Child Growth Curves in High-Altitude Ladakh: Results from a Cohort Study
Abstract
1. Introduction
2. Materials and Methods
2.1. Ladakh Overview
2.2. Participants
2.3. Health Examination
2.4. Growth Evaluation
2.5. Statistical Analysis
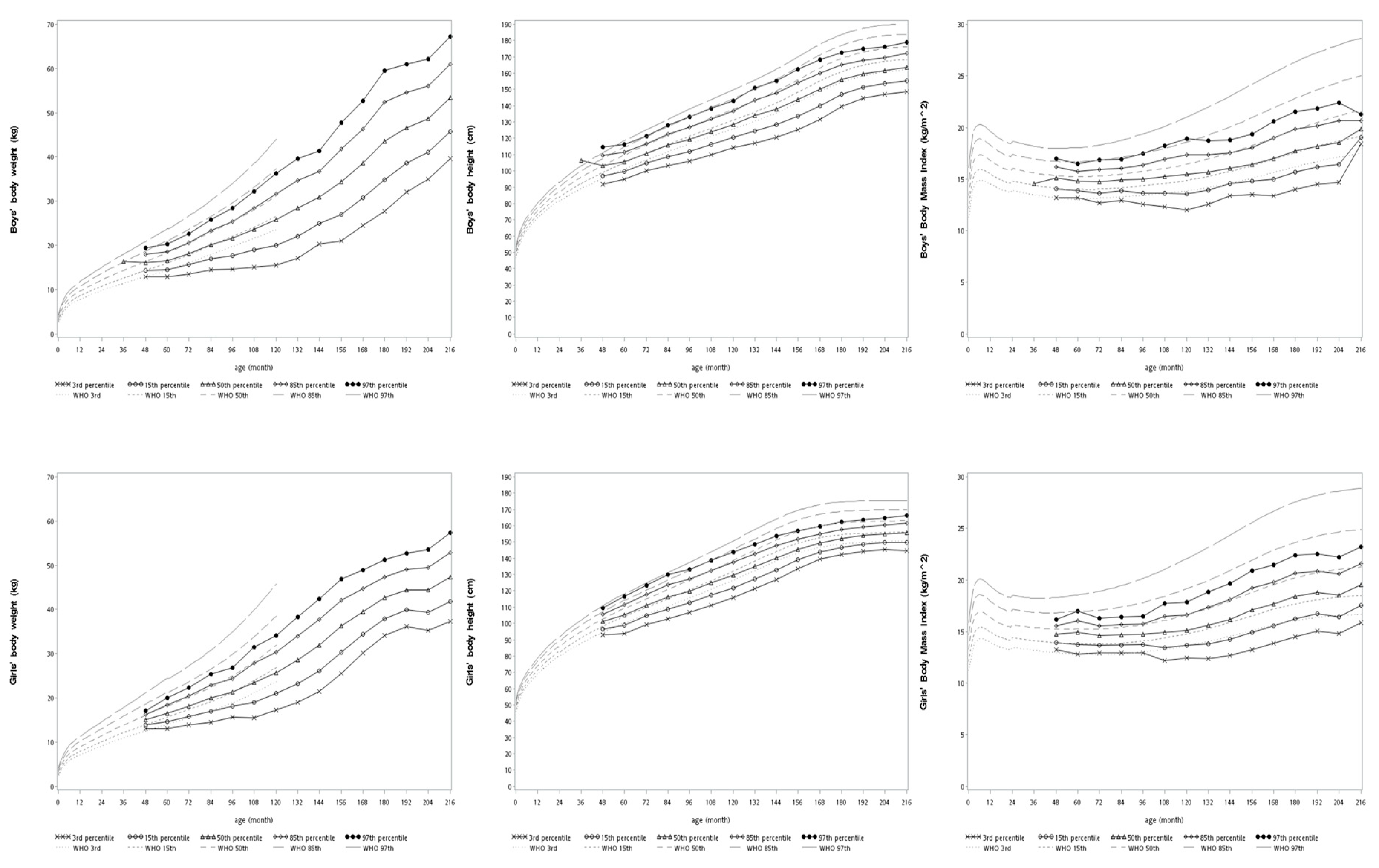
3. Results
4. Discussion
5. Conclusions
Supplementary Materials
Author Contributions
Funding
Acknowledgments
Conflicts of Interest
References
- Niermeyer, S.; Andrade Mollinedo, P.; Huicho, L. Child health and living at high altitude. Arch. Dis. Child. 2009, 94, 806–811. [Google Scholar] [CrossRef] [PubMed]
- Audsley, A.; Wallace, R.M.M.; Price, M.F. Mountain Child: Systematic Literature Review. Matern. Child Health J. 2016, 20, 2415–2423. [Google Scholar] [CrossRef] [PubMed]
- Khan, A.J.; Hussain, H.; Omer, S.B.; Chaudry, S.; Ali, S.; Khan, A.; Yasin, Z.; Imran, J.K.; Mistry, R.; Baig, I.Y.; et al. High incidence of childhood pneumonia at high altitudes in Pakistan: A longitudinal cohort study. Bull. World Health Organ. 2009, 87, 193–199. [Google Scholar] [CrossRef]
- Yip, R.; Binkin, N.J.; Trowbridge, F.L. Altitude and childhood growth. J. Pediatrics 1988, 113, 486–489. [Google Scholar] [CrossRef]
- Tripathy, V.; Gupta, R. Growth among Tibetans at high and low altitudes in India. Am. J. Hum. Biol. Off. J. Hum. Biol. Counc. 2007, 19, 789–800. [Google Scholar] [CrossRef]
- Dang, S.; Yan, H.; Yamamoto, S. High altitude and early childhood growth retardation: New evidence from Tibet. Eur. J. Clin. Nutr. 2008, 62, 342–348. [Google Scholar] [CrossRef]
- Frisancho, A.R.; Baker, P.T. Altitude and growth: A study of the patterns of physical growth of a high altitude Peruvian Quechua population. Am. J. Phys. Anthropol. 1970, 32, 279–292. [Google Scholar] [CrossRef]
- Frisancho, A.R.; Borkan, G.A.; Klayman, J.E. Pattern of growth of lowland and highland Peruvian Quechua of similar genetic composition. Hum. Biol. 1975, 47, 233–243. [Google Scholar]
- Stinson, S. The physical growth of high altitude Bolivian Aymara children. Am. J. Phys. Anthropol. 1980, 52, 377–385. [Google Scholar] [CrossRef]
- Haas, J.D.; Moreno-Black, G.; Frongillo, E.A., Jr.; Pabon, J.; Pareja, G.; Ybarnegaray, J.; Hurtado, L. Altitude and infant growth in Bolivia: A longitudinal study. Am. J. Phys. Anthropol. 1982, 59, 251–262. [Google Scholar] [CrossRef]
- Argnani, L.; Cogo, A.; Gualdi-Russo, E. Growth and nutritional status of Tibetan children at high altitude. Coll. Antropol. 2008, 32, 807–812. [Google Scholar] [PubMed]
- Wang, W.; Liu, F.; Zhang, Z.; Zhang, Y.; Fan, X.; Liu, R.; Dang, S. The Growth Pattern of Tibetan Infants at High Altitudes: A Cohort Study in Rural Tibet region. Sci. Rep. 2016, 6, 34506. [Google Scholar] [CrossRef] [PubMed]
- Wilson, J.M.; Campbell, M.J.; Afzal, M. Heights and weights of children in Ladakh, north India. J. Trop. Pediatrics 1990, 36, 271–272. [Google Scholar] [CrossRef] [PubMed]
- Malik, S.L.; Singh, I.P. Growth trends among male Bods of Ladakh—A high altitude population. Am. J. Phys. Anthropol. 1978, 48, 171–175. [Google Scholar] [CrossRef]
- Malik, S.L. Physical growth and altitude: Comparison of high-and low-land bods of the western himalayas. Indian Anthropol. 1987, 17, 9–48. [Google Scholar]
- Radcliffe, B.; Payne, J.E.; Porteous, H.; Johnston, S.G. “Failure to thrive” or failure to use the right growth chart? Med. J. Aust. 2007, 186, 660–661. [Google Scholar] [CrossRef]
- Khadilkar, V.; Khadilkar, A. Growth charts: A diagnostic tool. Indian J. Endocrinol. Metab. 2011, 15, S166–S171. [Google Scholar] [CrossRef]
- WHO Child Growth Standards: Methods and Development. Available online: https://www.who.int/childgrowth/standards/technical_report/en/ (accessed on 18 August 2019).
- Hermanussen, M.; Burmeister, J. Synthetic growth reference charts. Acta Paediatr. 1999, 88, 809–814. [Google Scholar] [CrossRef]
- Hermanussen, M.; Stec, K.; Assmann, C.; Meigen, C.; Van Buuren, S. Synthetic growth reference charts. Am. J. Hum. Biol. Off. J. Hum. Biol. Counc. 2016, 28, 98–111. [Google Scholar] [CrossRef]
- Zong, X.N.; Li, H. Construction of a new growth references for China based on urban Chinese children: Comparison with the WHO growth standards. PLoS ONE 2013, 8, e59569. [Google Scholar] [CrossRef]
- Census of India 2011 Jammu &Kashmir District Census Handbook Leh. Available online: http://censusindia.gov.in/2011census/dchb/DCHB_A/01/0103_PART_A_DCHB_LEH.pdf (accessed on 9 April 2020).
- Economic Review of Leh District 2014-15. Available online: https://cdn.s3waas.gov.in/s3291597a100aadd814d197af4f4bab3a7/uploads/2018/06/2018061795.pdf (accessed on 31 October 2019).
- Sherratt, K. Social and Economic Characteristics of Ladakh, India. Available online: https://docs.google.com/file/d/0Bzuh3zrCojYWZExqWEVjM0t4aWM/edit (accessed on 30 October 2019).
- Government of Jammu & Kashmir. Economic Survey 2017. Available online: http://ecostatjk.nic.in/Economic%20Survey%202017.pdf (accessed on 20 December 2019).
- National Statistical Office, Ministry of Statistics & Programme Implementation, Government of India. Press Note on Provisional Estimates of Annual National Income, 2018–19 and Quarterly Estimates of Gross Domestic Product for The Fourth Quarter (Q4) of 2018–19. Available online: http://mospi.nic.in/sites/default/files/press_release/Press%20Note%20PE%202018-19-31.5.2019-Final.pdf (accessed on 20 December 2019).
- Subnational Human Development Index (3.0). Available online: https://globaldatalab.org/shdi/ (accessed on 20 December 2019).
- World Health Organization. Oral Health Surveys: Basic Methods, 5th ed.; World Health Organization: Geneva, Switzerland, 2013; Available online: https://www.who.int/oral_health/publications/9789241548649/en/ (accessed on 5 November 2019).
- WHO Child Growth Standards. Available online: https://www.who.int/childgrowth/standards/en/ (accessed on 30 October 2019).
- WHO Growth Reference Data for 5–19 Years. Available online: https://www.who.int/growthref/en/ (accessed on 30 October 2019).
- Zeger, S.L.; Liang, K.Y.; Albert, P.S. Models for longitudinal data: A generalized estimating equation approach. Biometrics 1988, 44, 1049–1060. [Google Scholar] [CrossRef] [PubMed]
- WHO Child Growth Standards Anthro Survey Analyser and Other Tools. Available online: https://www.who.int/childgrowth/software/en/ (accessed on 30 October 2019).
- WHO Growth Reference 5–19 Years Application Tool. Available online: https://www.who.int/growthref/tools/en/ (accessed on 30 October 2019).
- Harris, N.S.; Crawford, P.B.; Yangzom, Y.; Pinzo, L.; Gyaltsen, P.; Hudes, M. Nutritional and health status of Tibetan children living at high altitudes. N. Engl. J. Med. 2001, 344, 341–347. [Google Scholar] [CrossRef] [PubMed]
- Frisancho, A.R. Human growth and pulmonary function of a high altitude Peruvian Quechua population. Hum. Biol. 1969, 41, 365–379. [Google Scholar] [PubMed]
- Baker, P.T. Human Adaptation to High Altitude. Science 1969, 163, 1149–1156. [Google Scholar] [CrossRef]
- Berkey, C.S.; Dockery, D.W.; Wang, X.; Wypij, D.; Ferris, B., Jr. Longitudinal height velocity standards for U.S. adolescents. Stat. Med. 1993, 12, 403–414. [Google Scholar] [CrossRef] [PubMed]
- Oths, K.S.; Smith, H.N.; Stein, M.J.; Lazo Landivar, R.J. A decade of rapid change: Biocultural influences on child growth in highland Peru. Am. J. Hum. Biol. Off. J. Hum. Biol. Counc. 2018, 30, e23072. [Google Scholar] [CrossRef]
- Hoke, M.K.; Leatherman, T.L. Secular trends in growth in the high-altitude district of Nunoa, Peru 1964–2015. Am. J. Phys. Anthropol. 2019, 168, 200–208. [Google Scholar] [CrossRef]
- Dame, J.; Nüsser, M. Food security in high mountain regions: Agricultural production and the impact of food subsidies in Ladakh, Northern India. Food Secur. 2011, 3, 179–194. [Google Scholar] [CrossRef]
- McNaughton, C. Wider Image: Villagers in India’s Himalayan Landscape Grapple with Tourism Boom. Available online: https://in.reuters.com/article/india-economy-ladakh-idINKCN12C1B7 (accessed on 5 November 2019).
- De Meer, K.; Heymans, H.S.; Zijlstra, W.G. Physical adaptation of children to life at high altitude. Eur. J. Pediatrics 1995, 154, 263–272. [Google Scholar] [CrossRef]
- Khadilkar, V.V.; Khadilkar, A.V.; Chiplonkar, S.A. Growth performance of affluent Indian preschool children: A comparison with the new WHO growth standard. Indian Pediatrics 2010, 47, 869–872. [Google Scholar] [CrossRef]
- Inokuchi, M.; Matsuo, N.; Takayama, J.I.; Hasegawa, T. WHO 2006 Child Growth Standards overestimate short stature and underestimate overweight in Japanese children. J. Pediatric Endocrinol. Metab. 2018, 31, 33–38. [Google Scholar] [CrossRef] [PubMed]
- Van Buuren, S.; van Wouwe, J.P. WHO Child Growth Standards in action. Arch. Dis. Child. 2008, 93, 549–551. [Google Scholar] [CrossRef] [PubMed]
- Rosario, A.S.; Schienkiewitz, A.; Neuhauser, H. German height references for children aged 0 to under 18 years compared to WHO and CDC growth charts. Ann. Hum. Biol. 2011, 38, 121–130. [Google Scholar] [CrossRef] [PubMed]
- Juliusson, P.B.; Roelants, M.; Hoppenbrouwers, K.; Hauspie, R.; Bjerknes, R. Growth of Belgian and Norwegian children compared to the WHO growth standards: Prevalence below −2 and above +2 SD and the effect of breastfeeding. Arch. Dis. Child. 2011, 96, 916–921. [Google Scholar] [CrossRef] [PubMed]
- Kulaga, Z.; Grajda, A.; Gurzkowska, B.; Gozdz, M.; Wojtylo, M.; Swiader, A.; Rozdzynska-Swiatkowska, A.; Litwin, M. Polish 2012 growth references for preschool children. Eur. J. Pediatrics 2013, 172, 753–761. [Google Scholar] [CrossRef]
- Tinggaard, J.; Aksglaede, L.; Sorensen, K.; Mouritsen, A.; Wohlfahrt-Veje, C.; Hagen, C.P.; Mieritz, M.G.; Jorgensen, N.; Wolthers, O.D.; Heuck, C.; et al. The 2014 Danish references from birth to 20 years for height, weight and body mass index. Acta Paediatr. 2014, 103, 214–224. [Google Scholar] [CrossRef]
- Spencer, P.R.; Sanders, K.A.; Judge, D.S. Growth curves and the international standard: How children’s growth reflects challenging conditions in rural Timor-Leste. Am. J. Phys. Anthropol. 2018, 165, 286–298. [Google Scholar] [CrossRef]




| 2012 | 2013 | 2014 | 2015 | 2016 | 2017 | 2018 | |
|---|---|---|---|---|---|---|---|
| number of enrolled participants | 195 | 216 | 242 | 280 | 290 | 301 | 322 |
| number of newly-enrolled participants | 195 | 21 | 27 | 45 | 43 | 37 | 50 |
| number of absence of follow-up | N/A | 0 | 1 | 7 | 33 | 26 | 29 |
| percentage (%) of loss of follow-up | N/A | 0% | 0.5% | 2.9% | 11.8% | 9.0% | 9.6% |
| Age, Years | Number (Boy/Girl) | BW, Mean (SE), kg | BH, Mean (SE), cm | BMI, Mean (SE), kg/m2 | |||
|---|---|---|---|---|---|---|---|
| Boys | Girls | Boys | Girls | Boys | Girls | ||
| 3 | 1 (1/0) | 11.5 (0.28) | NA | 89.7 (0.65) | NA | 15.0 (0.16) | NA |
| 4 | 42 (19/23) | 13.8 (0.28) | 12.9 (0.28) | 97.9 (0.65) | 96.6 (0.67) | 14.8 (0.18) | 14.6(0.16) |
| 5 | 96 (54/42) | 15.6 (0.25) | 14.6 (0.27) | 103.8(0.58) | 102.6(0.60) | 14.7 (0.11) | 14.5(0.15) |
| 6 | 149 (76/73) | 17.4 (0.23) | 16.5 (0.28) | 109.4(0.51) | 108.8(0.55) | 14.7 (0.10) | 14.3(0.11) |
| 7 | 171 (93/78) | 19.7 (0.24) | 18.6 (0.29) | 114.9(0.52) | 114.5(0.54) | 14.9 (0.09) | 14.4(0.11) |
| 8 | 183 (102/81) | 21.7 (0.27) | 20.7 (0.31) | 120.3(0.56) | 119.8(0.57) | 14.9(0.11) | 14.5(0.11) |
| 9 | 197 (110/87) | 24.0 (0.33) | 23.3 (0.34) | 124.9(0.56) | 125.5(0.57) | 15.3(0.12) | 14.8(0.12) |
| 10 | 200 (108/92) | 26.7 (0.43) | 26.4 (0.40) | 130.2(0.57) | 131.1(0.63) | 15.6(0.15) | 15.2(0.13) |
| 11 | 194 (105/89) | 29.8 (0.48) | 30.2 (0.48) | 136.1(0.66) | 137.6(0.67) | 15.9(0.14) | 15.8(0.15) |
| 12 | 171 (84/87) | 32.9 (0.54) | 34.3 (0.53) | 141.4(0.75) | 143.9(0.68) | 16.3(0.13) | 16.5(0.17) |
| 13 | 145 (69/76) | 36.8 (0.68) | 38.8 (0.56) | 147.8(0.89) | 149.5(0.65) | 16.7(0.15) | 17.5(0.19) |
| 14 | 117 (56/61) | 41.2 (0.81) | 42.5 (0.57) | 154.6(0.94) | 153.7(0.67) | 17.2(0.21) | 18.2(0.21) |
| 15 | 85 (33/52) | 46.4 (0.88) | 45.5 (0.58) | 161.3(1.05) | 156.3(0.73) | 17.9(0.22) | 18.8(0.22) |
| 16 | 56 (21/35) | 50.1 (1.09) | 47.6 (0.64) | 165.7(1.43) | 158.1(0.77) | 18.4(0.27) | 19.3(0.24) |
| 17 | 29 (10/19) | 54.4 (1.24) | 48.6 (0.72) | 170.1(1.93) | 159.1(0.79) | 19.1(0.33) | 19.4(0.30) |
| 18 | 11 (2/9) | 58.1 (1.93) | 50.2 (0.83) | 173.6(4.03) | 161.0(1.05) | 19.8(0.35) | 19.6(0.32) |
© 2020 by the authors. Licensee MDPI, Basel, Switzerland. This article is an open access article distributed under the terms and conditions of the Creative Commons Attribution (CC BY) license (http://creativecommons.org/licenses/by/4.0/).
Share and Cite
Yang, W.-C.; Fu, C.-M.; Su, B.-W.; Ouyang, C.-M.; Yang, K.-C. Child Growth Curves in High-Altitude Ladakh: Results from a Cohort Study. Int. J. Environ. Res. Public Health 2020, 17, 3652. https://doi.org/10.3390/ijerph17103652
Yang W-C, Fu C-M, Su B-W, Ouyang C-M, Yang K-C. Child Growth Curves in High-Altitude Ladakh: Results from a Cohort Study. International Journal of Environmental Research and Public Health. 2020; 17(10):3652. https://doi.org/10.3390/ijerph17103652
Chicago/Turabian StyleYang, Wen-Chien, Chun-Min Fu, Bo-Wei Su, Chung-Mei Ouyang, and Kuen-Cheh Yang. 2020. "Child Growth Curves in High-Altitude Ladakh: Results from a Cohort Study" International Journal of Environmental Research and Public Health 17, no. 10: 3652. https://doi.org/10.3390/ijerph17103652
APA StyleYang, W.-C., Fu, C.-M., Su, B.-W., Ouyang, C.-M., & Yang, K.-C. (2020). Child Growth Curves in High-Altitude Ladakh: Results from a Cohort Study. International Journal of Environmental Research and Public Health, 17(10), 3652. https://doi.org/10.3390/ijerph17103652

