The Voice of Drug Consumers: Online Textual Review Analysis Using Structural Topic Model
Abstract
1. Introduction
2. Literature Review
2.1. Pharmaceutical E-Commerce
2.2. Online Reviews and Topic Model
2.3. Structural Topic Model
- Randomly choose a topic distribution for the document d;
- From the distribution of topic , randomly choose a topic ;
- Randomly choose a word from the corresponding distribution over the vocabulary , where ;
- Return to Step 2 and iterate over all the words in the document d.
3. Data Collection and Processing
4. STM Model Setup
4.1. Topical Prevalence Parameter
4.2. Number of Topics
5. Results and Analysis
5.1. Topic Summary
5.2. Negative Topic Identification and Analysis
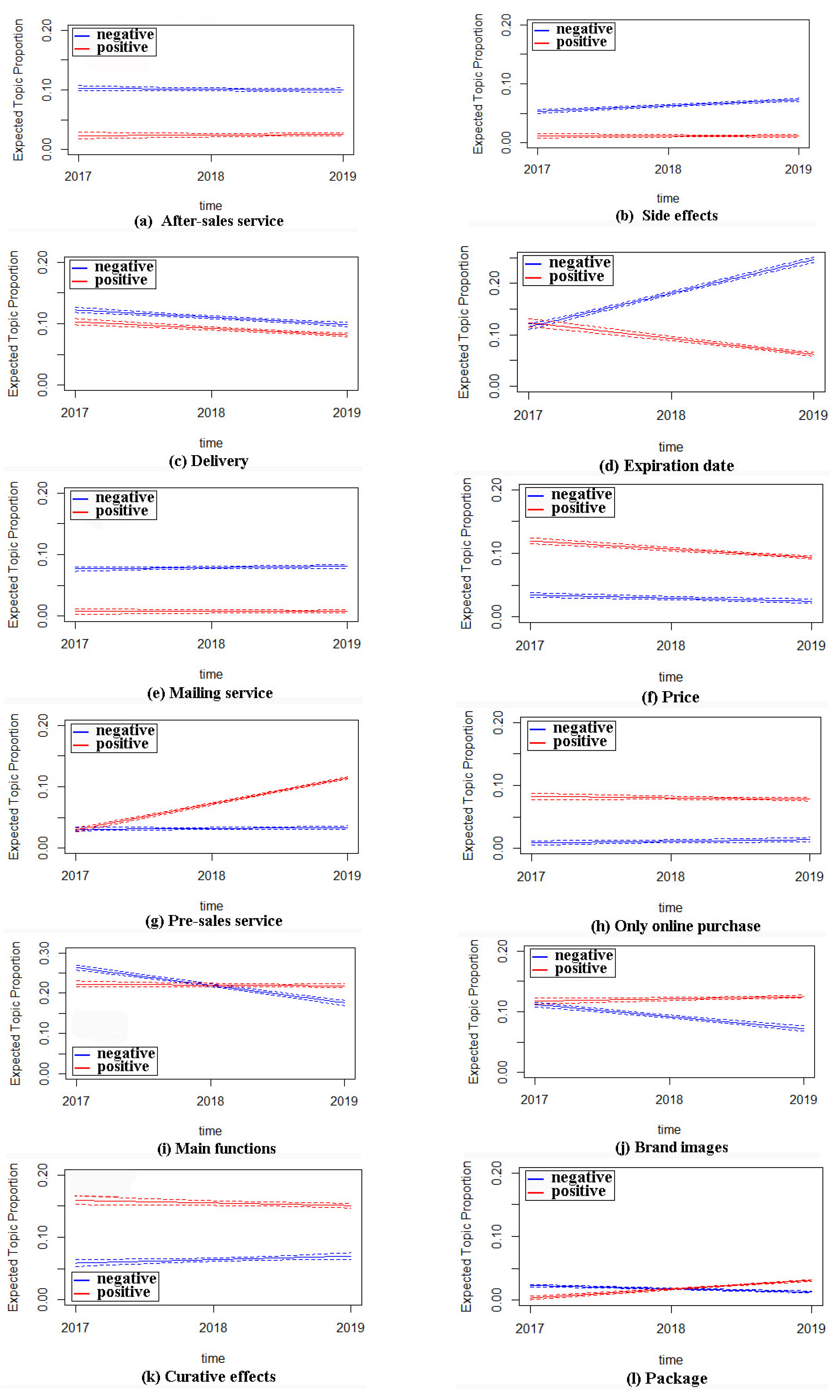
5.3. Temporal Variations in Costumer Concerns
6. Discussion and Conclusions
Author Contributions
Funding
Conflicts of Interest
References
- CSIP, LegitScript. The Internet Pharmacy Market in 2016. Available online: http://www.safemedsonline.org/wp-content/uploads/2016/01/The-Internet-Pharmacy-Market-in-2016.pdf (accessed on 20 March 2019).
- FDA. Survey Highlights in 2013. Available online: http://www.fda.gov/Drugs/ResourcesForYou/Consumers/BuyingUsingMedicineSafely/BuyingMedicinesOvertheInternet/BeSafeRxKnowYourOnlinePharmacy/ucm318497.htm〉 (accessed on 17 May 2017).
- Orizio, G.; Merla, A.; Schulz, P.J.; Gelatti, U. Quality of Online Pharmacies and Websites Selling Prescription Drugs: A Systematic Review. J. Med. Internet Res. 2011, 13, e74. [Google Scholar] [CrossRef] [PubMed]
- Bate, R.; Jin, G.Z.; Mathur, A. In Whom We Trust: The Role of Certification Agencies in Online Drug Markets. BE. J. Econ. Anal. Policy 2013, 14, 111–150. [Google Scholar] [CrossRef]
- CIPA. Survey of Americans in 2015. Available online: http://www.cipa.com/news/cipa-survey-of-americans-finds-64-purchase-medications-from-canada-due-to-affordability/#more-676〉 (accessed on 17 May 2017).
- Abanmy, N. The Extent of Use of Online Pharmacies in Saudi Arabia. Saudi Pharm. J. 2017, 25, 891–899. [Google Scholar] [CrossRef] [PubMed]
- Monteith, S.; Glenn, T. Searching Online to Buy Commonly Prescribed Psychiatric Drugs. Psychiatry Res. 2018, 260, 248–254. [Google Scholar] [CrossRef]
- LaValle, S.; Lesser, E.; Shockley, R.; Hopkins, M.S.; Kruschwitz, N. Big Data, Analytics and the Path from Insights to Value. MIT Sloan Manag. Rev. 2011, 52, 21–32. [Google Scholar]
- Levy, S.E.; Duan, W.; Boo, S. An Analysis of One-Star Online Reviews and Responses in the Washington, DC, Lodging Market. Cornell Hosp. Q. 2013, 54, 49–63. [Google Scholar] [CrossRef]
- Mankad, S.; Han, H.; Goh, J.; Gavirneni, S. Understanding Online Hotel Reviews through Automated Text Analysis. Serv. Sci. 2016, 8, 124–138. [Google Scholar] [CrossRef]
- Korfiatis, N.; Stamolampros, P.; Kourouthanassis, P.; Sagiadinos, V. Measuring Service Quality from Unstructured Data: A Topic Modeling Application on Airline Passengers’ Online Reviews. Expert Syst. Appl. 2019, 116, 472–486. [Google Scholar] [CrossRef]
- Tirunillai, S.; Tellis, G.J. Mining Marketing Meaning from Online Chatter: Strategic Brand Analysis of Big Data Using Latent Dirichlet Allocation. J. Mark. Res. 2014, 51, 463–479. [Google Scholar] [CrossRef]
- Xiao, S.; Wei, C.-P.; Dong, M. Crowd Intelligence: Analyzing Online Product Reviews for Preference Measurement. Inf. Manag. 2016, 53, 169–182. [Google Scholar] [CrossRef]
- Bi, J.-W.; Liu, Y.; Fan, Z.-P.; Zhang, J. Wisdom of Crowds: Conducting Importance-Performance Analysis (IPA) Through Online Reviews. Tour. Manag. 2019, 70, 460–478. [Google Scholar] [CrossRef]
- Hu, N.; Zhang, T.; Gao, B.; Bose, I. What Do Hotel Customers Complain about? Text Analysis Using Structural Topic Model. Tour. Manag. 2019, 72, 417–426. [Google Scholar] [CrossRef]
- Lowes, R. Are Online Pharmacies Good for Your Patients—And for You? Med. Econ. 2000, 77, 77–80. [Google Scholar] [PubMed]
- Gallagher, J.C.; Colaizzi, J.L. Issues in Internet Pharmacy Practice. Ann. Pharmacother. 2000, 34, 1483–1485. [Google Scholar] [CrossRef] [PubMed]
- Liang, C.; Gu, D.; Tao, F.; Jain, H.K.; Zhao, Y.; Ding, B. Influence of Mechanism of Patient-Accessible Hospital Information System Implementation on Doctor—Patient Relationships: A Service Fairness Perspective. Inf. Manag. 2017, 54, 57–72. [Google Scholar] [CrossRef]
- Gu, D.; Deng, S.; Zheng, Q.; Liang, C.; Wu, J. Impacts of Case-Based Health Knowledge System in Hospital Management: The Mediating Role of Group Effectiveness. Inf. Manag. 2019, 56, 103162. [Google Scholar] [CrossRef]
- Anand, A.; Sethi, N.; Sharon, G.; Mathew, G.; Songara, R.; Kumar, P. Internet Pharmacy: Need to Be Implemented in India. Chron. Young Sci. 2010, 1, 16. [Google Scholar]
- Woonsocket, R.I.; Minneapolis, M.N. News Release in 2015. Available online: http://corporate.target.com/article/2015/12/cvs-target-acquisition-complete (accessed on 13 June 2019).
- Macias, W.; Lewis, L.S. How Well Do Direct-to-Consumer (DTC) Prescription Drug Web Sites Meet FDA Guidelines and Public Policy Concerns? Health Mark. Q. 2006, 22, 45–71. [Google Scholar] [CrossRef]
- Mackey, T.K.; Liang, B.A. Pharmaceutical Digital Marketing and Governance: Illicit Actors and Challenges to Global Patient Safety and Public Health. Glob. Health 2013, 9, 45. [Google Scholar] [CrossRef]
- Gelatti, U.; Pedrazzani, R.; Marcantoni, C.; Mascaretti, S.; Repice, C.; Filippucci, L.; Zerbini, I.; Dal Grande, M.; Orizio, G.; Feretti, D. ‘You’ve Got M@ Il: Fluoxetine Coming Soon!’: Accessibility and Quality of a Prescription Drug Sold on the Web. Int. J. Drug Policy 2013, 24, 392–401. [Google Scholar] [CrossRef]
- Huang, B.; Xu, M. Commentary: Combating Sale of Counterfeit and Falsified Medicines Online: A Losing Battle. Front. Pharmacol. 2017, 8, 909. [Google Scholar] [CrossRef] [PubMed]
- Fung, C.H.; Woo, H.E.; Asch, S.M. Controversies and Legal Issues of Prescribing and Dispensing Medications Using the Internet. In Mayo Clinic Proceedings; Elsevier: Amsterdam, The Netherlands, 2004; Volume 79, pp. 188–194. [Google Scholar]
- Van Hout, M.C.; Bingham, T. Responsible Vendors, Intelligent Consumers: Silk Road, the Online Revolution in Drug Trading. Int. J. Drug Policy 2014, 25, 183–189. [Google Scholar] [CrossRef] [PubMed]
- Rajagopal, M. Internet Pharmacies—Boon or Threat? Prog. Neurol. Psychiatry 2016, 20, 4–5. [Google Scholar] [CrossRef]
- Chordiya, S.V.; Garge, B.M. E-Pharmacy vs Conventional Pharmacy. IJCAAP 2019, 3, 121–123. [Google Scholar] [CrossRef]
- Fittler, A.; Vida, R.G.; Káplár, M.; Botz, L. Consumers Turning to the Internet Pharmacy Market: Cross-Sectional Study on the Frequency and Attitudes of Hungarian Patients Purchasing Medications Online. J. Med. Internet Res. 2018, 20, e11115. [Google Scholar] [CrossRef]
- Sugiura, L. Opportunities in Online Medicine Purchasing. In Respectable Deviance and Purchasing Medicine Online; Springer: Berlin/Heidelberg, Germany, 2018; pp. 67–100. [Google Scholar]
- Poulas, K.; Avgerinou, P. The online Pharmacy Market in Greece in 2018. Available online: https://www.researchgate.net/publication/323837284_The_online_pharmacy_market_in_Greece (accessed on 19 August 2019).
- Abu-Heija, A.A.; Shatta, M.; Ajam, M.; Abu-Heija, U.; Imran, N.; Levine, D. Quantitative Readability Assessment of the Internal Medicine Online Patient Information on Annals. Org. Cureus 2019, 11, e4184. [Google Scholar]
- Jacobi, C.; Van Atteveldt, W.; Welbers, K. Quantitative Analysis of Large Amounts of Journalistic Texts Using Topic Modelling. Digit. J. 2016, 4, 89–106. [Google Scholar] [CrossRef]
- Jiao, J.R.; Simpson, T.W.; Siddique, Z. Product Family Design and Platform-Based Product Development: A State-of-the-Art Review. J. Intell. Manuf. 2007, 18, 5–29. [Google Scholar] [CrossRef]
- Zhu, F.; Zhang, X. Impact of Online Consumer Reviews on Sales: The Moderating Role of Product and Consumer Characteristics. J. Mark. 2010, 74, 133–148. [Google Scholar] [CrossRef]
- Groves, R.M. Nonresponse Rates and Nonresponse Bias in Household Surveys. Public Opin. Q. 2006, 70, 646–675. [Google Scholar] [CrossRef]
- Banerjee, S.; Chua, A.Y. In Search of Patterns among Travellers’ Hotel Ratings in TripAdvisor. Tour. Manag. 2016, 53, 125–131. [Google Scholar] [CrossRef]
- Boo, S.; Busser, J.A. Meeting Planners’ Online Reviews of Destination Hotels: A Twofold Content Analysis Approach. Tour. Manag. 2018, 66, 287–301. [Google Scholar] [CrossRef]
- Duan, W.; Yu, Y.; Cao, Q.; Levy, S. Exploring the Impact of Social Media on Hotel Service Performance: A Sentimental Analysis Approach. Cornell Hosp. Q. 2016, 57, 282–296. [Google Scholar] [CrossRef]
- Guo, Y.; Barnes, S.J.; Jia, Q. Mining Meaning from Online Ratings and Reviews: Tourist Satisfaction Analysis Using Latent Dirichlet Allocation. Tour. Manag. 2017, 59, 467–483. [Google Scholar] [CrossRef]
- Gebauer, J.; Tang, Y.; Baimai, C. User Requirements of Mobile Technology: Results from a Content Analysis of User Reviews. Inf. Syst. e-Bus. Manag. 2008, 6, 361–384. [Google Scholar] [CrossRef]
- Xu, B.; Liang, J.; Xie, C.; Liang, B.; Chen, L.; Xiao, Y. CN-DBpedia2: An Extraction and Verification Framework for Enriching Chinese Encyclopedia Knowledge Base. Data Intell. 2019, 1, 271–288. [Google Scholar] [CrossRef]
- Salatino, A.A.; Thanapalasingam, T.; Mannocci, A.; Birukou, A.; Osborne, F.; Motta, E. The Computer Science Ontology: A Comprehensive Automatically-Generated Taxonomy of Research Areas. Data Intell. 2019, 1–38. [Google Scholar] [CrossRef]
- Jeong, B.; Yoon, J.; Lee, J.-M. Social Media Mining for Product Planning: A Product Opportunity Mining Approach Based on Topic Modeling and Sentiment Analysis. Int. J. Inf. Manag. 2019, 48, 280–290. [Google Scholar] [CrossRef]
- Ko, N.; Jeong, B.; Choi, S.; Yoon, J. Identifying Product Opportunities Using Social Media Mining: Application of Topic Modeling and Chance Discovery Theory. IEEE Access 2017, 6, 1680–1693. [Google Scholar] [CrossRef]
- Ibrahim, N.F.; Wang, X. A Text Analytics Approach for Online Retailing Service Improvement: Evidence from Twitter. Decis. Support Syst. 2019, 121, 37–50. [Google Scholar] [CrossRef]
- Blei, D.M.; Ng, A.Y.; Jordan, M.I. Latent Dirichlet Allocation. J. Mach. Learn. Res. 2003, 3, 993–1022. [Google Scholar]
- Chen, D.; Zhang, R.; Liu, K.; Hou, L. Knowledge Discovery from Posts in Online Health Communities Using Unified Medical Language System. Int. J. Environ. Res. Public Health 2018, 15, 1291. [Google Scholar] [CrossRef] [PubMed]
- Zhao, Y.; Zhang, J.; Wu, M. Finding Users’ Voice on Social Media: An Investigation of Online Support Groups for Autism-Affected Users on Facebook. Int. J. Environ. Res. Public Health 2019, 16, 4804. [Google Scholar] [CrossRef] [PubMed]
- Xiao, C.; Zhang, P.; Chaovalitwongse, W.A.; Hu, J.; Wang, F. Adverse Drug Reaction Prediction with Symbolic Latent Dirichlet Allocation. In Proceedings of the Thirty-First AAAI Conference on Artificial Intelligence, San Francisco, CA, USA, 4–9 February 2017. [Google Scholar]
- Zhang, Y.; Chen, M.; Huang, D.; Wu, D.; Li, Y. IDoctor: Personalized and Professionalized Medical Recommendations Based on Hybrid Matrix Factorization. Future Gener. Comput. Syst. 2017, 66, 30–35. [Google Scholar] [CrossRef]
- Paul, M.J.; Dredze, M. You Are What You Tweet: Analyzing Twitter for Public Health. In Proceedings of theFifth International AAAI Conference on Weblogs and Social Media, Barcelona, Spain, 17–21 July 2011. [Google Scholar]
- James, T.L.; Calderon, E.D.V.; Cook, D.F. Exploring Patient Perceptions of Healthcare Service Quality through Analysis of Unstructured Feedback. Expert Syst. Appl. 2017, 71, 479–492. [Google Scholar] [CrossRef]
- Botsis, T.; Buttolph, T.; Nguyen, M.D.; Winiecki, S.; Woo, E.J.; Ball, R. Vaccine Adverse Event Text Mining System for Extracting Features from Vaccine Safety Reports. J. Am. Med. Inform. Assoc. 2012, 19, 1011–1018. [Google Scholar] [CrossRef] [PubMed]
- Hao, H.; Zhang, K. The Voice of Chinese Health Consumers: A Text Mining Approach to Web-Based Physician Reviews. J. Med. Internet Res. 2016, 18, e108. [Google Scholar] [CrossRef]
- Roberts, M.E.; Stewart, B.M.; Tingley, D.; Lucas, C.; Leder-Luis, J.; Gadarian, S.K.; Albertson, B.; Rand, D.G. Structural Topic Models for Open-Ended Survey Responses. Am. J. Political Sci. 2014, 58, 1064–1082. [Google Scholar] [CrossRef]
- Liu, Y.; Bi, J.-W.; Fan, Z.-P. A Method for Ranking Products through Online Reviews Based on Sentiment Classification and Interval-Valued Intuitionistic Fuzzy TOPSIS. Int. J. Inf. Technol. Decis. Mak. 2017, 16, 1497–1522. [Google Scholar] [CrossRef]
- Kuhn, K.D. Using Structural Topic Modeling to Identify Latent Topics and Trends in Aviation Incident Reports. Transp. Res. Part C Emerg. Technol. 2018, 87, 105–122. [Google Scholar] [CrossRef]
- Blei, D.M. Probabilistic Topic Models. Commun. ACM 2012, 55, 77–84. [Google Scholar] [CrossRef]
- Sun, X.; Han, M.; Feng, J. Helpfulness of Online Reviews: Examining Review Informativeness and Classification Thresholds by Search Products and Experience Products. Decis. Support Syst. 2019, 124, 1–11. [Google Scholar] [CrossRef]
- Qi, J.; Zhang, Z.; Jeon, S.; Zhou, Y. Mining Customer Requirements from Online Reviews: A Product Improvement Perspective. Inf. Manag. 2016, 53, 951–963. [Google Scholar] [CrossRef]
- Jing, N.; Jiang, T.; Du, J.; Sugumaran, V. Personalized Recommendation Based on Customer Preference Mining and Sentiment Assessment from a Chinese E-Commerce Website. Electron. Commer. Res. 2018, 18, 159–179. [Google Scholar] [CrossRef]
- Hu, N.; Pavlou, P.A.; Zhang, J.J. On Self-Selection Biases in Online Product Reviews. MIS Q. 2017, 41, 449–471. [Google Scholar] [CrossRef]
- Gao, G.G.; Greenwood, B.N.; Agarwal, R.; McCullough, J. Vocal Minority and Silent Majority: How Do Online Ratings Reflect Population Perceptions of Quality? MIS Q. 2015, 39, 565–589. [Google Scholar] [CrossRef]
- Lu, S.F.; Rui, H. Can We Trust Online Physician Ratings? Evidence from Cardiac Surgeons in Florida. Manag. Sci. 2018, 64, 2557–2573. [Google Scholar] [CrossRef]
- Hu, N.; Zhang, J.; Pavlou, P.A. Overcoming the J-Shaped Distribution of Product Reviews. Commun. ACM 2009, 52, 144–147. [Google Scholar] [CrossRef]
- Roberts, M.E.; Stewart, B.M.; Tingley, D. Stm: R Package for Structural Topic Models. r Package Version 1.3. 3. J. Stat. Softw. (Forthcom.) Lat. Conf. Latinoam. Sobre Uso R Investig. Desarro. 2017, 91, 1–40. [Google Scholar]
- Iacus, S.M.; King, G.; Porro, G. Causal Inference without Balance Checking: Coarsened Exact Matching. Political Anal. 2012, 20, 1–24. [Google Scholar] [CrossRef]
- Huang, L.; Dou, Z.; Hu, Y.; Huang, R. Textual Analysis for Online Reviews: A Polymerization Topic Sentiment Model. IEEE Access. 2019, 7, 91940–91945. [Google Scholar] [CrossRef]
- Roberts, M.E.; Stewart, B.M.; Airoldi, E.M. A Model of Text for Experimentation in the Social Sciences. J. Am. Stat. Assoc. 2016, 111, 988–1003. [Google Scholar] [CrossRef]
- Sutherland, I.; Sim, Y.; Lee, S.K.; Byun, J.; Kiatkawsin, K. Topic Modeling of Online Accommodation Reviews via Latent Dirichlet Allocation. Sustainability 2020, 12, 1821. [Google Scholar] [CrossRef]
- Papathanassis, A.; Knolle, F. Exploring the Adoption and Processing of Online Holiday Reviews: A Grounded Theory Approach. Tour. Manag. 2011, 32, 215–224. [Google Scholar] [CrossRef]
- Yin, D.; Mitra, S.; Zhang, H. Research Note—When Do Consumers Value Positive vs. Negative Reviews? An Empirical Investigation of Confirmation Bias in Online Word of Mouth. Inf. Syst. Res. 2016, 27, 131–144. [Google Scholar] [CrossRef]
- Wu, J.; Wang, Y.; Zhang, R.; Cai, J. An Approach to Discovering Product/Service Improvement Priorities: Using Dynamic Importance-Performance Analysis. Sustainability 2018, 10, 3564. [Google Scholar] [CrossRef]
- Pizam, A.; Shapoval, V.; Ellis, T. Customer Satisfaction and Its Measurement in Hospitality Enterprises: A Revisit and Update. Int. J. Contemp. Hosp. Manag. 2016, 28, 2–35. [Google Scholar] [CrossRef]




| # | Topic Labels | Topic Proportions | Top Words | Appeared in Literate |
|---|---|---|---|---|
| 1 | Package | 2.04% | box, product packaging, glass bottle, cases, careful, big, liquids | NO |
| 2 | After-sales service | 6.13% | consumer, solve, returns, business deception, quality, prescription drugs, advertising | NO |
| 3 | Price | 6.81% | cost-effective, low, cheap, convenience, coupons, small, free-shipping | YES |
| 4 | Side effects | 3.74% | instruction manual, side effects, diarrhea, poor effect, sore throat, garbage, outer packing | YES |
| 5 | Delivery | 9.65% | logistics, slow, cost, home delivery, boxes, pills, reasonable | YES |
| 6 | Curative effect | 11.30% | significant, desired effect, thumbs, breathability, elderly, fall, symptomatic | YES |
| 7 | Brand image | 10.84% | habituation, time-honored, bar code, quality, commodity, regular customers, trustworthy | YES |
| 8 | Expiration date | 12.60% | production date, shelf life, expiration date, expired, sent over, help, attitude | NO |
| 9 | Main functions | 21.46% | mouth ulcers, the trots, sneezing, aerosol, health products, laryngitis, packaging | YES |
| 10 | Only online purchase | 4.88% | physical stores, unavailable, online orders, essentials, necessities, bag, spray | YES |
| 11 | Mailing service | 3.97% | express fees, staff, parcel, consignment, waste, stores, angina | YES |
| 12 | Pre-sales consulting | 6.58% | customer service, consulting, waiter, thoughtful, unbearable, dependent, digestion | YES |
© 2020 by the authors. Licensee MDPI, Basel, Switzerland. This article is an open access article distributed under the terms and conditions of the Creative Commons Attribution (CC BY) license (http://creativecommons.org/licenses/by/4.0/).
Share and Cite
He, L.; Han, D.; Zhou, X.; Qu, Z. The Voice of Drug Consumers: Online Textual Review Analysis Using Structural Topic Model. Int. J. Environ. Res. Public Health 2020, 17, 3648. https://doi.org/10.3390/ijerph17103648
He L, Han D, Zhou X, Qu Z. The Voice of Drug Consumers: Online Textual Review Analysis Using Structural Topic Model. International Journal of Environmental Research and Public Health. 2020; 17(10):3648. https://doi.org/10.3390/ijerph17103648
Chicago/Turabian StyleHe, Lifeng, Dongmei Han, Xiaohang Zhou, and Zheng Qu. 2020. "The Voice of Drug Consumers: Online Textual Review Analysis Using Structural Topic Model" International Journal of Environmental Research and Public Health 17, no. 10: 3648. https://doi.org/10.3390/ijerph17103648
APA StyleHe, L., Han, D., Zhou, X., & Qu, Z. (2020). The Voice of Drug Consumers: Online Textual Review Analysis Using Structural Topic Model. International Journal of Environmental Research and Public Health, 17(10), 3648. https://doi.org/10.3390/ijerph17103648

