Aboriginal Status and Neighborhood Income Inequality Moderate the Relationship between School Absenteeism and Early Childhood Development
Abstract
:1. Introduction
2. Materials and Methods
2.1. Data Sources and Variables
2.2. Statistical Analysis
3. Results
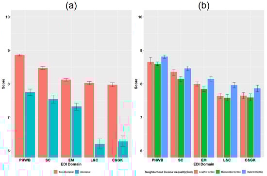
3.1. Descriptive and Inferential Statistics
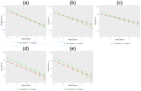
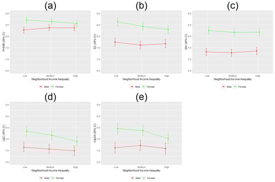
3.2. Multilevel Determinants of Developmental Outcomes
3.3. Multilevel Determinants of Vulnerability
4. Discussion
Limitations
5. Conclusions
Author Contributions
Funding
Conflicts of Interest
Abbreviations
| aOR | adjusted odds ratio |
| C&GK | communication and general knowledge |
| EDI | Early Development Instrument |
| EM | emotional maturity |
| L&C | language and cognitive development |
| PHWB | physical health and well-being |
| SC | social competence |
References
- Ready, D.D. Socioeconomic disadvantages, school attendance, and early cognitive development: The differential effects of school exposure. Soc. Educ. 2010, 83, 271–286. [Google Scholar] [CrossRef]
- Baxter, S.D.; Royer, J.A.; Hardin, J.W.; Guinn, C.H.; Derlin, C.M. The relationship of school absenteeism with body mass index, academic achievement, and socioeconomic status among fourth grade children. J. Sch. Health 2010, 81, 417–423. [Google Scholar] [CrossRef]
- Cornille-Smith, J.; Ryan, B.A.; Adams, G.R.; Dalicandro, T. Distinguishing absent students from regular attenders: The combined influence of personal, family, and school factor. J. Youth Adolesc. 1998, 27, 629–640. [Google Scholar] [CrossRef]
- Hanjo, S.; Nishide, T.; Niwa, S.; Saski, Y.; Kaneko, H.; Inoko, K.; Nishide, Y. School refusal and depression with school non-attendance in children and adolescents: Comparative assessment betwen the children’s depression inventory and somatic complains. Psychiatry Clin. Neurosci. 2001, 55, 629–634. [Google Scholar] [CrossRef] [PubMed]
- Lounsbury, J.W.; Steel, R.P.; Lovehand, J.M.; Gibson, L.W. An investigation of personal traits in relation to adolescent school absenteeism. J. Youth Adolesc. 2004, 33, 457–466. [Google Scholar] [CrossRef]
- Indigenous and Northern Affairs Canada. Indigenous Youth: Post-Secondary Education and the Labour Market. Available online: https://www.aadnc- aandc.gc.ca/DAM/DAM-INTER-HQ-AI/STAGING/texte-text/post_secondary_education_and_lm_1452001640143_eng.pdf (accessed on 3 April 2019).
- Government of Saskatchewan. Ministry of Education Annual Report for 2016–17. 2017. Available online: http://publications.gov.sk.ca/documents/15/101638-2016-17EducationAnnualReport.pdf (accessed on 3 April 2019).
- Government of British Columbia. Aboriginal Report 2010/11—2014/15. How Are We Doing? 2015. Available online: https://www2.gov.bc.ca/assets/gov/education/administration/kindergarten-to-grade-12/aboriginal-education/performance/perf2015.pdf (accessed on 3 April 2019).
- Statistics and Measurement Directorate Planning, Research and Statistics Branch, Policy and Strategic Direction Sector. Fact Sheet—2011 National Household Survey Aboriginal Demographics, Educational Attainment and Labour Market Outcomes. 2013. Available online: https://www.aadnc-aandc.gc.ca/eng/1376329205785/1376329233875 (accessed on 3 April 2019).
- Congress of Aboriginal Peoples. Staying in School: Engaging Aboriginal Students; Congress of Aboriginal Peoples: Ottawa, ON, Canada, 2010; Available online: https://neaoinfo.files.wordpress.com/2014/07/aboriginal-education-congress-of-aboriginal-peoples.pdf (accessed on 5 April 2019).
- Truth and Reconciliation Commission of Canada. Truth and Reconciliation Commission of Canada: Calls to Action; Government of Canada: Winnipeg, MB, Canada, 2015; Available online: http://trc.ca/assets/pdf/Calls_to_Action_English2.pdf (accessed on 5 April 2019).
- McIntyre, C. Read Justin Trudeau’s Apology to Residential School Survivors in Newfoundland; Maclean’s: Ottawa, ON, Canada, 2017; Available online: https://www.macleans.ca/news/canada/read-justin-trudeaus-apology-to-residential-school-survivors-in-newfoundland/ (accessed on 5 April 2019).
- Friesen, J.; Krauth, B. Key Policy Issues in Aboriginal Education: An Evidence-Based Approach; Council of Ministers of Education, Canada: Toronto, ON, Canada, 2012; Available online: www.cmec.ca/Publications/Lists/Publications/Attachments/295/Key-policy-Issues-in-Aboriginal-Education_EN.pdf (accessed on 13 February 2019).
- Minh, A.; Muhajarine, N.; Janus, M.; Brownell, M.; Guhn, M. A review of neighbourhood effects and early childhood development: How, where and for whom, do neighbourhoods matter? Health Place 2017, 46, 155–174. [Google Scholar] [CrossRef]
- Soltanifar, M.; Pahwa, P.; Muhajarine, N. A Multilevel analysis of the contribution of individual socioeconomic and geographical factors on Kindergarten children’s developmental vulnerability: A Saskatchewan Province Wide Study. Biostat. Biometrics Open Acc. J. 2017, 3, 555618. [Google Scholar] [CrossRef]
- Janus, M.; Brinksman, S.; Duku, E.; Hertzman, C.; Santos, R. The Early Development Instrument: A Population Based Measure for Communities; Offord Center for Child. Studies: Hamilton, ON, Canada, 2007. [Google Scholar]
- Statistics Canada. 2001 Census of Canada: Census of Populations, Census of Agriculture. 2001. Available online: https://www12.statcan.gc.ca/english/census01/home/Index.cfm (accessed on 17 June 2018).
- Statistics Canada. 2006 Census of Population. 2006. Available online: https://www12.statcan.gc.ca/datasets/Index-eng.cfm (accessed on 17 June 2018).
- Mario, F.G.D. Income inequality measures. J. Epidemiol. Community Health 2007, 61, 849–852. [Google Scholar]
- Kawachi, I. Income inequality and health. In Social Epidemiology; Berkman, L.F., Kawachi, I., Eds.; Oxford University Press: New York, NY, USA, 2000; pp. 76–94. [Google Scholar]
- Kawachi, I.; Kennedy, B.P. The relationship between income inequality to mortality: Does choice of indicator matter? Soc. Sci. Med. 1997, 45, 1121–1127. [Google Scholar] [CrossRef]
- Subramanian, S.V.; Kawachi, I.; Kennedy, B.P. Does the state you live in make a difference? Multilevel analysis of self-rated health in the U.S. Soc. Sci. Med. 2001, 53, 9–19. [Google Scholar] [CrossRef]
- Olson, M.E.; Diekema, D.; Elliot, B.A.; Renier, C.M. Impact of income and income inequality on infant health outcomes in the United States. Pediatrics 2010, 126, 1165–1173. [Google Scholar] [CrossRef] [PubMed]
- Daly, M.; Wilson, M.; Vasdev, S. Income inequality and homicide rates in Canada and the United States. Can. J. Criminol. Crim. Justice 2001, 43, 219–236. [Google Scholar]
- Kleinbaum, G.D.; Kupper, L.L.; Nizam, A.; Rosenberge, E.I. Applied Regression Analysis and Other Multivariate Models, 3rd ed.; Duxbury Press: New York, NY, USA, 1998. [Google Scholar]
- SAS Iinstitute Inc. SAS/STAT Software Version 9.4; SAS Institute Inc.: Cary, NC, USA, 2010. [Google Scholar]
- Puchala, C.; Vu, L.T.; Muhajarine, N. Neighbourhood ethnic diversity buffers school readiness impact in ESL children. Can. J. Public Health 2010, 101, S13–S18. [Google Scholar] [PubMed]
- Government of Manitoba, Winnipeg School Division. The Early Development Instrument (EDI) Report, 2014–2015. Available online: www.gov.mb.ca/healthychild/edi/edi_1415/2014_15_edi_provincial_report.pdf (accessed on 11 March 2019).
- Bougie, E.; Seneca, S. School Success and the Intergenerational Effect of Residential Schooling. 2010. Available online: https://ir.lib.uwo.ca/cgi/viewcontent.cgi?article=1356&context=aprci (accessed on 11 March 2019).
- Richards, J.; Hove, J.; Afolabi, K. Understanding the Aboriginal/Non-Aboriginal Gap in Student Performance: Lessons from British Columbia. 2008. Available online: https://www.cdhowe.org/sites/default/files/attachments/research_papers/mixed/commentary_276.pdf (accessed on 11 March 2019).
- Richard, J.; Vinning, A.; Weimer, D. Aboriginal performance on standardized tests: Evidence and analysis from provincial schools in British Columbia. Policy Stud. J. 2010, 38, 47–67. [Google Scholar] [CrossRef]
- Drummond, D.; Rosenbluth, E.K. The Debate on First Nations Education Funding: Minding the Gap. 2013. Available online: https://qspace.library.queensu.ca/bitstream/handle/1974/14846/Drummond_et_al_2013_Debate_on_First_Nations.pdf?sequence=1 (accessed on 11 March 2019).
- Auditor General of British Columbia. An Audit of the Education of Aboriginal Students in the BC Public School System. 2015. Available online: https://www.bcauditor.com/sites/default/files/publications/reports/OAGBC%20Aboriginal%20Education%20Report_FINAL.pdf (accessed on 11 March 2019).
- Aman, C. Aboriginal status and school mobility in British Columbia public schools. Alta. J. Educ. Res. 2008, 54, 365–377. [Google Scholar]
- Galster, G.C. The mechanism(s) of neighborhood effects: Theory, evidence and policy implications. In Neighbourhoood Effects Research: New Perspectives; van Ham, M., Manley, D., Bailey, N., Simpson, L., Maclenan, D., Eds.; Springer: Berlin, Germany, 2012; pp. 23–56. [Google Scholar]
- Smith, H.J.; Pettigrew, T.F.; Pippin, G.M.; Bialosiewicz, S. Relative deprivation: A theoretical and meta analytic review. Pers. Soc. Psychol. Rev. 2012, 16, 203–232. [Google Scholar] [CrossRef]
- Li, J.; D’Angiulli, A.; Kendall, G.E. The Early Development Index and children from culturally and linguistically diverse backgrounds. Early Years 2007, 27, 221–235. [Google Scholar] [CrossRef]
- Directions Evidence and Policy Research Group. Assessing Potential Bias in Population Level Research with Aboriginal Children: Literature Review, Psychometric and Administration Report 2016. Available online: http://earlylearning.ubc.ca/media/publications/edi_assessing_bias_final_report_2016-01-16.pdf (accessed on 11 March 2019).
- Muhajarine, N.; Puchala, C.; Janus, M. Does the EDI equivalently measure facets of school readiness for Aboriginal and non-Aboriginal children? Soc. Indic. Res. 2011, 103, 299–314. [Google Scholar] [CrossRef]
- Guhn, M.; Gaderman, A.; Zumbo, B.D. Does the EDI measure school readiness in the same way across different groups of children? Early Educ. Dev. 2010, 18, 453–472. [Google Scholar] [CrossRef]
- Robinson, J.L. Are there implications for prevention research from studies of resilience ? Child. Dev. 2000, 71, 570–572. [Google Scholar] [CrossRef]
- Roosa, M.W. Some thoughts about resilience versus positive development, main effects versus interaction, and the value of resilience. Child. Dev. 2000, 71, 567–569. [Google Scholar] [CrossRef]





| Variable | Category | n% | Min–Max | |
|---|---|---|---|---|
| Predictors | ||||
| Children’s Characteristics | ||||
| Age | 0.0042 | 4.01–7.94 | ||
| Days absent | 0.0610 | 0.00–56.00 | ||
| Number of special skills | 0.00–7.00 | |||
| Sex | Female | 49.18 | ||
| Male | 50.82 | |||
| Aboriginal | Yes | 17.15 | ||
| No | 82.85 | |||
| Attendance at French immersion school | Yes | 11.53 | ||
| No | 88.47 | |||
| Maternal language | English | 93.85 | ||
| Other | 6.15 | |||
| Neighborhood Characteristics | ||||
| Gini Index | 0.004 | 0.31–0.60 | ||
| Median income ($10 K/capita) | 0.0090 | 0.61–4.12 | ||
| Unemployment rate (15+ years of age) | 0.0499 | 1.30–27.70 | ||
| College educated percentage | 0.1334 | 1.00–65.00 | ||
| Dwelling average value ($10 K) | 0.0765 | 6.81–33.23 | ||
| Single parent percentage | 0.0772 | 0.00–42.59 | ||
| Continuous Outcomes (EDI) | ||||
| Physical health and well-being | 0.0163 | 1.53–10.00 | ||
| Social competence | 0.0216 | 0.00–10.00 | ||
| Emotional maturity | 0.0193 | 1.00–10.00 | ||
| Language & cognitive development | 0.0255 | 0.00–10.00 | ||
| Communication & general knowledge | 0.0290 | 0.00–10.00 | ||
| Binary Outcome | ||||
| Vulnerable | Yes | 28.71 | ||
| No | 71.29 |
| Linear Model | Logistic Model | |||||
|---|---|---|---|---|---|---|
| Outcomes | PHWB | SC | EM | L & C | C & GK | Vulnerable |
| Predictors | ||||||
| Children’s Characteristics | ||||||
| ) | ) | ) | ) | ) | ) | ) |
| ) | ) | ) | 0.0585) | ) | ) | ) |
| ) | ) | ) | ) | ) | ) | ) |
| ) | ) | ) | ) | ) | ) | ) |
| ) | ) | ) | ) | ) | ) | ) |
| ) | ) | ) | ) | ) | ) | ) |
| ) | ) | ) | 0.0637) | ) | ) | ) |
| ) | ) | ) | ) | ) | ) | ) |
| Neighborhood Characteristics | ||||||
| ) | ) | ) | ) | ) | ) | 0.1441) |
| ) | ) | ) | ) | ) | ) | 0.1570) |
| ) | ) | ) | ) | ) | ) | ) |
| ) | ) | ) | ) | ) | ) | ) |
| ) | ) | 0.0068) | 0.0059) | ) | ) | ) |
| ) | ) | 0.0168) | ) | ) | ) | ) |
| ) | 0.0107) | ) | ) | ) | ) | |
| ) | ) | 0.0415) | ) | ) | ) | ) |
| Interactions | ||||||
| ) | ) | ) | 0.0106) | ) | 0.0155) | ) |
| ) | 0.0090) | ) | 0.0113) | ) | ) | ) |
| ) | 0.0075) | ) | ) | ) | ) | ) |
| ) | ) | ) | ) | ) | ) | ) |
| ) | ) | ) | ) | ) | ) | ) |
| Model Information | ||||||
| 0.034 | 0.040 | 0.034 | 0.063 | 0.094 | 0.027 | |
| 1.269 | 2.503 | 2.007 | 3.048 | 4.223 | 3.290 | |
| VPC (%) | 2.6 | 1.5 | 1.7 | 2.0 | 2.1 | 0.8 |
| AIC | 16,729.2 | 20,363.1 | 19,061.8 | 21,391.5 | 23,167.1 | 5603.7 |
| 1.322 | 2.582 | 2.075 | 3.168 | 4.393 | 1.030 | |
© 2019 by the authors. Licensee MDPI, Basel, Switzerland. This article is an open access article distributed under the terms and conditions of the Creative Commons Attribution (CC BY) license (http://creativecommons.org/licenses/by/4.0/).
Share and Cite
Muhajarine, N.; McRae, D.; Soltanifar, M. Aboriginal Status and Neighborhood Income Inequality Moderate the Relationship between School Absenteeism and Early Childhood Development. Int. J. Environ. Res. Public Health 2019, 16, 1347. https://doi.org/10.3390/ijerph16081347
Muhajarine N, McRae D, Soltanifar M. Aboriginal Status and Neighborhood Income Inequality Moderate the Relationship between School Absenteeism and Early Childhood Development. International Journal of Environmental Research and Public Health. 2019; 16(8):1347. https://doi.org/10.3390/ijerph16081347
Chicago/Turabian StyleMuhajarine, Nazeem, Daphne McRae, and Mohsen Soltanifar. 2019. "Aboriginal Status and Neighborhood Income Inequality Moderate the Relationship between School Absenteeism and Early Childhood Development" International Journal of Environmental Research and Public Health 16, no. 8: 1347. https://doi.org/10.3390/ijerph16081347
APA StyleMuhajarine, N., McRae, D., & Soltanifar, M. (2019). Aboriginal Status and Neighborhood Income Inequality Moderate the Relationship between School Absenteeism and Early Childhood Development. International Journal of Environmental Research and Public Health, 16(8), 1347. https://doi.org/10.3390/ijerph16081347

