Enhancing Chlorobenzene Biodegradation by Delftia tsuruhatensis Using a Water-Silicone Oil Biphasic System
Abstract
1. Introduction
2. Materials and Methods
2.1. Chemicals
2.2. Microorganism and Culture Medium
2.3. Partition Coefficient Test
2.4. Batch Biodegradation Experiments
2.5. Electron Transport System Activity and Cell Surface Hydrophobicity Tests
2.6. Extracellular Polymeric Substance Analysis
2.7. Staining and Fluorescence Microscopy Observation
2.8. Analytical Methods
3. Results
3.1. Affinity of Silicone Oil for CB
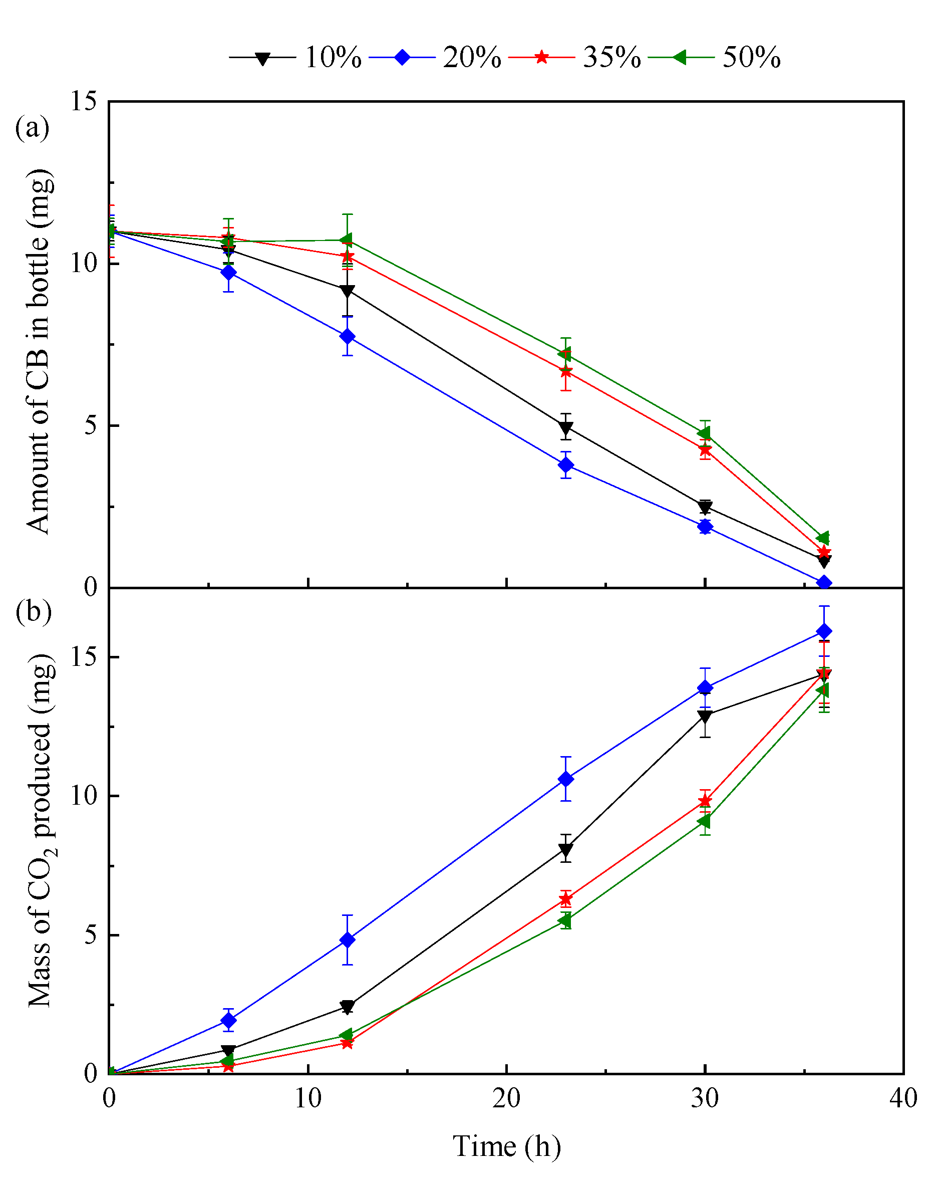
3.2. Performance of the Water–Silicone Oil System
3.3. ETS Activity Assays
3.4. Microbial Distribution in the Water–Silicone Oil System
3.5. Effect of Silicone Oil on the Surface Characteristics of D. tsuruhatensis LW26
4. Conclusions
Author Contributions
Funding
Acknowledgments
Conflicts of Interest
References
- Field, J.A.; Sierra-Alvarez, R. Microbial degradation of chlorinated benzenes. Biodegradation 2008, 19, 463–480. [Google Scholar] [CrossRef] [PubMed]
- Karuppiah, J.; Manoj Kumar Reddy, P.; Linga Reddy, E.; Subrahmanyam, C. Catalytic non-thermal plasma reactor for decomposition of dilute chlorobenzene. Plasma Process. Polym. 2013, 10, 1074–1080. [Google Scholar] [CrossRef]
- Cheng, Z.; Li, C.; Kennes, C.; Ye, J.; Chen, D.; Zhang, S.; Chen, J.; Yu, J. Improved biodegradation potential of chlorobenzene by a mixed fungal-bacterial consortium. Int. Biodeterior. Biodegrad. 2017, 123, 276–285. [Google Scholar] [CrossRef]
- Sennour, R.; Mimane, G.; Benghalem, A.; Taleb, S. Removal of the persistent pollutant chlorobenzene by adsorption onto activated montmorillonite. Appl. Clay Sci. 2009, 43, 503–506. [Google Scholar] [CrossRef]
- Barreca, S.; Orecchio, S.; Pace, A. Photochemical sample treatment: A greener approach to chlorobenzene determination in sediments. Talanta 2014, 129, 263–269. [Google Scholar] [CrossRef] [PubMed]
- Jiang, L.; Nie, G.; Zhu, R.; Wang, J.; Chen, J.; Mao, Y.; Cheng, Z.; Anderson, W.A. Efficient degradation of chlorobenzene in a non-thermal plasma catalytic reactor supported on CeO2/HZSM-5 catalysts. J. Environ. Sci. China 2017, 55, 266–273. [Google Scholar] [CrossRef]
- Taralunga, M.; Mijoin, J.; Magnoux, P. Catalytic destruction of chlorinated POPs—Catalytic oxidation of chlorobenzene over PtHFAU catalysts. Appl. Catal. B Environ. 2005, 60, 163–171. [Google Scholar] [CrossRef]
- Chen, D.Z.; Ding, Y.F.; Zhou, Y.Y.; Ye, J.X.; Chen, J.M. Biodegradation kinetics of tetrahydrofuran, benzene, toluene, and ethylbenzene as multi-substrate by Pseudomonas oleovorans DT4. Int. J. Environ. Res. Public Health 2015, 12, 371–384. [Google Scholar] [CrossRef] [PubMed]
- Kraakman, N.J.R.; Rocha-Rios, J.; Van Loosdrecht, M.C.M. Review of mass transfer aspects for biological gas treatment. Appl. Microbiol. Biotechnol. 2011, 91, 873–886. [Google Scholar] [CrossRef]
- Wang, C.; Xi, J.Y.; Hu, H.Y.; Yao, Y. Advantages of combined UV photodegradation and biofiltration processes to treat gaseous chlorobenzene. J. Hazard. Mater. 2009, 171, 1120–1125. [Google Scholar] [CrossRef]
- Daugulis, A.J. Two-phase partitioning bioreactors: A new technology platform for destroying xenobiotics. Trends Biotechnol. 2001, 19, 457–462. [Google Scholar] [CrossRef]
- Muñoz, R.; Villaverde, S.; Guieysse, B.; Revah, S. Two-phase partitioning bioreactors for treatment of volatile organic compounds. Biotechnol. Adv. 2007, 25, 410–422. [Google Scholar] [CrossRef] [PubMed]
- Muñoz, R.; Arriaga, S.; Hernández, S.; Guieysse, B.; Revah, S. Enhanced hexane biodegradation in a two-phase partitioning bioreactor: Overcoming pollutant transport limitations. Process. Biochem. 2006, 41, 1614–1619. [Google Scholar] [CrossRef]
- San-Valero, P.; Gabaldón, C.; Penya-roja, J.M.; Quijano, G. Enhanced styrene removal in a two-phase partitioning bioreactor operated as a biotrickling filter: Towards full-scale applications. Chem. Eng. J. 2017, 309, 588–595. [Google Scholar] [CrossRef]
- Zamir, S.M.; Babatabar, S.; Shojaosadati, S.A. Styrene vapor biodegradation in single- and two-liquid phase biotrickling filters using Ralstonia eutropha. Chem. Eng. J. 2015, 268, 21–27. [Google Scholar] [CrossRef]
- Dorado, A.D.; Álvarez-Hornos, F.J.; San-Valero, P.; Gabaldón, C.; Quijano, G. Biotrickling filter modeling for styrene abatement. Part 2: Simulating a two-phase partitioning bioreactor. Chemosphere 2018, 191, 1075–1082. [Google Scholar]
- Béchohra, I.; Le Menn, J.B.; Couvert, A.; Amrane, A. Activated sludge acclimation for toluene and DEHP degradation in a two-phase partitioning bioreactor. Int. J. Environ. Sci. Technol. 2016, 13, 1883–1890. [Google Scholar] [CrossRef]
- Nguyen, T.V.N.; Rodriguez Castillo, A.S.; Guihéneuf, S.; Biard, P.F.; Paquin, L.; Amrane, A.; Couvert, A. Toluene degradation in a two-phase partitioning bioreactor involving a hydrophobic ionic liquid as a non-aqueous phase liquid. Int. Biodeterior. Biodegrad. 2017, 117, 31–38. [Google Scholar] [CrossRef]
- Boudreau, N.G.; Daugulis, A.J. Transient performance of two-phase partitioning bioreactors treating a toluene contaminated gas stream. Biotechnol. Bioeng. 2006, 94, 448–457. [Google Scholar] [CrossRef]
- Ye, J.X.; Qiu, J.F.; Chen, J.; Chen, D.Z.; Cheng, Z.W.; Zhang, S.H.; Chen, J.M. Removal of gaseous dichloromethane using a solid–liquid partitioning bioreactor under gradual and stepped load increase. Int. Biodeterior. Biodegrad. 2018, 133, 79–85. [Google Scholar] [CrossRef]
- Han, M.F.; Wang, C.; Fu, Y. Treatment of hydrophobic volatile organic compounds using two-liquid phase biofilters. Sci. Total Environ. 2018, 640–641, 1447–1454. [Google Scholar] [CrossRef]
- Muñoz, R.; Chambaud, M.; Bordel, S.; Villaverde, S. A systematic selection of the non-aqueous phase in a bacterial two liquid phase bioreactor treating α-pinene. Appl. Microbiol. Biotechnol. 2008, 79, 33–41. [Google Scholar] [CrossRef]
- Montes, M.; Rene, E.R.; Veiga, M.C.; Kennes, C. Steady- and transient-state performance of a thermophilic suspended-growth bioreactor for α-pinene removal from polluted air. Chemosphere 2013, 93, 2914–2921. [Google Scholar] [CrossRef]
- Montes, M.; Veiga, M.C.; Kennes, C. Effect of oil concentration and residence time on the biodegradation of α-pinene vapours in two-liquid phase suspended-growth bioreactors. J. Biotechnol. 2012, 157, 554–563. [Google Scholar] [CrossRef] [PubMed]
- Hernández, M.; Quijano, G.; Muñoz, R. Key role of microbial characteristics on the performance of VOC biodegradation in two-liquid phase bioreactors. Environ. Sci. Technol. 2012, 46, 4059–4066. [Google Scholar] [CrossRef] [PubMed]
- Mahanty, B.; Pakshirajan, K.; Venkata Dasu, V. Biodegradation of pyrene by Mycobacterium frederiksbergense in a two-phase partitioning bioreactor system. Bioresour. Technol. 2008, 99, 2694–2698. [Google Scholar] [CrossRef] [PubMed]
- Muñoz, R.; Daugulis, A.J.; Hernández, M.; Quijano, G. Recent advances in two-phase partitioning bioreactors for the treatment of volatile organic compounds. Biotechnol. Adv. 2012, 30, 1707–1720. [Google Scholar] [CrossRef] [PubMed]
- Gauthier, E.; De’ziel, E.; Villemur, R.; Juteau, P.; Le´pine, F.; Beaudet, R. Initial characterization of new bacteria degrading high-molecular weight polycyclic aromatic hydrocarbons isolated from a 2-year enrichment in a two-liquid-phase culture system. J. Appl. Microbiol. 2003, 94, 301–311. [Google Scholar] [CrossRef] [PubMed]
- Bouchez, M.; Blanchet, D.; Vandecasteele, J.P. An interfacial uptake mechanism for the degradation of pyrene by a Rhodococcus strain. Microbiology 1997, 143, 1087–1093. [Google Scholar] [CrossRef]
- Muñoz, R.; Gan, E.I.H.H.; Hernández, M.; Quijano, G. Hexane biodegradation in two-liquid phase bioreactors: High-performance operation based on the use of hydrophobic biomass. Biochem. Eng. J. 2013, 70, 9–16. [Google Scholar] [CrossRef]
- Neumann, G.; Cornelissen, S.; van Breukelen, F.; Hunger, S.; Lippold, H.; Loffhagen, N.; Wick, L.Y.; Heipieper, H.J. Energetics and surface properties of Pseudomonas putida DOT-T1E in a two-phase fermentation system with 1-Decanol as second phase. Appl. Environ. Microbiol. 2006, 72, 4232–4238. [Google Scholar] [CrossRef] [PubMed]
- Hernández, M.; Muñoz Torre, R. Long-term influence of the presence of a non-aqueous phase on the cell surface hydrophobicity of Pseudomonas in two-phase partitioning bioreactors. Appl. Microbiol. Biotechnol. 2011, 89, 1573–1581. [Google Scholar] [CrossRef] [PubMed]
- Ye, J.X.; Lin, T.H.; Luo, Y.H.; Chen, D.Z.; Chen, J.M. Isolation and identification of a benazolin-ethyl degrading strain and its degradation characteristics. Environ. Sci. Chin. 2017, 38, 802–808. [Google Scholar]
- Chen, J.M.; Zhou, Y.Y.; Chen, D.Z.; Jin, X.J. A newly isolated strain capable of effectively degrading tetrahydrofuran and its performance in a continuous flow system. Bioresour. Technol. 2010, 101, 6461–6467. [Google Scholar] [CrossRef]
- Arriaga, S.; Muñoz, R.; Hernández, S.; Guieysse, B.; Revah, S. Gaseous hexane biodegradation by Fusarium solani in two liquid phase packed-bed and stirred-tank bioreactors. Environ. Sci. Technol. 2006, 40, 2390–2395. [Google Scholar] [CrossRef] [PubMed]
- Trevors, J.T. The measurement of electron transport system (ETS) activity in freshwater sediment. Water Res. 1984, 18, 581–584. [Google Scholar] [CrossRef]
- Trevors, J.T.; Knowles, R. Electron transport system activity in soil, sediment, and pure cultures. CRC Crit. Rev. Microbiol. 1984, 11, 83–100. [Google Scholar] [CrossRef] [PubMed]
- Mishra, S.; Singh, S.N. Microbial degradation of n-hexadecane in mineral salt medium as mediated by degradative enzymes. Bioresour. Technol. 2012, 111, 148–154. [Google Scholar] [CrossRef]
- Zeng, J.; Gao, J.M.; Chen, Y.P.; Yan, P.; Dong, Y.; Shen, Y.; Guo, J.S.; Zeng, N.; Zhang, P. Composition and aggregation of extracellular polymeric substances (EPS) in hyperhaline and municipal wastewater treatment plants. Sci. Rep. 2016, 6, 26721. [Google Scholar] [CrossRef]
- Zhang, P.; Fang, F.; Chen, Y.P.; Shen, Y.; Zhang, W.; Yang, J.X.; Li, C.; Guo, J.S.; Liu, S.Y.; Huang, Y. Composition of EPS fractions from suspended sludge and biofilm and their roles in microbial cell aggregation. Chemosphere 2014, 117, 59–65. [Google Scholar] [CrossRef]
- Zhang, L.L.; Leng, S.Q.; Zhu, R.Y.; Chen, J.M. Degradation of chlorobenzene by strain Ralstonia pickettii L2 isolated from a biotrickling filter treating a chlorobenzene-contaminated gas stream. Appl. Microbiol. Biotechnol. 2011, 91, 407–415. [Google Scholar] [CrossRef]
- Clarke, K.G.; Correia, L.D.C. Oxygen transfer in hydrocarbon-aqueous dispersions and its applicability to alkane bioprocesses: A review. Biochem. Eng. J. 2008, 39, 405–429. [Google Scholar] [CrossRef]
- Herrera, A.; Gómez, M.; Packard, T.T.; Reglero, P.; Blanco, E.; Barberá-Cebrián, C. Potential respiration estimated by electron transport system activity in deep-sea suprabenthic crustaceans off Balearic Islands (Western Mediterranean). J. Mar. Syst. 2014, 138, 104–111. [Google Scholar] [CrossRef]
- Li, F.; Zhu, L. Effect of surfactant-induced cell surface modifications on electron transport system and catechol 1,2-dioxygenase activities and phenanthrene biodegradation by Citrobacter sp. SA01. Bioresour. Technol. 2012, 123, 42–48. [Google Scholar] [CrossRef]
- Karimi, A.; Golbabaei, F.; Neghab, M.; Pourmand, M.R.; Nikpey, A.; Mohammad, K.; Mehrnia, M.R. Biodegradation of high concentrations of benzene vapors in a two phase partition stirred tank bioreactor. Iran. J. Environ. Health Sci. Eng. 2013, 10, 1–8. [Google Scholar] [CrossRef]
- MacLeod, C.T.; Daugulis, A.J. Interfacial effects in a two-phase partitioning bioreactor: Degradation of polycyclic aromatic hydrocarbons (PAHs) by a hydrophobic Mycobacterium. Process. Biochem. 2005, 40, 1799–1805. [Google Scholar] [CrossRef]
- Zikmanis, P.; Shakirova, L.; Auzina, L.; Andersone, I. Hydrophobicity of bacteria Zymomonas mobilis under varied environmental conditions. Process. Biochem. 2007, 42, 745–750. [Google Scholar] [CrossRef]
- Laspidou, C.S.; Rittmann, B.E. A unified theory for extracellular polymeric substances, soluble microbial products, and active and inert biomass. Water Res. 2002, 36, 2711–2720. [Google Scholar] [CrossRef]





| Initial Amount of CB in Serum Bottle (mg) | ETS Activity (μmol-INTF/(g Cell Dry Weight·h)) | |
|---|---|---|
| Single-phase system | Biphasic system | |
| 11 | 384.2 ± 51 | 396.4 ± 25 |
| 22 | 182.7 ± 25 | 283.5 ± 32 |
| 33 | -- | 234.9 ± 27 |
| System | CSH (%) | Protein in EPS (mg/g) | Polysaccharide in EPS (mg/g) | EPS (mg/g) | PN a/PS b |
|---|---|---|---|---|---|
| Single-phase system | 5.3 ± 0.4 | 18.2 ± 3.5 | 12.3 ± 3.1 | 30.5 ± 6.6 | 1.5 |
| Biphasic system | 42.5 ± 5.4 | 34.2 ± 5.8 | 7.5 ± 2.2 | 41.7 ± 8 | 4.6 |
© 2019 by the authors. Licensee MDPI, Basel, Switzerland. This article is an open access article distributed under the terms and conditions of the Creative Commons Attribution (CC BY) license (http://creativecommons.org/licenses/by/4.0/).
Share and Cite
Ye, J.-X.; Lin, T.-H.; Hu, J.-T.; Poudel, R.; Cheng, Z.-W.; Zhang, S.-H.; Chen, J.-M.; Chen, D.-Z. Enhancing Chlorobenzene Biodegradation by Delftia tsuruhatensis Using a Water-Silicone Oil Biphasic System. Int. J. Environ. Res. Public Health 2019, 16, 1629. https://doi.org/10.3390/ijerph16091629
Ye J-X, Lin T-H, Hu J-T, Poudel R, Cheng Z-W, Zhang S-H, Chen J-M, Chen D-Z. Enhancing Chlorobenzene Biodegradation by Delftia tsuruhatensis Using a Water-Silicone Oil Biphasic System. International Journal of Environmental Research and Public Health. 2019; 16(9):1629. https://doi.org/10.3390/ijerph16091629
Chicago/Turabian StyleYe, Jie-Xu, Tong-Hui Lin, Jing-Tao Hu, Rabin Poudel, Zhuo-Wei Cheng, Shi-Han Zhang, Jian-Meng Chen, and Dong-Zhi Chen. 2019. "Enhancing Chlorobenzene Biodegradation by Delftia tsuruhatensis Using a Water-Silicone Oil Biphasic System" International Journal of Environmental Research and Public Health 16, no. 9: 1629. https://doi.org/10.3390/ijerph16091629
APA StyleYe, J.-X., Lin, T.-H., Hu, J.-T., Poudel, R., Cheng, Z.-W., Zhang, S.-H., Chen, J.-M., & Chen, D.-Z. (2019). Enhancing Chlorobenzene Biodegradation by Delftia tsuruhatensis Using a Water-Silicone Oil Biphasic System. International Journal of Environmental Research and Public Health, 16(9), 1629. https://doi.org/10.3390/ijerph16091629
