Post-Traumatic Stress Disorder in Homeless Migrant Mothers of the Paris Region Shelters
Abstract
1. Introduction
2. Methods
2.1. Population Study
2.2. Survey Design
2.3. Ethics
2.4. Data Collection
2.5. Variables Used
2.6. Statistical Analysis
3. Results
3.1. Study Population Characteristics
3.2. Factors Identified as Associated with PTSD
3.3. Multivariate Analysis
4. Discussion
5. Conclusions
Author Contributions
Funding
Acknowledgments
Conflicts of Interest
References
- North, C.S.; Surís, A.M.; Smith, R.P.; King, R.V. The evolution of PTSD criteria across editions of DSM. Ann. Clin. Psychiatry 2016, 28, 197–208. [Google Scholar] [PubMed]
- Gootzeit, J.; Markon, K. Factors of PTSD: Differential specificity and external correlates. Clin. Psychol. Rev. 2011, 31, 993–1003. [Google Scholar] [CrossRef] [PubMed]
- Bassuk, E.L.; Buckner, J.C.; Perloff, J.N.; Bassuk, S.S. Prevalence of mental health and substance use disorders among homeless and low-income housed mothers. Am. J. Psychiatry 1998, 155, 1561–1564. [Google Scholar] [CrossRef] [PubMed]
- Tinland, A.; Boyer, L.; Loubière, S.; Greacen, T.; Girard, V.; Boucekine, M.; Fond, G.; Auquier, P. Victimization and posttraumatic stress disorder in homeless women with mental illness are associated with depression, suicide, and quality of life. Neuropsychiatr. Dis. Treat. 2018, 14, 2269–2279. [Google Scholar] [CrossRef]
- Husky, M.M.; Lépine, J.-P.; Gasquet, I.; Kovess-Masfety, V. Exposure to Traumatic Events and Posttraumatic Stress Disorder in France: Results From the WMH Survey. J. Trauma. Stress 2015, 28, 275–282. [Google Scholar] [CrossRef]
- Bender, K.; Brown, S.M.; Thompson, S.J.; Ferguson, K.M.; Langenderfer, L. Multiple victimizations before and after leaving home associated with PTSD, depression, and substance use disorder among homeless youth. Child Maltreat. 2015, 20, 115–124. [Google Scholar] [CrossRef]
- Salem, B.E.; Brecht, M.-L.; Ekstrand, M.L.; Faucette, M.; Nyamathi, A.M. Correlates of physical, psychological, and social frailty among formerly incarcerated, homeless women. Health Care Women Int. 2019, 40, 788–812. [Google Scholar] [CrossRef]
- McFarlane, A.C. Posttraumatic stress disorder: A model of the longitudinal course and the role of risk factors. J. Clin. Psychiatry 2000, 61 (Suppl. 5), 15–20. [Google Scholar]
- Observatoire National de la Pauvreté et de L’exclusion Sociale. Le Rapport de l’Observatoire National de la Pauvreté et de L’exclusion Sociale 2009–2010—Bilan de 10 ans D’observation de la Pauvreté et de L’exclusion Sociale à L’heure de la Crise; Direction de L’information Légale et Administrative: Paris, France, 2010. [Google Scholar]
- An Overview of Housing Exclusion in Europe, 2015. FEANTSA. Available online: https://www.feantsaresearch.org/en/report/2018/03/21/the-second-overview-of-housing-exclusion-in-europe-2017 (accessed on 21 March 2018).
- Fazel, M.; Wheeler, J.; Danesh, J. Prevalence of serious mental disorder in 7000 refugees resettled in western countries: A systematic review. Lancet 2005, 365, 1309–1314. [Google Scholar] [CrossRef]
- Steel, Z.; Silove, D.; Chey, T.; Bauman, A.; Phan, T.; Phan, T. Mental disorders, disability and health service use amongst Vietnamese refugees and the host Australian population. Acta Psychiatr. Scand. 2005, 111, 300–309. [Google Scholar] [CrossRef]
- Turner, S.W.; Bowie, C.; Dunn, G.; Shapo, L.; Yule, W. Mental health of Kosovan Albanian refugees in the U.K. Br. J. Psychiatry J. Ment. Sci. 2003, 182, 444–448. [Google Scholar] [CrossRef]
- Lindert, J.; von Ehrenstein, O.S.; Priebe, S.; Mielck, A.; Brähler, E. Depression and anxiety in labor migrants and refugees—A systematic review and meta-analysis. Soc. Sci. Med. 2009, 69, 246–257. [Google Scholar] [CrossRef] [PubMed]
- Fortuna, L.R.; Porche, M.V.; Alegria, M. Political violence, psychosocial trauma, and the context of mental health services use among immigrant Latinos in the United States. Ethn. Health 2008, 13, 435–463. [Google Scholar] [CrossRef] [PubMed]
- Kaltman, S.; Green, B.L.; Mete, M.; Shara, N.; Miranda, J. Trauma, Depression, and Comorbid PTSD/Depression in a Community Sample of Latina Immigrants. Psychol. Trauma Theory Res. Pract. Policy 2010, 2, 31–39. [Google Scholar] [CrossRef] [PubMed]
- Aragona, M.; Pucci, D.; Mazzetti, M.; Geraci, S. Post-migration living difficulties as a significant risk factor for PTSD in immigrants: A primary care study. ResearchGate 2012, 9, e7525–e7528. [Google Scholar] [CrossRef]
- Carswell, K.; Blackburn, P.; Barker, C. The relationship between trauma, post-migration problems and the psychological well-being of refugees and asylum seekers. Int. J. Soc. Psychiatry 2011, 57, 107–119. [Google Scholar] [CrossRef]
- Li, S.S.Y.; Liddell, B.J.; Nickerson, A. The Relationship Between Post-Migration Stress and Psychological Disorders in Refugees and Asylum Seekers. Curr Psychiatry Rep. 2016, 18, 82. [Google Scholar] [CrossRef]
- Vandentorren, S.; Le Méner, E.; Oppenchaim, N.; Arnaud, A.; Jangal, C.; Caum, C.; Vuillermoz, C.; Martin-Fernandez, J.; Lioret, S.; Roze, M.; et al. Characteristics and health of homeless families: The ENFAMS survey in the Paris region, France 2013. Eur. J. Public Health 2016, 26, 71–76. [Google Scholar] [CrossRef]
- Hill, R.P. Homeless Children: Coping with Material Losses. J. Consum. Aff. 1992, 26, 274–287. [Google Scholar] [CrossRef]
- Coates, J.; McKenzie-Mohr, S. Out of the Frying Pan, into the Fire: Trauma in the Lives of Homeless Youth Prior to and during Homelessness. J. Sociol. Soc. Welf. 2010, 37, 65. [Google Scholar]
- Seng, J.S.; Clark, M.K.; McCarthy, A.M.; Ronis, D.L. PTSD and physical comorbidity among women receiving Medicaid: Results from service-use data. J Trauma. Stress 2006, 19, 45–56. [Google Scholar] [CrossRef] [PubMed][Green Version]
- Twamley, E.W.; Allard, C.B.; Thorp, S.R.; Norman, S.B.; Hami Cissell, S.; Hughes Berardi, K.; Grimes, E.M.; Stein, M.B. Cognitive impairment and functioning in PTSD related to intimate partner violence. J. Int. Neuropsychol. Soc. 2009, 15, 879–887. [Google Scholar] [CrossRef] [PubMed]
- Cougle, J.R.; Resnick, H.; Kilpatrick, D.G. PTSD, depression, and their comorbidity in relation to suicidality: Cross-sectional and prospective analyses of a national probability sample of women. Depress. Anxiety 2009, 26, 1151–1157. [Google Scholar] [CrossRef]
- Katrinli, S.; Stevens, J.; Wani, A.H.; Lori, A.; Kilaru, V.; van Rooij, S.J.H.; Hinrichs, R.; Powers, A.; Gillespie, C.F.; Michopoulos, V.; et al. Evaluating the impact of trauma and PTSD on epigenetic prediction of lifespan and neural integrity. Neuropsychopharmacology 2020. online ahead of print. [Google Scholar] [CrossRef]
- PTSD and Social Functioning. A three year prospective study. Soc. Psychiatry Psychiatr. Epidemiol. 1989, 24, 127–133. [Google Scholar]
- Summerfield, D. A critique of seven assumptions behind psychological trauma programmes in war-affected areas. Soc. Sci. Med. 1999, 48, 1449–1462. [Google Scholar] [CrossRef]
- Wright, J.; Rubin, B.A. Les sans-domicile aux États-Unis. Leçons tirées de quinze années de recherche. Soc. Contemp. 1998, 30, 35–66. [Google Scholar] [CrossRef]
- Leon, L.; Jauffret-Roustide, M.; Le Strat, Y. Design-based inference in time-location sampling. Biostat. Oxf. Engl. 2015, 16, 565–579. [Google Scholar] [CrossRef]
- Sheehan, D.V.; Lecrubier, Y.; Sheehan, K.H.; Amorim, P.; Janavs, J.; Weiller, E.; Hergueta, T.; Baker, R.; Dunbar, G.C. The Mini-International Neuropsychiatric Interview (M.I.N.I.): The development and validation of a structured diagnostic psychiatric interview for DSM-IV and ICD-10. J. Clin. Psychiatry 1998, 59 (Suppl. 20), 22–33. [Google Scholar]
- Seedat, S.; Stein, M.B. Post-traumatic stress disorder: A review of recent findings. Curr. Psychiatry Rep. 2001, 3, 288–294. [Google Scholar] [CrossRef] [PubMed]
- Martin-Fernandez, J.; Grillo, F.; Parizot, I.; Caillavet, F.; Chauvin, P. Prevalence and socioeconomic and geographical inequalities of household food insecurity in the Paris region, France, 2010. BMC Public Health 2013, 13, 486. [Google Scholar] [CrossRef] [PubMed]
- Radimer, K.L. Measurement of household food security in the USA and other industrialised countries. Public Health Nutr. 2002, 5, 859–864. [Google Scholar] [CrossRef] [PubMed]
- Kessler, R.C.; Ustu¨n, T.B. The World Mental Health (WMH) Survey Initiative Version of the World Health Organization (WHO) Composite International Diagnostic.Interview (CIDI). Int. J. Methods Psychiatr. Res. 2004, 13, 93–121. [Google Scholar] [CrossRef] [PubMed]
- Jayasekera, H.; Carter, G.; Clover, K. Comparison of the Composite International Diagnostic interview (CIDI-Auto) with clinical diagnosis in a suicidal population. Arch. Suicide Res. Off. J. Int. Acad. Suicide Res. 2011, 15, 43–55. [Google Scholar] [CrossRef]
- Robins, L.N.; Wing, J.; Wittchen, H.U.; Helzer, J.E.; Babor, T.F.; Burke, J.; Farmer, A.; Jablenski, A.; Pickens, R.; Regier, D.A. The Composite International Diagnostic Interview. An epidemiologic Instrument suitable for use in conjunction with different diagnostic systems and in different cultures. Arch. Gen. Psychiatry 1988, 45, 1069–1077. [Google Scholar] [CrossRef]
- Zou, G. A modified poisson regression approach to prospective studies with binary data. Am. J. Epidemiol. 2004, 159, 702–706. [Google Scholar] [CrossRef]
- Whitbeck, L.B.; Armenta, B.E.; Gentzler, K.C. Homelessness-Related Traumatic Events and PTSD Among Women Experiencing Episodes of Homelessness in Three U.S. Cities. J. Trauma. Stress 2015, 28, 355–360. [Google Scholar] [CrossRef]
- Chan Chee, C.; Gourier-Fréry, C.; Guignard, R.; Beck, F. [The current state of mental health surveillance in France]. Sante Publique 2011, 23 (Suppl. 6), S13–S29. [Google Scholar]
- Roze, M.; Vandentorren, S.; Vuillermoz, C.; Chauvin, P.; Melchior, M. Emotional and behavioral difficulties in children growing up homeless in Paris. Results of the ENFAMS survey. Eur. Psychiatry 2016, 38, 51–60. [Google Scholar] [CrossRef]
- O’Donnell, M.L.; Creamer, M.; Pattison, P. Posttraumatic stress disorder and depression following trauma: Understanding comorbidity. Am. J. Psychiatry 2004, 161, 1390–1396. [Google Scholar] [CrossRef]
- Breslau, N.; Davis, G.C.; Peterson, E.L.; Schultz, L. Psychiatric sequelae of posttraumatic stress disorder in Women. Arch. Gen. Psychiatry 1997, 54, 81–87. [Google Scholar] [CrossRef] [PubMed]
- Porter, M.; Haslam, N. Predisplacement and postdisplacement factors associated with mental health of refugees and internally displaced persons: A meta-analysis. JAMA 2005, 294, 602–612. [Google Scholar] [CrossRef] [PubMed]
- Knipscheer, J.W.; Kleber, R.J. The relative contribution of posttraumatic and acculturative stress to subjective mental health among Bosnian refugees. J. Clin. Psychol. 2006, 62, 339–353. [Google Scholar] [CrossRef]
- Chu, T.; Keller, A.S.; Rasmussen, A. Effects of post-migration factors on PTSD outcomes among immigrant survivors of political violence. J. Immigr. Minor. Health 2013, 15, 890–897. [Google Scholar] [CrossRef]
- Coker, A.L.; Smith, P.H.; Thompson, M.P.; McKeown, R.E.; Bethea, L.; Davis, K.E. Social support protects against the negative effects of partner violence on mental health. J. Womens Health Gend. Based Med. 2002, 11, 465–476. [Google Scholar] [CrossRef] [PubMed]
- Kawachi, I.; Berkman, L.F. Social ties and mental health. J. Urban Health Bull. N. Y. Acad. Med. 2001, 78, 458–467. [Google Scholar] [CrossRef] [PubMed]
- Strohschein, L.; McDonough, P.; Monette, G.; Shao, Q. Marital transitions and mental health: Are there gender differences in the short-term effects of marital status change? Soc. Sci. Med. 2005, 61, 2293–2303. [Google Scholar] [CrossRef] [PubMed]
- Hondius, A.J.; van Willigen, L.H.; Kleijn, W.C.; van der Ploeg, H.M. Health problems among Latin-American and middle-eastern refugees in The Netherlands: Relations with violence exposure and ongoing sociopsychological strain. J. Trauma. Stress 2000, 13, 619–634. [Google Scholar] [CrossRef]
- Toscani, L.; Deroo, L.A.; Eytan, A.; Gex-Fabry, M.; Avramovski, V.; Loutan, L.; Bovier, P. Health status of returnees to Kosovo: Do living conditions during asylum make a difference? Public Health 2007, 121, 34–44. [Google Scholar] [CrossRef]
- Hartzell, G.; Stenson, A.F.; van Rooij, S.J.H.; Kim, Y.J.; Vance, L.A.; Hinrichs, R.; Kaslow, N.; Bradley, B.; Jovanovic, T. Intergenerational effects of maternal PTSD: Roles of parenting stress and child sex. (published online ahead of print, 9 January 2020]. Psychol. Trauma. 2020. [Google Scholar] [CrossRef]
- Samuelson, K.W.; Wilson, C.K.; Padrón, E.; Lee, S.; Gavron, L. Maternal PTSD and Children’s Adjustment: Parenting Stress and Emotional Availability as Proposed Mediators. J. Clin. Psychol. 2017, 73, 693–706. [Google Scholar] [CrossRef] [PubMed]
- Christie, H.; Hamilton-Giachritsis, C.; Alves-Costa, F.; Tomlinson, M.; Halligan, S.L. The impact of parental posttraumatic stress disorder on parenting: A systematic review. Eur. J. Psychotraumatol. 2019, 10, 1550345. [Google Scholar] [CrossRef] [PubMed]
- Kobel, F.; Morawa, E.; Erim, Y. Effectiveness of Inpatient Psychotherapy for Patients With and Without Migratory Background: Do They Benefit Equally? Front. Psychiatry 2020, 11, 542. [Google Scholar] [CrossRef] [PubMed]
- Breslau, N.; Kessler, R.C. The stressor criterion in DSM-IV posttraumatic stress disorder: An empirical investigation. Biol. Psychiatry 2001, 50, 699–704. [Google Scholar] [CrossRef]


| Whole Population | With PTSD (n = 120) | Without PTSD (n = 571) | ||||||
|---|---|---|---|---|---|---|---|---|
| Weighted Proportion | IC | Weighted Proportion | IC | Weighted Proportion | IC | p | ||
| Sociodemographic Characteristics | ||||||||
| Mother’s age | (17–27) y.o. | 23.4 | (19.5; 27.4) | 19.7 | (12.6; 26.7) | 24.2 | (19.5; 28.8) | 0.333 |
| (27–57) y.o. | 76.6 | (72.6; 80.5) | 80.3 | (73.3; 87.4) | 75.8 | (71.2; 80.5) | ||
| Region of birth | Europe | 15.9 | (12.3; 19.5) | 7.5 | (2.0; 13.0) | 17.5 | (13.4; 21.6) | 0.019 |
| Outside Europe | 84.1 | (80.5; 87.7) | 92.5 | (87.0; 98.0) | 82.5 | (78.4; 86.6) | ||
| Family status | Two-parent family | 46.9 | (42; 51.8) | 38.3 | (28.7; 47.9) | 48.6 | (43.4; 53.8) | 0.052 |
| Single mother | 53.1 | (48.2–58) | 61.7 | (52.1; 71.3) | 51.4 | (46.2; 56.6) | ||
| Legal residence status | Already acquired legal status | 14.3 | (10.7; 17.8) | 15.5 | (5.2; 25.9) | 14.0 | (10.2; 17.8) | 0.939 |
| Undocumented | 48.3 | (43.5; 53.1) | 48.0 | (36.6; 59.5) | 48.4 | (43.3; 53.4) | ||
| Asylum seeker | 12.1 | (9.7; 14.5) | 13.0 | (7.8; 18.1) | 11.9 | (9.2; 14.6) | ||
| Temporary residence permit | 25.3 | (21.2; 29.4) | 23.5 | (15.7; 31.2) | 25.7 | (20.9; 30.5) | ||
| Employment status | Employed or in education | 19.2 | (15.3; 23.1) | 13.2 | (4.9; 21.5) | 20.4 | (16.0; 24.8) | 0.180 |
| Neither employed nor in education | 80.8 | (76.9; 84.7) | 86.8 | (78.5; 95.1) | 79.6 | (75.2; 84.0) | ||
| Educational level | <high school | 50.5 | (46.1–54.9) | 40.0 | (28.1; 51.8) | 52.4 | (47.6; 57.3) | 0.066 |
| ≥high school | 49.5 | (45.1–53.9) | 60.0 | (48.2; 71.9) | 47.6 | (42.7; 52.4) | ||
| Usual monthly income | Above poverty line | 1.7 | (0.5; 3) | 0.4 | (0; 0.9) | 2.0 | (0.5; 3.5) | 0.013 |
| Below poverty line | 98.3 | (97; 99.5) | 99.6 | (99.1; 100) | 98.0 | (96.5; 99.5) | ||
| Health insurance | Complete | 66.7 | (62.1; 71.2) | 69.6 | (57.7; 81.5) | 66.2 | (61.5; 70.8) | 0.090 |
| Partial | 11.1 | (8.4; 13.9) | 4.2 | (1.4; 7.0) | 12.3 | (9.1; 15.6) | ||
| None | 22.2 | (18.3; 26) | 26.2 | (14.3; 38.1) | 21.5 | (17.6; 25.4) | ||
| Food insecurity | No | 46.3 | (41.3; 51.2) | 42.7 | (31.7; 53.7) | 47.0 | (41.5; 52.4) | 0.492 |
| Yes | 53.7 | (48.8–58.7) | 57.3 | (46.3; 68.3) | 53.0 | (47.6; 58.5) | ||
| French Language proficiency | Yes | 38 | (32.3; 43.7) | 47.7 | (36.2; 59.1) | 36.1 | (30.3; 42.0) | 0.042 |
| No | 62 | (56.3; 67.7) | 52.3 | (40.9; 63.8) | 63.9 | (58.0; 69.7) | ||
| Departure from country of origin because of violence | No | 70 | (66; 74) | 50.3 | (39.2; 61.4) | 73.8 | (70.0; 77.5) | <0.001 |
| Yes | 30 | (26; 34) | 49.7 | (38.6; 60.8) | 26.2 | (22.5; 30.0) | ||
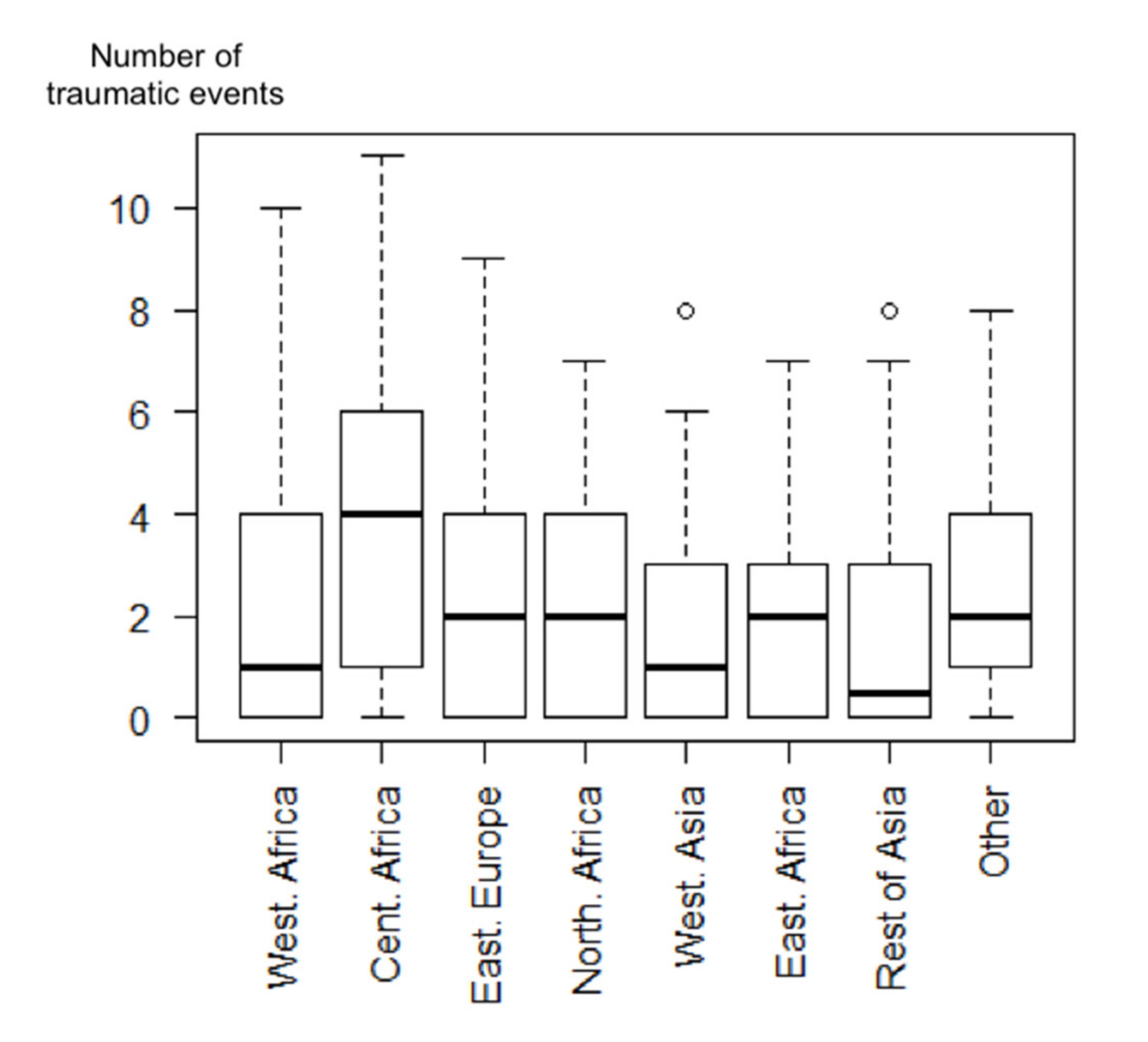
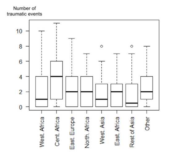
| Number of traumatic events | (min; Q1; med; mean; Q3; max) | (0; 3; 5; 4.7; 6; 11) | (0; 0; 1; 2.0; 4; 10) | 0.008 | ||||
| Time of traumatic event(s) | Traumatic event before arriving in France | 38.4 | (33.7; 43) | 75.4 | (64.8; 86.0) | 31.0 | (26.6; 35.3) | <0.001 |
| Traumatic event after arriving in France | 22.6 | (18.3; 26.8) | 24.6 | (14.0; 35.2) | 22.1 | (17.7; 26.6) | ||
| No traumatic event | 39.1 | (33.9; 44.3) | 0.0 | (0; 0) | 46.9 | (41.2; 52.6) | ||
| Traumatic Lifetime Events | Women with PTSD (n = 149) % |
|---|---|
| Unexpected or sudden death of an intimate friend or a member of family | 80.5 |
| Witnessing someone get injured or dying | 48.7 |
| Experienced a wartime event | 38.4 |
| Victim of assault by a close relative | 37.6 |
| Accident or life-threatening illness | 36.1 |
| Victim of rape or sexual assault | 35.9 |
| Victim of torture or kidnapping | 33.6 |
| Discovery of a corpse | 29.0 |
| Victim of burglary or armed robbery | 25.6 |
| Earthquake, landslide, hurricane | 18.9 |
| Other disasters including fires, flooding | 13.2 |
| Victim of physical assault in the course of work | 8.8 |
| Illness of an intimate friend or family member | 4.7 |
| Responsible for injury or death of another person | 3.2 |
| Exposure to radiation or other dangerous substances | 1.4 |
| Health Characteristics and Living Conditions | Whole Population | With PTSD (n = 120) | Without PTSD (n = 571) | |||||
|---|---|---|---|---|---|---|---|---|
| Weighted Proportion | IC | Weighted Proportion | IC | Weighted Proportion | IC | p | ||
| Health Characteristics | ||||||||
| Perceived current general state of health | Very good, good or fair global health | 88.3 | (85.4; 91.2) | 74.7 | (63.3; 86.1) | 91,0 | (88.4; 93.5) | <0.001 |
| Poor or very poor global health | 11.7 | (8.8; 14.6) | 25.3 | (13.9; 36.7) | 9,0 | (6.5; 11.6) | ||
| Serious health problem(s) | No | 71.3 | (66.8; 75.8) | 59.4 | (47.9; 70.9) | 73,6 | (69.1; 78.1) | 0.012 |
| Yes | 28.7 | (24.2; 33.2) | 40.6 | (29.1; 52.1) | 26,4 | (21.9; 30.9) | ||
| Pregnant (at time of survey) | No | 92.2 | (90; 94.3) | 84.7 | (77.2; 92.2) | 93,6 | (91.6; 95.6) | 0.003 |
| Yes | 7.8 | (5.7; 10) | 15.3 | (7.8; 22.8) | 6,4 | (4.4; 8.4) | ||
| Female circumcision | No | 79.3 | (75.4; 83.1) | 81.6 | (73.2; 90.1) | 78,8 | (74.5; 83.1) | 0.584 |
| Yes | 20.7 | (16.9; 24.6) | 18.4 | (9.9; 26.8) | 21,2 | (16.9; 25.5) | ||
| Suicide risk | No | 83.1 | (79.7; 86.5) | 62.5 | (52.1; 72.9) | 87,1 | (83.7; 90.5) | <0.001 |
| Yes | 16.9 | (13.5; 20.3) | 37.5 | (27.1; 47.9) | 12,9 | (9.5; 16.3) | ||
| Depression in the previous 12 months | No | 72.6 | (68.7; 76.5) | 40.3 | (28.1; 52.6) | 78,8 | (74.7; 83.0) | <0.001 |
| Yes | 27.4 | (23.5; 31.3) | 59.7 | (47.4; 71.9) | 21,2 | (17.0; 25.3) | ||
| Living Conditions | ||||||||
| Previously spent at least one night on the street | No | 85.4 | (82.6; 88.3) | 73.4 | (64.4; 82.4) | 87,8 | (84.8; 90.7) | <0.001 |
| Yes | 14.6 | (11.7; 17.4) | 26.6 | (17.6; 35.6) | 12,2 | (9.3; 15.2) | ||
| Time since arrival in France | >1 year | 85.3 | (82.5; 88) | 84.8 | (77.9; 91.6) | 85,4 | (82.5; 88.3) | 0.864 |
| ≤1 year | 14.7 | (12; 17.5) | 15.2 | (8.4; 22.1) | 14,6 | (11.7; 17.5) | ||
| Type of shelter | Short-term shelter | 79.2 | (75.5; 83) | 71.2 | (61.7; 80.7) | 80,8 | (77.0; 84.5) | 0.031 |
| Long-term shelter | 20.8 | (17; 24.5) | 28.8 | (19.3; 38.3) | 19,2 | (15.5; 23) | ||
| Number of persons per room | ≤2 pers per room | 42.1 | (36.5; 47.7) | 44.4 | (33.8; 55.0) | 41,6 | (35.8; 47.5) | 0.613 |
| >2 pers per room | 57.9 | (52.3; 63.5) | 55.6 | (45.0; 66.2) | 58,4 | (52.5; 64.2) | ||
| Residential instability | No | 62.9 | (58.2; 67.6) | 42.3 | (31.6; 52.9) | 66,9 | (61.7; 72.2) | <0.001 |
| Yes | 37.1 | (32.4; 41.8) | 57.7 | (47.1; 68.4) | 33,1 | (27.8; 38.3) | ||
| Already knew someone who lived in France, and this person helped | Yes, and he/she was helpful | 41.8 | (37.2; 46.4) | 28.6 | (18.2; 39.0) | 44,3 | (39.4; 49.3) | 0.013 |
| No, I did not know anyone or yes, but he/she was not helpful | 58.2 | (53.6; 62.8) | 71.4 | (61.0; 81.8) | 55,7 | (50.7; 60.6) | ||
| Help from association, friends or family | Yes | 72.6 | (68.3; 76.9) | 69.1 | (58.6; 79.5) | 73,2 | (68.6; 77.9) | 0.454 |
| No | 27.4 | (23.1; 31.7) | 30.9 | (20.5; 41.4) | 26,8 | (22.1; 31.4) | ||
| Characteristics | Univariate Analysis | Multivariate Analysis | |||||
|---|---|---|---|---|---|---|---|
| Weighted Proportion | PTSD Prevalence | PR | IC | PR | IC | ||
| Socio-Demographic Characteristics | |||||||
| Mother’s age | (17–27) yo | 23.4 | 13.6 | - | |||
| (27–57) yo | 76.6 | 17.0 | 1.25 | (0.79; 1.98) | |||
| Country of birth | Europe | 15.9 | 7.6 | ref | |||
| Outside Europe | 84.1 | 17.8 | 2.34 | (1.10; 4.97) | |||
| Typical monthly income | Above poverty line | 1.7 | 4.1 | - | |||
| Below poverty line | 98.3 | 16.4 | 4.04 | (1.14; 14.31) | |||
| Proficiency in French language | Yes | 38.0 | 20.3 | - | |||
| No | 62.0 | 13.7 | 0.67 | (0.46; 0.98) | |||
| Departure from country of origin because of violence | No | 69.8 | 11.7 | - | ref | ||
| Yes | 30.2 | 26.6 | 2.28 | (1.57; 3.30) | 1.45 | (1.03; 2.04) | |
| Number of traumatic events | (min; Q1; med; mean; Q3; max) | (0; 0; 1; 2.2; 4; 11) | 1.34 | (1.27; 1.42) | |||
| Time of traumatic event (TE) | TE before arrival in France | 39.0 | 31.3 | - | |||
| TE after arrival in France | 23.2 | 17.2 | 0,55 | (0.34;0.88) | |||
| Health Characteristics | |||||||
| Perceived current general state of health | Very good, good or fair global health | 88.4 | 13.7 | - | |||
| Poor or very poor global health | 11.6 | 35.2 | 2.57 | (1.61; 4.11) | |||
| Serious health problem(s) | No | 71.2 | 13..5 | - | |||
| Yes | 28.8 | 22.8 | 1,69 | (1.12; 2.55) | |||
| Pregnant at time of study | No | 92.2 | 14.9 | - | |||
| Yes | 7.8 | 31.7 | 2,13 | (1.34; 3.38] | |||
| Suicide risk | No | 83.1 | 12.2 | - | |||
| Yes | 16.9 | 36.0 | 2,96 | (2.04; 4.29) | |||
| Depression in the previous 12 months | No | 72.7 | 9.1 | - | |||
| Yes | 27.3 | 35.0 | 3.83 | (2.42; 6.08) | 1.82 | (1.20; 2.76) | |
| Living Conditions | |||||||
| Previously spent at least one night on the street | No | 85.3 | 13.9 | - | |||
| Yes | 14.7 | 29.1 | 2.09 | (1.40; 3.12) | |||
| Type of shelter | Short-term shelter | 79.2 | 14.5 | - | |||
| Long-term shelter | 20.8 | 22.4 | 1.54 | (1.05; 2.27) | |||
| Residential instability | No | 62.9 | 10.9 | - | ref | ||
| Yes | 37.1 | 25.2 | 2.32 | (1.54; 3.49) | 1.93 | (1.27; 2.93) | |
| Already knew someone who lived in France, and he/she helped | Yes, and he/she was helpful | 41.9 | 11.1 | - | |||
| No, I did not know anyone or yes, but he/she was not helpful | 58.1 | 19.8 | 1.79 | (1.13; 2.84) | |||
© 2020 by the authors. Licensee MDPI, Basel, Switzerland. This article is an open access article distributed under the terms and conditions of the Creative Commons Attribution (CC BY) license (http://creativecommons.org/licenses/by/4.0/).
Share and Cite
Roze, M.; Melchior, M.; Vuillermoz, C.; Rezzoug, D.; Baubet, T.; Vandentorren, S. Post-Traumatic Stress Disorder in Homeless Migrant Mothers of the Paris Region Shelters. Int. J. Environ. Res. Public Health 2020, 17, 4908. https://doi.org/10.3390/ijerph17134908
Roze M, Melchior M, Vuillermoz C, Rezzoug D, Baubet T, Vandentorren S. Post-Traumatic Stress Disorder in Homeless Migrant Mothers of the Paris Region Shelters. International Journal of Environmental Research and Public Health. 2020; 17(13):4908. https://doi.org/10.3390/ijerph17134908
Chicago/Turabian StyleRoze, Mathilde, Maria Melchior, Cécile Vuillermoz, Dalila Rezzoug, Thierry Baubet, and Stéphanie Vandentorren. 2020. "Post-Traumatic Stress Disorder in Homeless Migrant Mothers of the Paris Region Shelters" International Journal of Environmental Research and Public Health 17, no. 13: 4908. https://doi.org/10.3390/ijerph17134908
APA StyleRoze, M., Melchior, M., Vuillermoz, C., Rezzoug, D., Baubet, T., & Vandentorren, S. (2020). Post-Traumatic Stress Disorder in Homeless Migrant Mothers of the Paris Region Shelters. International Journal of Environmental Research and Public Health, 17(13), 4908. https://doi.org/10.3390/ijerph17134908

