Metab. 2012, 97, 1159–1168. [Google Scholar] [CrossRef] [PubMed]
- Broekmans, F.J.; Soules, M.R.; Fauser, B.C. Ovarian aging: Mechanisms and clinical consequences. Endocr. Rev. 2009, 30, 465–493. [Google Scholar] [CrossRef] [PubMed]
- Iwase, A.; Osuka, S.; Goto, M.; Murase, T.; Nakamura, T.; Takikawa, S.; Kikkawa, F. Clinical application of serum anti-Müllerian hormone as an ovarian reserve marker: A review of recent studies. J. Obstet. Gynaecol. Res. 2018, 44, 998–1006. [Google Scholar] [CrossRef] [PubMed]
- Anderson, R.A.; Nelson, S.M.; Wallace, W.H.B. Measuring anti-Müllerian hormone for the assessment of ovarian reserve: When and for whom is it indicated? Maturitas 2012, 71, 28–33. [Google Scholar] [CrossRef] [PubMed]
- Broer, S.L.; Eijkemans, M.J.C.; Scheffer, G.J.; van Rooij, I.A.J.; de Vet, A.; Themmen, A.P.N.; Laven, J.S.E.; de Jong, F.H.; te Velde, E.R.; Fauser, B.C.; et al. Anti-Müllerian Hormone Predicts Menopause: A Long-Term Follow-Up Study in Normoovulatory Women. J. Clin. Endocrinol. Metab. 2011, 96, 2532–2539. [Google Scholar] [CrossRef] [PubMed]
- Imterat, M.; Agarwal, A.; Esteves, S.C.; Meyer, J.; Harlev, A. Impact of Body Mass Index on female fertility and ART outcomes. Panminerva Med. 2019, 61, 58–67. [Google Scholar] [CrossRef]
- Ministry of Health Labour and Welfare. Summary of the National Health and Nutrition Survey 2015; Ministry of Health Labour and Welfare: Tokyo, Japan, 2016.
- Bolúmar, F.; Olsen, J.; Rebagliato, M.; Sáez-Lloret, I.; Bisanti, L. Body mass index and delayed conception: A European multicenter study on infertility and subfecundity. Am. J. Epidemiol. 2000, 151, 1072–1079. [Google Scholar] [CrossRef]
- Zaadstra, B.M.; Seidell, J.C.; Van Noord, P.A.; te Velde, E.R.; Habbema, J.D.; Vrieswijk, B.; Karbaat, J.; Zaadstra, B.M.; Vrieswijk, B.; te Velde, E.R.; et al. Fat and female fecundity: Prospective study of effect of body fat distribution on conception rates. Br. Med. J. 1993, 306, 484–487. [Google Scholar] [CrossRef]
- Gesink Law, D.C.D.C.; Maclehose, R.F.F.; Longnecker, M.P.P. Obesity and time to pregnancy. Hum. Reprod. 2007, 22, 414–420. [Google Scholar] [CrossRef]
- Cai, J.; Liu, L.; Zhang, J.; Qiu, H.; Jiang, X.; Li, P.; Sha, A.; Ren, J. Low body mass index compromises live birth rate in fresh transfer in vitro fertilization cycles: A retrospective study in a Chinese population. Fertil. Steril. 2017, 107, 422–429.e2. [Google Scholar] [CrossRef]
- Kawwass, J.F.; Kulkarni, A.D.; Hipp, H.S.; Crawford, S.; Kissin, D.M.; Jamieson, D.J. Extremities of body mass index and their association with pregnancy outcomes in women undergoing in vitro fertilization in the United States. Fertil. Steril. 2016, 106, 1742–1750. [Google Scholar] [CrossRef] [PubMed]
- Wood, J.W. Dynamics of Human Reproduction; Aldine de Gruyter: New York, NY, USA, 1994. [Google Scholar]
- Moriki, Y.; Hayashi, K.; Matsukura, R. Sexless Marriages in Japan: Prevalence and Reasons. In Low Fertility and Reproductive Health in East Asia; Ogawa, N., Shah, I.H., Eds.; Springer: Dordrecht, The Netherlands, 2015; pp. 161–186. ISBN 978-94-017-9225-7. [Google Scholar]
- McKinnon, C.J.; Hatch, E.E.; Rothman, K.J.; Mikkelsen, E.M.; Wesselink, A.K.; Hahn, K.A.; Wise, L.A. Body mass index, physical activity and fecundability in a North American preconception cohort study. Fertil. Steril. 2016, 106, 451–459. [Google Scholar] [CrossRef] [PubMed]
- Steiner, A.Z.; Herring, A.H.; Kesner, J.S.; Meadows, J.W.; Stanczyk, F.Z.; Hoberman, S.; Baird, D.D. Antimüllerian hormone as a predictor of natural fecundability in women aged 30–42 years. Obstet. Gynecol. 2011, 117, 798–804. [Google Scholar] [CrossRef] [PubMed]
- O’Connor, K.A.; Brindle, E.; Holman, D.J.; Klein, N.; Soules, M.; Campbell, K.; Kohen, F.; Munro, C.; Shofer, J.; Lasley, B.; et al. Urinary estrone conjugate and pregnanediol 3-glucuronide enzyme immunoassays for population research. Clin. Chem. 2003, 49, 1139–1148. [Google Scholar] [CrossRef] [PubMed]
- Shimizu, K.; Mouri, K. Enzyme immunoassays for water-soluble steroid metabolites in the urine and feces of Japanese macaques (Macaca fuscata) using a simple elution method. J. Vet. Med. Sci. 2018, 80, 1138–1145. [Google Scholar] [CrossRef] [PubMed]
- O’Connor, K.; Brindle, E.; Shofer, J.; Miller, R.; Klein, N.; Soules, M.; Campbell, K.; Mar, C.; Handcock, M. Statistical correction for non-parallelism in a urinary enzyme immunoassay. J. Immunoass. Immunochem. 2004, 25, 259–278. [Google Scholar] [CrossRef]
- Miller, R.; Brindle, E.; Holman, D.J.; Shofer, J.; Klein, N.; Soules, M.; O’Connor, K.A. Comparison of specific gravity and creatinine for normalizing urinary reproductive hormone concentrations. Clin. Chem. 2004, 50, 924–932. [Google Scholar] [CrossRef]
- R Core Team. R: A Language and Environment for Statistical Computing. Available online: https://www.r-project.org/ (accessed on 9 July 2020).
- Bonde, J.P.E.; Ernst, E.; Jensen, T.K.; Hjollund, N.H.I.; Kolstad, H.; Scheike, T.; Giwercman, A.; Skakkebæk, N.E.; Henriksen, T.B.; Olsen, J. Relation between semen quality and fertility: A population-based study of 430 first-pregnancy planners. Lancet 1998, 352, 1172–1177. [Google Scholar] [CrossRef]
- Gnoth, C.; Godehardt, D.; Godehardt, E.; Frank-Herrmann, P.; Freundl, G. Time to pregnancy: Results of the German prospective study and impact on the management of infertility. Hum. Reprod. 2003, 18, 1959–1966. [Google Scholar] [CrossRef]
- Wilcox, A.J.; Weinberg, C.R.; O’Connor, J.F.; Baird, D.D.; Schlatterer, J.P.; Canfield, R.E.; Armstrong, E.G.; Nisula, B.C. Incidence of early loss of pregnancy. N. Engl. J. Med. 1988, 319, 189–194. [Google Scholar] [CrossRef]
- Gaskins, A.J.; Sundaram, R.; Buck Louis, G.M.; Chavarro, J.E. Predictors of Sexual Intercourse Frequency Among Couples Trying to Conceive. J. Sex. Med. 2018, 15, 519–528. [Google Scholar] [CrossRef] [PubMed]
- Konishi, S.; Tamaki, E. Pregnancy intention and contraceptive use among married and unmarried women in Japan. Jpn. J. Health Hum. Ecol. 2016, 82, 110–124. [Google Scholar] [CrossRef]
- Wise, L.A.; Palmer, J.R.; Rosenberg, L. Body size and time-to-pregnancy in black women. Hum. Reprod. 2013, 28, 2856–2864. [Google Scholar] [CrossRef] [PubMed]
- Veleva, Z.; Tiitinen, A.; Vilska, S.; Hydén-Granskog, C.; Tomás, C.; Martikainen, H.; Tapanainen, J.S. High and low BMI increase the risk of miscarriage after IVF/ICSI and FET. Hum. Reprod. 2008, 23, 878–884. [Google Scholar] [CrossRef] [PubMed]
- Depmann, M.; Broer, S.L.; Eijkemans, M.J.C.; van Rooij, I.A.J.; Scheffer, G.J.; Heimensem, J.; Mol, B.W.; Broekmans, F.J.M. Anti-Müllerian hormone does not predict time to pregnancy: Results of a prospective cohort study. Gynecol. Endocrinol. 2017, 33, 644–648. [Google Scholar] [CrossRef] [PubMed]
- Hagen, C.P.; Vestergaard, S.; Juul, A.; Skakkebæk, N.E.; Andersson, A.-M.; Main, K.M.; Hjøllund, N.H.; Ernst, E.; Bonde, J.P.; Anderson, R.A.; et al. Low concentration of circulating antimüllerian hormone is not predictive of reduced fecundability in young healthy women: A prospective cohort study. Fertil. Steril. 2012, 98, 1602–1608.e2. [Google Scholar] [CrossRef]
- Hvidman, H.W.W.; Bentzen, J.G.G.; Thuesen, L.L.L.; Lauritsen, M.P.P.; Forman, J.L.L.; Loft, A.; Pinborg, A.; Nyboe Andersen, A. Infertile women below the age of 40 have similar anti-Müllerian hormone levels and antral follicle count compared with women of the same age with no history of infertility. Hum. Reprod. 2016, 31, 1034–1045. [Google Scholar] [CrossRef]
- Bradbury, R.A.; Lee, P.; Smith, H.C. Elevated anti-Mullerian hormone in lean women may not indicate polycystic ovarian syndrome. Aust. New Zeal. J. Obstet. Gynaecol. 2017, 57, 552–557. [Google Scholar] [CrossRef]

| Variable | Total (n = 80) | Natural Conception in 24-Weeks | Conception in Two-Years 3 | ||
|---|---|---|---|---|---|
| No (n = 45) | Yes (n = 35) | No (n = 17) | Yes (n = 59) | ||
| Observed Number of Menstrual Cycles | 5.0 (2.0, 6.0) | 6.0 (5.0, 7.0) | 2.0 (1.5, 3.5) | - | - |
| Age (Year) | 29.5 (2.7) | 29.9 (2.8) | 28.9 (2.6) | 30.4 (2.1) | 29.3 (2.9) |
| Partner’s Age (Year) | 31.8 (4.7) | 31.9 (5.0) | 31.7 (4.4) | 32.6 (6.1) | 31.1 (3.9) |
| BMI (kg/m2) | 20.8 (2.4) | 21.0 (2.0) | 20.4 (2.8) | 21.5 (2.4) | 20.5 (2.4) |
| 15.9–19.4 | 27 (34%) | 12 (27%) | 15 (43%) | 3 (18%) | 23 (39%) |
| 19.4–21.6 | 26 (33%) | 16 (36%) | 10 (29%) | 6 (35%) | 19 (32%) |
| 21.6–28.9 | 27 (34%) | 17 (38%) | 10 (29%) | 8 (47%) | 17 (29%) |
| DUI (Month) | 6 (3, 18) | 6 (3, 24) | 6 (3, 13) | 7 (3, 20) | 6 (3, 14) |
| <12 | 50 (63%) | 25 (56%) | 25 (71%) | 10 (59%) | 38 (64%) |
| 12–23 | 14 (18%) | 5 (11%) | 9 (26%) | 3 (18%) | 11 (19%) |
| 24+ | 11 (14%) | 10 (22%) | 1 (3%) | 3 (18%) | 6 (10%) |
| Do not remember | 5 (6%) | 5 (11%) | 0 (0%) | 1 (6%) | 4 (7%) |
| Smoking | |||||
| Never | 67 (84%) | 39 (87%) | 28 (80%) | 14 (82%) | 50 (85%) |
| Quit | 9 (11%) | 4 (9%) | 5 (14%) | 2 (12%) | 7 (12%) |
| Current | 4 (5%) | 2 (4%) | 2 (6%) | 1 (6%) | 2 (3%) |
| Partner’s Smoking | |||||
| Never | 48 (60%) | 27 (60%) | 21 (60%) | 12 (71%) | 34 (58%) |
| Quit | 15 (19%) | 7 (16%) | 8 (23%) | 2 (12%) | 12 (20%) |
| Current | 17 (21%) | 11 (24%) | 6 (17%) | 3 (18%) | 13 (22%) |
| Gravidity | |||||
| Gravid | 15 (19%) | 8 (18%) | 7 (20%) | 3 (18%) | 10 (17%) |
| Nulligravid 1 | 65 (81%) | 37 (82%) | 28(80%) | 14 (82%) | 49 (83%) |
| Serum AMH (ng/mL) | 5.1 (2.8, 8.0) | 5.6 (2.7, 8.6) | 4.4 (2.8, 6.8) | 5.8 (4.1, 9.3) | 4.8 (2.9, 7.7) |
| dCoital Frequency 2 | 3.3 (2.5, 8.0) | 2.5 (2.5, 4.0) | 4.0 (2.5, 8.0) | 4.0 (2.5, 8.0) | 4.0 (2.5, 8.0) |
| Predictors | Model 1 | Model 2 | Model 3 |
|---|---|---|---|
| Individual Factors | |||
| Age (Ref.: 23–28) | |||
| 29–30 | 0.34 (0.06, 1.93) | 0.25 (0.05, 1.32) | 0.26 (0.05, 1.25) |
| 31–34 | 0.23 (0.04, 1.34) | 0.26 (0.05, 1.24) | 0.26 (0.06, 1.13) |
| BMI (Ref.:19.4–21.5) | |||
| 15.9–19.4 | 3.40 (0.54, 21.3) | 2.61 (0.51, 13.4) | 2.46 (0.53, 11.3) |
| 21.5–28.9 | 0.72 (0.13, 3.96) | 0.64 (0.13, 3.0) | 0.58 (0.14, 2.47) |
| AMH, 0.18–3.17 ng/mL | |||
| 3.18 to 6.13 ng/mL | 0.81 (0.16, 4.08) | 0.59 (0.13, 2.59) | 0.47 (0.11, 1.98) |
| 6.14 to 34 ng/mL | 0.40 (0.08, 2.10) | 0.27 (0.05, 1.34) | 0.28 (0.06, 1.22) |
| Coital frequency reported at enrollment | - | - | 1.23 (1.02, 1.47) |
| Cycle Factors | |||
| Recorded coital frequency in fertile period † | 1.70 (1.05, 2.74) | - | - |
| Recorded coital frequency in a cycle | - | 1.25 (1.04, 1.50) | - |
© 2020 by the authors. Licensee MDPI, Basel, Switzerland. This article is an open access article distributed under the terms and conditions of the Creative Commons Attribution (CC BY) license (http://creativecommons.org/licenses/by/4.0/).
Share and Cite
Konishi, S.; Saotome, T.T.; Shimizu, K.; Oba, M.S.; O’Connor, K.A. Coital Frequency and the Probability of Pregnancy in Couples Trying to Conceive Their First Child: A Prospective Cohort Study in Japan. Int. J. Environ. Res. Public Health 2020, 17, 4985. https://doi.org/10.3390/ijerph17144985
Konishi S, Saotome TT, Shimizu K, Oba MS, O’Connor KA. Coital Frequency and the Probability of Pregnancy in Couples Trying to Conceive Their First Child: A Prospective Cohort Study in Japan. International Journal of Environmental Research and Public Health. 2020; 17(14):4985. https://doi.org/10.3390/ijerph17144985
Chicago/Turabian StyleKonishi, Shoko, Tomoko T. Saotome, Keiko Shimizu, Mari S. Oba, and Kathleen A. O’Connor. 2020. "Coital Frequency and the Probability of Pregnancy in Couples Trying to Conceive Their First Child: A Prospective Cohort Study in Japan" International Journal of Environmental Research and Public Health 17, no. 14: 4985. https://doi.org/10.3390/ijerph17144985
APA StyleKonishi, S., Saotome, T. T., Shimizu, K., Oba, M. S., & O’Connor, K. A. (2020). Coital Frequency and the Probability of Pregnancy in Couples Trying to Conceive Their First Child: A Prospective Cohort Study in Japan. International Journal of Environmental Research and Public Health, 17(14), 4985. https://doi.org/10.3390/ijerph17144985

