Health Assessment of Trace Metal Concentrations in Organic Fertilizer in Northern China
Abstract
1. Introduction
2. Materials and Methods
2.1. Sample Collection and Processing
2.1.1. Sample Collection and Pre-Treatment
2.1.2. Sample Preparation and Analysis for the Total Concentration of Trace Metals
2.2. Risk of Trace Metal Accumulation in Soil from the Applications ofFertilizer
2.2.1. Accumulation of Trace Metals in Soil
2.2.2. Amount of Trace Metals in Soil from Organic Fertilizer
2.2.3. Time Scale (in Years) Needed to Double the Trace Metal Concentrations in Soil from Its Background Levels
2.3. Human Body Exposure Model for Trace Metals
2.3.1. Oral Exposure
2.3.2. Skin Exposure
2.3.3. Respiratory Exposure
2.4. Human Health Risk Assessment
2.4.1. Potential Non-Carcinogenic Risk
2.4.2. Potential Carcinogenic Risk
2.5. Statistical Analysis
3. Results and Discussion
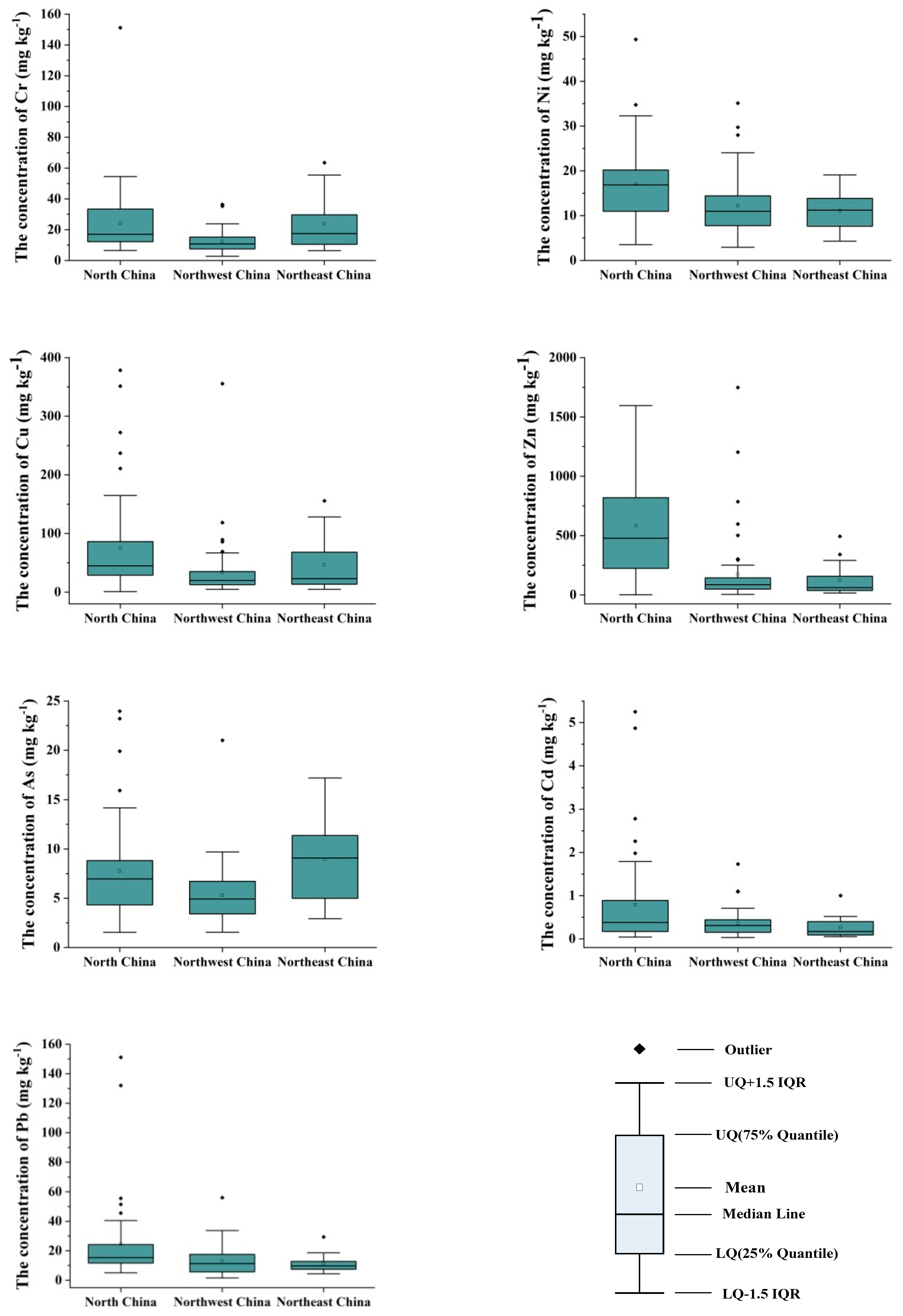
3.1. Characteristics of Trace Metal Concentration in Organic Fertilizers
3.2. Limit Standards and Exceeding Standards for Trace Metals in Organic Fertilizers
3.3. Correlation Analysis of Trace Metal Concentrations in Organic Fertilizer
3.4. Accumulation Risk of Trace Metals in Soil from Organic Fertilizer
3.5. Risks of Trace Metals to Human Health through Soil
4. Conclusions
Author Contributions
Funding
Conflicts of Interest
References
- Duan, Y.H.; Xu, M.G.; Gao, S.D.; Liu, H.; Huang, S.M.; Wang, B.R. Long-term incorporation of manure with chemical fertilizers reduced total nitrogen loss in rain-fed cropping systems. Sci. Rep. 2016, 6, 33611. [Google Scholar] [CrossRef] [PubMed]
- Liu, D.; Zhang, R.; Wu, H.; Xu, D.; Tang, Z.; Yu, G.; Xu, Z.; Shen, Q. Changes in biochemical and microbiological parameters during the period of rapid composting of dairy manure with rice chaff. Bioresour. Technol. 2011, 102, 9040–9049. [Google Scholar] [CrossRef] [PubMed]
- Wang, Y.; Zhu, Y.; Zhang, S.; Wang, Y. What could promote farmers to replace chemical fertilizers with organic fertilizers? J. Clean. Prod. 2018, 199, 882–890. [Google Scholar] [CrossRef]
- Tilman, D.; Fargione, J.; Wolff, B.; D’Antonio, C.; Dobson, A.; Howarth, R.; Schindler, D.; Schlesinger, W.H.; Simberloff, D.; Swackhamer, D. Forecasting agriculturally driven global environmental change. Science 2001, 292, 281–284. [Google Scholar] [CrossRef]
- Briassoulis, D.; Hiskakis, M.; Babou, E.; Antiohos, S.K.; Papadi, C. Experimental investigation of the quality characteristics of agricultural plastic wastes regarding their recycling and energy recovery potential. Waste Manag. 2012, 32, 1075–1090. [Google Scholar] [CrossRef] [PubMed]
- Li, H.; Feng, W.T.; He, X.H.; Zhu, P.; Gao, H.J.; Sun, N.; Xu, M.G. Chemical fertilizers could be completely replaced by manure to maintain high maize yield and soil organic carbon (SOC) when SOC reaches a threshold in the Northeast China Plain. J. Integr. Agric. 2017, 16, 937–946. [Google Scholar] [CrossRef]
- Diacono, M.; Montemurro, F. Long-Term Effects of Organic Amendments on Soil Fertility. Sustain. Agric. 2011, 2, 761–786. [Google Scholar]
- Onwosi, C.O.; Igbokwe, V.C.; Odimba, J.N.; Eke, I.E.; Nwankwoala, M.O.; Iroh, I.N.; Ezeogu, L.I. Composting technology in waste stabilization: On the methods, challenges and future prospects. J. Environ. Manag. 2017, 190, 140–157. [Google Scholar] [CrossRef] [PubMed]
- Lopes, C.; Herva, M.; Franco-Uría, A.; Roca, E. Inventory of heavy metal content in organic waste applied as fertilizer in agriculture: Evaluating the risk of transfer into the food chain. Environ. Sci. Pollut. Res. 2011, 18, 918–939. [Google Scholar] [CrossRef]
- Franco, A.; Schuhmacher, M.; Roca, E.; Luis Domingo, J. Application of cattle manure as fertilizer in pastureland: Estimating the incremental risk due to metal accumulation employing a multicompartment model. Environ. Int. 2006, 32, 724–732. [Google Scholar] [CrossRef]
- Kumpiene, J.; Lagerkvist, A.; Maurice, C. Stabilization of As, Cr, Cu, Pb and Zn in soil using amendments—A review. Waste Manag. 2008, 28, 215–225. [Google Scholar] [CrossRef] [PubMed]
- Kupper, T.; Burge, D.; Bachmann, H.J.; Gusewell, S.; Mayer, J. Heavy metals in source-separated compost and digestates. Waste Manag. 2014, 34, 867–874. [Google Scholar] [CrossRef] [PubMed]
- Yang, X.; Li, Q.; Tang, Z.; Zhang, W.; Yu, G.; Shen, Q.; Zhao, F.J. Heavy metal concentrations and arsenic speciation in animal manure composts in China. Waste Manag. 2017, 64, 333–339. [Google Scholar] [CrossRef] [PubMed]
- Liu, R.; Li, S.; Wang, X.; Wang, M. Contents of heavy metal in commercial organic fertilizers and organic wastes. J. Agro-Environ. Sci. 2005, 24, 392–397. [Google Scholar]
- Shi, T.; Ma, J.; Wu, X.; Ju, T.; Lin, X.; Zhang, Y.; Li, X.; Gong, Y.; Hou, H.; Zhao, L.; et al. Inventories of heavy metal inputs and outputs to and from agricultural soils: A review. Ecotoxicol. Environ. Saf. 2018, 164, 118–124. [Google Scholar] [CrossRef]
- Luo, L.; Ma, Y.; Zhang, S.; Wei, D.; Zhu, Y.G. An inventory of trace element inputs to agricultural soils in China. J. Environ. Manag. 2009, 90, 2524–2530. [Google Scholar] [CrossRef]
- Ding, F.; He, Z.; Liu, S.; Zhang, S.; Zhao, F.; Li, Q.; Stoffella, P.J. Heavy metals in composts of China: Historical changes, regional variation, and potential impact on soil quality. Environ. Sci. Pollut. Res. Int. 2017, 24, 3194–3209. [Google Scholar] [CrossRef] [PubMed]
- Zhao, F.J.; Ma, Y.B.; Zhu, Y.G.; Tang, Z.; McGrath, S.P. Soil Contamination in China: Current Status and Mitigation Strategies. Environ. Sci. Technol. 2015, 49, 750–759. [Google Scholar] [CrossRef] [PubMed]
- Zawadzki, J.; Fabijańczyk, P. Geostatistical evaluation of lead and zinc concentration in soils of an old mining area with complex land management. Int. J. Environ. Sci. Technol. 2012, 10, 729–742. [Google Scholar] [CrossRef]
- Chen, W.; Zheng, R.; Baade, P.D.; Zhang, S.; Zeng, H.; Bray, F.; Jemal, A.; Yu, X.Q.; He, J. Cancer statistics in China, 2015. CA Cancer J. Clin. 2016, 66, 115–132. [Google Scholar] [CrossRef] [PubMed]
- Huang, J.; Guo, S.; Zeng, G.-M.; Li, F.; Gu, Y.; Shi, Y.; Shi, L.; Liu, W.; Peng, S. A new exploration of health risk assessment quantification from sources of soil heavy metals under different land use. Environ. Pollut. 2018, 243, 49–58. [Google Scholar] [CrossRef] [PubMed]
- Wu, W.; Wu, P.; Yang, F.; Sun, D.L.; Zhang, D.X.; Zhou, Y.K. Assessment of heavy metal pollution and human health risks in urban soils around an electronics manufacturing facility. Sci. Total Environ. 2018, 630, 53–61. [Google Scholar] [CrossRef] [PubMed]
- Liu, Y.; Lei, S.G.; Chen, X.Y. Assessment of heavy metal pollution and human health risk in urban soils of a coal mining city in East China. Hum. Ecol. Risk Assess. 2016, 22, 1359–1374. [Google Scholar] [CrossRef]
- Oguri, T.; Suzuki, G.; Matsukami, H.; Uchida, N.; Tue, N.M.; Tuyen, L.H.; Viet, P.H.; Takahashi, S.; Tanabe, S.; Takigami, H. Exposure assessment of heavy metals in an e-waste processing area in northern Vietnam. Sci. Total Environ. 2018, 621, 1115–1123. [Google Scholar] [CrossRef] [PubMed]
- Wang, H.; Dong, Y.H.; Yang, Y.Y.; Toor, G.S.; Zhang, X.M. Changes in heavy metal contents in animal feeds and manures in an intensive animal production region of China. J. Environ. Sci. 2013, 25, 2435–2442. [Google Scholar] [CrossRef]
- Hseu, Z.Y. Evaluating heavy metal contents in nine composts using four digestion methods. Bioresour. Technol. 2004, 95, 53–59. [Google Scholar] [CrossRef] [PubMed]
- Cenmc, N.E.P.A. Background Value of Chinese Soil Element; Environmental Science Press of China: Beijing, China, 1990. [Google Scholar]
- Hou, P.; Chen, X.-P.; Cui, Z.-L.; Li, S.-Q.; Wang, W.; Ye, Y.-L.; Chen, Y.-X.; Zhang, F.-S. Potential maize yield realization and related driving factors in four typical soils. Chin. J. Eco-Agric. 2012, 20, 874–881. [Google Scholar] [CrossRef]
- Zhao, R.X. The Actuality, Problem and Countermeasure of Non-Polluted Vegetable Development in the Shaerqin Area of Baotou City; Northwest A&F University: Yangling, China, 2008; pp. 28–42. [Google Scholar]
- Tang, Y.; Li, L.; Bai, G.; Liu, P. Investigation and Analysis on the Current Status of Fertilization and Soil Nitrogen and Phosphorus Accumulation in Greenhouse Vegetable in Southern of Shanxi. J. Shanxi Agric. Sci. 2017, 45, 773–776, 785. [Google Scholar]
- Li, S.H. Characteristics of Heavy Metal Accumulation and Regulation Strategies in Soils of Protected Vegetables Cultivation in the North China; Chinese Academy Agriculture Science: Haikou, Hainan, 2011; pp. 41–55. [Google Scholar]
- Hu, F. Current Status of Fertilization of Kiwifruit and Vegetables and Analysis of Fertilizer Use of Main Crops in Shaanxi Province; Northwest A&F University: Yangling, China, 2017; pp. 17–34. [Google Scholar]
- Guan, Y.; Chu, C.; Shao, C.; Ju, M.; Dai, E. Study of integrated risk regionalisation method for soil contamination in industrial and mining area. Ecol. Indic. 2017, 83, 260–270. [Google Scholar] [CrossRef]
- Sager, M. Trace and nutrient elements in manure, dung and compost samples in Austria. Soil Biol. Biochem. 2007, 39, 1383–1390. [Google Scholar] [CrossRef]
- Nicholson, F.A.; Chambers, B.J.; Williams, J.R.; Unwin, R.J. Heavy metal contents of livestock feeds and animal manures in England and Wales. Bioresour. Technol. 1999, 70, 23–31. [Google Scholar] [CrossRef]
- Milan Ihnat, L.F. Trace elemental characterization of composted poultry manure. Bioresour. Technol. 1996, 57, 143–156. [Google Scholar] [CrossRef]
- Huang, S.W.; Tang, J.W.; Li, C.H. Status of heavy metals, nutrients, and total salts in commercial organic fertilizers and organic wastes in China. J. Plant. Nutr. Fertil. 2017, 23, 162–173. [Google Scholar]
- Wang, F.; Zhao, L.; Shen, Y.; Meng, H.; Xiang, X.; Cheng, H.; Luo, Y. Analysis of heavy metal contents and source tracing in organic fertilizer from livestock manure in North China. Trans. Chin. Soc. Agric. Eng. 2013, 29, 202–208. [Google Scholar]
- Qian, M.; Wu, H.; Wang, J.; Zhang, H.; Zhang, Z.; Zhang, Y.; Lin, H.; Ma, J. Occurrence of trace elements and antibiotics in manure-based fertilizers from the Zhejiang Province of China. Sci. Total Environ. 2016, 559, 174–181. [Google Scholar] [CrossRef] [PubMed]
- Van Fan, Y.; Lee, C.T.; Klemeš, J.J.; Bong, C.P.C.; Ho, W.S. Economic assessment system towards sustainable composting quality in the developing countries. Clean Technol. Environ. Policy 2016, 18, 2479–2491. [Google Scholar] [CrossRef]
- Mohee, R.; Soobhany, N. Comparison of heavy metals content in compost against vermicompost of organic solid waste: Past and present. Resour. Conserv. Rec. 2014, 92, 206–213. [Google Scholar] [CrossRef]
- Fertilizer Gradation and Requirement, Ministry of Industry and Information Technology of the People’s Republic of China. Available online: http://www.miit.gov.cn/n1146295/n1652858/n1653100/n3767755/c5940232/content.html (accessed on 12 April 2017).
- Lu, X.M.; Lu, P.Z.; Chen, J.J.; Zhang, H.; Fu, J. Effect of passivator on Cu form transformation in pig manure aerobic composting and application in soil. Environ. Sci. Pollut. Res. Int. 2015, 22, 14727–14737. [Google Scholar] [CrossRef] [PubMed]
- Wang, Q.; Wang, Z.; Awasthi, M.K.; Jiang, Y.H.; Li, R.H.; Ren, X.N.; Zhao, J.C.; Shen, F.; Wang, M.J.; Zhang, Z.Q. Evaluation of medical stone amendment for the reduction of nitrogen loss and bioavailability of heavy metals during pig manure composting. Bioresour. Technol. 2016, 220, 297–304. [Google Scholar] [CrossRef] [PubMed]
- Li, Z.J.; Deng, H.; Yang, L.; Zhang, G.L.; Li, Y.Q.; Ren, Y.S. Influence of potassium hydroxide activation on characteristics and environmental risk of heavy metals in chars derived from municipal sewage sludge. Bioresour. Technol. 2018, 256, 216–223. [Google Scholar] [CrossRef] [PubMed]
- Xiong, X.; Yanxia, L.; Wei, L.; Chunye, L.; Wei, H.; Ming, Y. Copper content in animal manures and potential risk of soil copper pollution with animal manure use in agriculture. Resour. Conserv. Rec. 2010, 54, 985–990. [Google Scholar] [CrossRef]
- Wang, X.; Liu, W.; Li, Z.G.; Teng, Y.; Christie, P.; Luo, Y. Effects of Long-Term Fertilizer Applications on Peanut Yield and Quality and on Plant and Soil Heavy Metal Accumulation. Pedosphere 2017. [Google Scholar] [CrossRef]
- Nziguheba, G.; Smolders, E. Inputs of trace elements in agricultural soils via phosphate fertilizers in European countries. Sci. Total Environ. 2008, 390, 53–57. [Google Scholar] [CrossRef]
- Akhtar, K.; Wang, W.Y.; Ren, G.X.; Khan, A.; Feng, Y.Z.; Yang, G.H. Changes in soil enzymes, soil properties, and maize crop productivity under wheat straw mulching in Guanzhong, China. Soil Tillage Res. 2018, 182, 94–102. [Google Scholar] [CrossRef]
- Gu, Z.J.; Xie, Y.; Gao, Y.; Ren, X.Y.; Cheng, C.C.; Wang, S.C. Quantitative assessment of soil productivity and predicted impacts of water erosion in the black soil region of northeastern China. Sci. Total Environ. 2018, 637, 706–716. [Google Scholar] [CrossRef]
- Li, Y.; McCrory, D.F.; Powell, J.M.; Saam, H.; Jackson-Smith, D. A survey of selected heavy metal concentrations in Wisconsin dairy feeds. J. Dairy Sci. 2005, 88, 2911–2922. [Google Scholar] [CrossRef]
- Kilic, I.; Uguz, S.; Asik, B.B. Soil pollution by trace metals derived from animal feed and manure in the Bursa region of Turkey. Toxicol. Environ. Chem. 2015, 96, 1476–1488. [Google Scholar] [CrossRef]
- Moral, R.; Perez-Murcia, M.D.; Perez-Espinosa, A.; Moreno-Caselles, J.; Paredes, C.; Rufete, B. Salinity, organic content, micronutrients and heavy metals in pig slurries from South-eastern Spain. Waste Manag. 2008, 28, 367–371. [Google Scholar] [CrossRef]
- Li, Y.X.; Chen, T.B. Concentrations of additive arsenic in Beijing pig feeds and the residues in pig manure. Resour. Conserv. Rec. 2005, 45, 356–367. [Google Scholar] [CrossRef]
- Li, X.Y.; Li, Z.G.; Lin, C.J.; Bi, X.Y.; Liu, J.L.; Feng, X.; Zhang, H.; Chen, J.; Wu, T.T. Health risks of heavy metal exposure through vegetable consumption near a large-scale Pb/Zn smelter in central China. Ecotoxicol. Environ. Saf. 2018, 161, 99–110. [Google Scholar] [CrossRef]
- Lei, M.; Tie, B.Q.; Song, Z.G.; Liao, B.H.; Lepo, J.E.; Huang, Y.Z. Heavy metal pollution and potential health risk assessment of white rice around mine areas in Hunan Province, China. Food Secur. 2015, 7, 45–54. [Google Scholar] [CrossRef]
- Jarup, L. Hazards of heavy metal contamination. Br. Med. Bull. 2003, 68, 167–182. [Google Scholar] [CrossRef]
- Stolz, J.F.; Perera, E.; Kilonzo, B.; Kail, B.; Crable, B.; Fisher, E.; Ranganathan, M.; Wormer, L.; Basu, P. Biotransformation of 3-nitro-4-hydroxybenzene arsonic acid (roxarsone) and release of inorganic arsenic by Clostridium species. Environ. Sci. Technol. 2007, 41, 818–823. [Google Scholar] [CrossRef] [PubMed]
- Manakova, B.; Kuta, J.; Svobodova, M.; Hofman, J. Effects of combined composting and vermicomposting of waste sludge on arsenic fate and bioavailability. J. Hazard. Mater. 2014, 280, 544–551. [Google Scholar] [CrossRef] [PubMed]
- Chaney, R.L. Food Safety Issues for Mineral and Organic Fertilizers; Academic Press: Cambridge, MA, USA, 2012; pp. 51–116. [Google Scholar]




| Manure | North China (n = 48) | Northwest China (n = 55) | Northeast China (n = 14) | |||
|---|---|---|---|---|---|---|
| n | Proportion (%) | n | Proportion (%) | n | Proportion (%) | |
| Cattle | 2 | 4.17 | 18 | 32.73 | 5 | 35.72 | 
| Sheep | 15 | 31.25 | 12 | 21.82 | 1 | 7.14 | 
| Poultry | 12 | 25.0 | 3 | 5.45 | 4 | 28.57 | 
| Pig | 0 | 0 | 6 | 10.91 | 0 | 0 | 
| Rabbit | 2 | 4.17 | 0 | 0 | 0 | 0 | 
| Mixed | 17 | 35.41 | 16 | 29.09 | 4 | 28.57 | 
| Parameter | Unit | North China | Northwest China | Northeast China | References | 
|---|---|---|---|---|---|
| Initial content of Cr in soil Q0,Cr | mg·kg−1 | 51.60 | 65.70 | 52.65 | [27] | 
| Initial content of Ni in soil Q0,Ni | mg·kg−1 | 25.75 | 32.55 | 22.10 | [27] | 
| Initial content of Cu in soil Q0,Cu | mg·kg−1 | 20.50 | 22.45 | 18.55 | [27] | 
| Initial content of Zn in soil Q0,Zn | mg·kg−1 | 67.30 | 69.25 | 75.55 | [27] | 
| Initial content of As in soil Q0,As | mg·kg−1 | 8.65 | 12.33 | 7.65 | [27] | 
| Initial content of Cd in soil Q0,Cd | mg·kg−1 | 0.091 | 0.115 | 0.093 | [27] | 
| Initial content of Pb in soil Q0,Pb | mg·kg−1 | 17.65 | 20.43 | 26.50 | [27] | 
| Soil bulk density (ρb) | g·cm−3 | 1.35 | 1.18 | 1.41 | [28] | 
| Organic fertilizer application rate (IRf) | t·hm−2·year−1 | 33.92 | 80.30 | 115.89 | [29,30,31,32] | 
| Contaminants | SF | RfDf | RfDs | RfDb | 
|---|---|---|---|---|
| (kg·day·mg−1) | (mg·kg−1·day−1) | (mg·kg−1·day−1) | (mg·kg−1·day−1) | |
| Cr | 4.20 × 101 | 3.00 × 10−3 | 2.9 × 10−5 | 6.00 × 10−5 | 
| Ni | 8.40 × 10−1 | 2.00 × 10−2 | 2.00 × 10−2 | 5.40 × 10−3 | 
| Cu | 4.00 × 10−2 | 4.00 × 10−2 | 1.20 × 10−2 | |
| Zn | 3.00 × 10−1 | 3.00 × 10−1 | 6.00 × 10−2 | |
| As | 1.51 × 101 | 3.00 × 10−4 | 3.00 × 10−4 | 1.20 × 10−3 | 
| Cd | 6.30 | 1.00 × 10−3 | 1.00 × 10−3 | 1.00 × 10−5 | 
| Pb | 3.50 × 10−3 | 3.50 × 10−3 | 5.20 × 10−4 | 
| Cr | Ni | Cu | Zn | As | Cd | Pb | ||
|---|---|---|---|---|---|---|---|---|
| North China | Range | 6.53–151.15 | 3.54–49.35 | 0.76–378.32 | 0.50–1595.42 | 1.54–23.96 | 0.04–5.25 | 5.08–151.09 | 
| Mean | 24.14 | 17.01 | 75.19 | 581.91 | 7.76 | 0.79 | 24.47 | |
| Median | 17.02 | 16.90 | 44.85 | 478.11 | 6.96 | 0.38 | 15.46 | |
| SD | 22.55 | 8.57 | 83.83 | 429.65 | 4.89 | 1.09 | 27.27 | |
| C.V.(%) | 93.43 | 50.38 | 111.50 | 73.83 | 63.02 | 138.36 | 111.46 | |
| PS-K | 0.000 | 0.003 | 0.000 | 0.006 | 0.000 | 0.000 | 0.000 | |
| Northwest China | Range | 2.74–36.34 | 2.94–35.11 | 4.55–355.52 | 4.11–1748.01 | 1.55–21.00 | 0.03–1.73 | 1.60–55.98 | 
| Mean | 12.26 | 12.21 | 34.20 | 174.08 | 5.30 | 0.35 | 13.05 | |
| Median | 10.75 | 10.98 | 19.84 | 86.71 | 4.92 | 0.31 | 11.36 | |
| SD | 6.75 | 6.49 | 49.72 | 297.55 | 3.04 | 0.29 | 9.23 | |
| C.V.(%) | 55.03 | 53.17 | 145.39 | 170.92 | 57.35 | 82.75 | 70.70 | |
| PS-K | 0.000 | 0.000 | 0.000 | 0.000 | 0.000 | 0.000 | 0.000 | |
| Northeast China | Range | 6.43–63.46 | 4.33–19.09 | 4.69–155.68 | 16.09–493.15 | 2.93–17.19 | 0.05–1.00 | 4.43–29.34 | 
| Mean | 23.75 | 11.09 | 46.53 | 124.53 | 8.93 | 0.26 | 10.99 | |
| Median | 17.47 | 11.23 | 23.02 | 60.86 | 9.08 | 0.17 | 9.73 | |
| SD | 17.89 | 4.59 | 46.83 | 145.93 | 4.50 | 0.26 | 6.49 | |
| C.V.(%) | 75.35 | 41.39 | 100.64 | 117.19 | 50.40 | 100.42 | 59.09 | |
| PS-K | 0.023 | 0.713 | 0.010 | 0.001 | 0.524 | 0.001 | 0.007 | |
| Northern China | Range | 2.74–151.15 | 2.94–49.35 | 0.76–378.32 | 0.50–1748.01 | 1.54–23.96 | 0.03–5.25 | 1.60–151.09 | 
| Mean | 18.51 | 14.05 | 52.49 | 335.47 | 6.74 | 0.52 | 17.49 | |
| Median | 13.03 | 12.05 | 31.67 | 144.14 | 5.96 | 0.31 | 12.41 | |
| SD | 17.27 | 7.62 | 67.97 | 401.56 | 4.27 | 0.76 | 19.50 | |
| C.V.(%) | 93.28 | 54.23 | 129.50 | 119.70 | 63.37 | 146.32 | 111.50 | |
| PS-K | 0.000 | 0.000 | 0.000 | 0.000 | 0.000 | 0.000 | 0.000 | 
| Region | Type of Organic Fertilizer | n | Cr | Ni | Cu | Zn | As | Cd | Pb | References | 
|---|---|---|---|---|---|---|---|---|---|---|
| Austria | Compost | NA | 38.3 | 25.7 | 100 | 267 | 7.0 | 0.43 | 43.4 | [34] | 
| Organic fertilizer: poultry dung | NA | 10.7 | 8.5 | 66 | 314 | NA | 0.43 | 5.4 | ||
| Organic fertilizer: pig dung | NA | 7.8 | 8.9 | 62 | 399 | NA | 0.33 | 5.0 | ||
| UK a | Straw-based farmyard dairy cattle manure | 6 | 5.32 | 3.7 | 37.5 | 153 | 1.63 | 0.38 | 3.61 | [35] | 
| Straw-based farmyard beef cattle manure | 12 | 1.41 | 2.0 | 16.4 | 81 | 0.79 | 0.13 | 1.95 | ||
| Straw-based farmyard pig manure | 17 | 1.98 | 7.5 | 374 | 431 | 0.86 | 0.37 | 2.94 | ||
| Canada a | Peat/manure compost | 11 | 3.53 ± 0.51 | 3.8 ± 1.6 | 16.9 ± 7.3 | 142 ± 61 | NA | 0.26 ± 0.15 | 4.8 ± 2.2 | [36] | 
| Straw/manure compost | 14 | 4.5 ± 1.1 | 5.4 ± 1.8 | 25.1 ± 7.2 | 159 ± 35 | NA | 0.21 ± 0.05 | 1.7 ± 1.7 | ||
| Switzerland | Compost | 81 | 20 | 16 | 52 | 147 | NA | 0.11 | 38 | [12] | 
| China | Animal manure composts | 212 | 17.90 | 12.40 | 50.60 | 288.0 | 6.65 | 0.14 | 7.61 | [13] | 
| China | Commercial organic fertilizer | 162 | 53.5 | 21 | 75.4 | 732.4 | 2.96 | 5.64 | 36.6 | [14] | 
| China | Commercial organic fertilizers | 126 | 165.2 ± 583.2 | NA | 122.2 ± 166.8 | 260.6 ± 272.1 | 5.6 ± 4.0 | 1.2 ± 0.97 | 34.3 ± 112 | [37] | 
| North China | Livestock manure organic fertilizer | 42 | 45.42 | 16.5 | 69.22 | 274.58 | 3.21 | 0.21 | 87.4 | [38] | 
| Jiangsu Province, China | Composite pig manure | 80 | 8.0 | NA | 113.7 | 427.2 | 0.9 | 0.37 | 3.8 | [25] | 
| Composite dairy manure | 35 | 9.9 | NA | 45.5 | 186.3 | 1.0 | 0.32 | 8.4 | ||
| Composite poultry manure | 65 | 9.8 | NA | 56.7 | 391.2 | 1.5 | 0.42 | 4.5 | ||
| Zhejiang Province, China | Manure-based fertilizers | 219 | 21.2 | NA | 160 | 465 | 7.9 | 0.6 | 8.1 | [39] | 
| Region | Cr | Ni | Cu | Zn | As | Cd | Pb | Standard File | 
|---|---|---|---|---|---|---|---|---|
| Africa | ||||||||
| Mauritius | 50 | 50 | - | 300 | 10 | 3 | 100 | MS 164 (2010) | 
| America | ||||||||
| United States | 1200 | 420 | 1500 | 2800 | 41 | 39 | 300 | USCC-2001 | 
| United States, Washington | - | 210 | 750 | 1400 | 20 | 10 | 150 | WSDA, 2009 | 
| Canada A | 210 | 62 | 400 | 700 | 13 | 3 | 150 | CCME-2005 | 
| Canada B | 1060 | 180 | 757 | 1850 | 75 | 20 | 500 | CAN/BNQ/CCME/AAFC | 
| Europe | ||||||||
| EU organic agriculture | 70 | 25 | 70 | 200 | - | 0.7 | 45 | Biowaste Directory | 
| EU ecological standards | 100 | 50 | 100 | 300 | 10 | 1 | 100 | Biowaste Directory | 
| EU soil amendment | 100 | 50 | 100 | 300 | - | 1 | 100 | Biowaste Directory | 
| United Kingdom | 100 | 50 | 200 | 400 | - | 1.5 | 200 | BSI-PAS 100-2011 | 
| France | 120 | 60 | 300 | 600 | - | 3 | 180 | NF U44-051 | 
| Netherlands | 50 | 20 | 90 | 290 | - | 1 | 100 | Amended National Fertilizer Act from 2008 | 
| Italy | - | 50 | 150 | 500 | - | 1.5 | 140 | Law on Fertilizer L 748/84 | 
| Belgium | 100 | 50 | 150 | 400 | 20 | 2 | 150 | Royal Decree | 
| Denmark | - | 30 | 1000 | 4000 | 25 | 0.8 | - | Statutory Oder Nr.1650 | 
| Spain A | 70 | 25 | 70 | 200 | - | 0.7 | 45 | Spain RD 506-2013 | 
| Spain B | 250 | 90 | 300 | 500 | - | 2 | 150 | Spain RD 506-2013 | 
| Spain C | 300 | 100 | 400 | 1000 | - | 3 | 200 | Spain RD 506-2013 | 
| Germany I | 70 | 35 | 70 | 300 | - | 1 | 100 | Biowaste Ordinance | 
| Germany Ⅱ | 100 | 50 | 100 | 400 | - | 1.5 | 150 | |
| Switzerland | 100 | 30 | 100 | 400 | - | 1 | 120 | Swiss Federal Council-2013 | 
| Oceania | ||||||||
| New Zealand compost | 50 | 10 | 25 | 75 | 5 | 0.7 | 65 | SDU-1991 | 
| New Zealand clean compost | 50 | 20 | 60 | 200 | 15 | 1 | 100 | SDU-1991 | 
| Aureli A+ | 70 | 25 | 70 | 200 | - | 0.7 | 45 | SWD 64/F1-EN,2016 | 
| Aureli A | 70 | 60 | 150 | 500 | - | 1 | 120 | SWD 64/F1-EN,2016 | 
| Australia | 400 | 60 | 200 | 250 | 20 | 3 | 200 | Compost Ordinance/AS 4454-2012 | 
| Asia | ||||||||
| Malaysia | 200 | 150 | - | - | - | 5 | 300 | MS 1517-2012 | 
| India | 50 | 50 | - | 1000 | 10 | 3 | 150 | World Bank, 1997 | 
| Indonesia | 50 | 50 | - | 300 | 10 | 3 | 100 | Ministry of Environment and Forests | 
| Japan | 500 | 300 | - | - | 50 | 5 | 100 | Fertilizer Management Act | 
| Korea | 300 | 50 | 500 | 900 | 5 | 5 | 150 | Fertilizer Management Act | 
| Hong Kong organic agriculture | 100 | 50 | 300 | 600 | 10 | 1 | 100 | Hong Kong ORC, 2005 | 
| Hong Kong general agricultural use | 210 | 62 | 700 | 1300 | 13 | 3 | 150 | Hong Kong ORC, 2005 | 
| Hong Kong nonagricultural use | 1200 | 420 | 1500 | 2800 | 41 | 19 | 300 | Hong Kong ORC, 2005 | 
| Taiwan livestock and poultry composting | 150 | 25 | 100 | 500 | 25 | 2 | 150 | Fertilizer Management Act | 
| Taiwan general compost | 150 | 25 | 100 | 250 | 25 | 2 | 150 | Fertilizer Management Act | 
| Taiwan miscellaneous compost | 150 | 25 | 100 | 250 | 25 | 2 | 150 | Fertilizer Management Act | 
| Mainland China | 300 | - | - | - | 30 | 3 | 100 | NY525-2012 | 
| Area | Cr | Ni | Cu | Zn | As | Cd | Pb | |
|---|---|---|---|---|---|---|---|---|
| North China | Amount of application (mg·kg−1) | 0.21 | 0.21 | 0.56 | 6.01 | 0.087 | 0.0048 | 0.19 | 
| Time (year) | 928 | 774 | 141 | 39 | 187 | 107 | 784 | |
| Northwest China | Amount of application (mg·kg−1) | 0.37 | 0.37 | 0.68 | 2.95 | 0.17 | 0.011 | 0.39 | 
| Time (year) | 504 | 421 | 115 | 78 | 76 | 46 | 387 | |
| Northeast China | Amount of application (mg·kg−1) | 0.72 | 0.46 | 0.95 | 2.50 | 0.37 | 0.0070 | 0.40 | 
| Time (year) | 275 | 364 | 86 | 90 | 46 | 73 | 359 | |
| Northern China | Amount of application (mg·kg−1) | 0.39 | 0.36 | 0.96 | 4.36 | 0.18 | 0.0094 | 0.38 | 
| Time (year) | 484 | 443 | 82 | 53 | 82 | 53 | 396 | 
| Exposure Route | Cr | Ni | Cu | Zn | As | Cd | Pb | |
|---|---|---|---|---|---|---|---|---|
| North China | Oral exposure | 1.81 × 10−4 | 8.70 × 10−6 | 2.21 × 10−4 | 1.04 × 10−4 | 1.22 × 10−2 | 2.01 × 10−6 | 2.14 × 10−3 | 
| Skin exposure | 1.09 × 10−1 | 5.05 × 10−5 | 1.28 × 10−3 | 5.95 × 10−4 | 7.09 × 10−2 | 1.17 × 10−5 | 1.24 × 10−2 | |
| Respiratory exposure | 1.58 × 10−4 | 5.64 × 10−7 | 1.29 × 10−5 | 8.96 × 10−6 | 5.34 × 10−5 | 3.51 × 10−6 | 2.52 × 10−4 | |
| All ways of exposure | 1.09 × 10−1 | 5.98 × 10−5 | 1.51 × 10−3 | 7.06 × 10−4 | 8.31 × 10−2 | 1.72 × 10−5 | 1.48 × 10−2 | |
| Comprehensive | 0.21 | |||||||
| Northwest China | Oral exposure | 2.31 × 10−4 | 1.10 × 10−5 | 2.42 × 10−4 | 1.01 × 10−4 | 1.74 × 10−2 | 2.63 × 10−6 | 2.50 × 10−3 | 
| Skin exposure | 1.39 × 10−1 | 6.41 × 10−5 | 1.41 × 10−3 | 5.86 × 10−4 | 1.01 × 10−1 | 1.53 × 10−5 | 1.45 × 10−2 | |
| Respiratory exposure | 2.02 × 10−4 | 7.15 × 10−7 | 1.41 × 10−5 | 8.82 × 10−6 | 7.63 × 10−5 | 4.60 × 10−6 | 2.93 × 10−4 | |
| All ways of exposure | 1.39 × 10−1 | 7.58 × 10−5 | 1.67 × 10−3 | 6.95 × 10−4 | 1.19 × 10−1 | 2.25 × 10−5 | 1.73 × 10−2 | |
| Comprehensive | 0.28 | |||||||
| Northeast China | Oral exposure | 1.86 × 10−4 | 7.56 × 10−6 | 2.04 × 10−4 | 1.09 × 10−4 | 1.12 × 10−2 | 2.09 × 10−6 | 3.22 × 10−3 | 
| Skin exposure | 1.12 × 10−1 | 4.39 × 10−5 | 1.19 × 10−3 | 6.33 × 10−4 | 6.51 × 10−2 | 1.22 × 10−5 | 1.87 × 10−2 | |
| Respiratory exposure | 1.63 × 10−4 | 4.90 × 10−7 | 1.19 × 10−5 | 9.54 × 10−6 | 4.90 × 10−5 | 3.67 × 10−6 | 3.79 × 10−4 | |
| All ways of exposure | 1.12 × 10−1 | 5.20 × 10−5 | 1.40 × 10−3 | 7.51 × 10−4 | 7.63 × 10−2 | 1.79 × 10−5 | 2.23 × 10−2 | |
| Comprehensive | 0.21 | |||||||
| Northern China | Oral exposure | 2.07 × 10−4 | 9.58 × 10−6 | 2.30 × 10−4 | 1.04 × 10−4 | 1.45 × 10−2 | 2.35 × 10−6 | 2.59 × 10−3 | 
| Skin exposure | 1.24 × 10−1 | 5.57 × 10−5 | 1.34 × 10−3 | 6.06 × 10−4 | 8.45 × 10−2 | 1.37 × 10−5 | 1.50 × 10−2 | |
| Respiratory exposure | 1.81 × 10−4 | 6.21 × 10−7 | 1.34 × 10−5 | 9.13 × 10−6 | 6.37 × 10−5 | 4.12 × 10−6 | 3.05 × 10−4 | |
| All ways of exposure | 1.25 × 10−1 | 6.59 × 10−5 | 1.58 × 10−3 | 7.19 × 10−4 | 9.91 × 10−2 | 2.01 × 10−5 | 1.79 × 10−2 | |
| Comprehensive | 0.24 | |||||||
| Exposure Route | Cr | Ni | As | Cd | |
|---|---|---|---|---|---|
| North China | Oral exposure | 2.28 × 10−5 | 1.46 × 10−7 | 5.52 × 10−5 | 1.26 × 10−8 | 
| Skin exposure | 1.33 × 10−4 | 8.49 × 10−7 | 3.21 × 10−4 | 7.34 × 10−8 | |
| Respiratory exposure | 3.99 × 10−7 | 2.56 × 10−9 | 9.67 × 10−7 | 2.21 × 10−10 | |
| All ways of exposure | 1.56 × 10−4 | 9.98 × 10−7 | 3.77 × 10−4 | 8.62 × 10−8 | |
| Comprehensive | 5.34 × 10−4 | ||||
| Northwest China | Oral exposure | 2.90 × 10−5 | 1.85 × 10−7 | 7.90 × 10−4 | 1.66 × 10−8 | 
| Skin exposure | 1.69 × 10−4 | 1.08 × 10−6 | 4.59 × 10−4 | 9.62 × 10−8 | |
| Respiratory exposure | 5.09 × 10−7 | 3.24 × 10−9 | 1.38 × 10−6 | 2.90 × 10−10 | |
| All ways of exposure | 1.98 × 10−4 | 1.27 × 10−6 | 5.40 × 10−4 | 1.13 × 10−7 | |
| Comprehensive | 7.39 × 10−4 | ||||
| Northeast China | Oral exposure | 2.35 × 10−5 | 1.27 × 10−7 | 5.07 × 10−5 | 1.32 × 10−8 | 
| Skin exposure | 1.36 × 10−4 | 7.38 × 10−7 | 2.95 × 10−4 | 7.66 × 10−8 | |
| Respiratory exposure | 4.11 × 10−7 | 2.22 × 10−9 | 8.88 × 10−7 | 2.31 × 10−10 | |
| All ways of exposure | 1.60 × 10−4 | 8.67 × 10−7 | 3.46 × 10−4 | 9.00 × 10−8 | |
| Comprehensive | 5.08 × 10−4 | ||||
| Northern China | Oral exposure | 2.61 × 10−5 | 1.61 × 10−7 | 6.59 × 10−5 | 1.48 × 10−8 | 
| Skin exposure | 1.51 × 10−4 | 9.35 × 10−7 | 3.83 × 10−4 | 8.61 × 10−8 | |
| Respiratory exposure | 4.56 × 10−7 | 2.82 × 10−9 | 1.15 × 10−6 | 2.60 × 10−10 | |
| All ways of exposure | 1.78 × 10−4 | 1.10 × 10−6 | 4.50 × 10−4 | 1.01 × 10−7 | |
| Comprehensive | 6.29 × 10−4 | ||||
| Potential Human Health Risk Grade | Potential Non-carcinogenic Risk | |||||
|---|---|---|---|---|---|---|
| Low Risk | Moderate Risk | High Risk | Extreme Risk | |||
| ≤0.25] | (0.25–0.50] | (0.50–0.75] | (0.75–1.00] | |||
| Potential cancer risk | Low risk | ≤10−6 | Low risk | Low risk | Moderate risk | High risk | 
| Moderate risk | (10−6–10−5] | Low risk | Moderate risk | Moderate risk | High risk | |
| High risk | (10−5–10−4] | Moderate risk | Moderate risk | High risk | Extreme risk | |
| Extreme risk | ≥10−4 | High risk | High risk | Extreme risk | Extreme risk | |
© 2019 by the authors. Licensee MDPI, Basel, Switzerland. This article is an open access article distributed under the terms and conditions of the Creative Commons Attribution (CC BY) license (http://creativecommons.org/licenses/by/4.0/).
Share and Cite
Gong, Q.; Chen, P.; Shi, R.; Gao, Y.; Zheng, S.-A.; Xu, Y.; Shao, C.; Zheng, X. Health Assessment of Trace Metal Concentrations in Organic Fertilizer in Northern China. Int. J. Environ. Res. Public Health 2019, 16, 1031. https://doi.org/10.3390/ijerph16061031
Gong Q, Chen P, Shi R, Gao Y, Zheng S-A, Xu Y, Shao C, Zheng X. Health Assessment of Trace Metal Concentrations in Organic Fertilizer in Northern China. International Journal of Environmental Research and Public Health. 2019; 16(6):1031. https://doi.org/10.3390/ijerph16061031
Chicago/Turabian StyleGong, Qiong, Peizhen Chen, Rongguang Shi, Yi Gao, Shun-An Zheng, Yan Xu, Chaofeng Shao, and Xiangqun Zheng. 2019. "Health Assessment of Trace Metal Concentrations in Organic Fertilizer in Northern China" International Journal of Environmental Research and Public Health 16, no. 6: 1031. https://doi.org/10.3390/ijerph16061031
APA StyleGong, Q., Chen, P., Shi, R., Gao, Y., Zheng, S.-A., Xu, Y., Shao, C., & Zheng, X. (2019). Health Assessment of Trace Metal Concentrations in Organic Fertilizer in Northern China. International Journal of Environmental Research and Public Health, 16(6), 1031. https://doi.org/10.3390/ijerph16061031
 
        


 
                         
       