Landscape Grain Effect in Yancheng Coastal Wetland and Its Response to Landscape Changes
Abstract
1. Introduction
2. Materials and Methods
2.1. Study Area
2.2. Data Source and Preprocessing
2.3. Research Methods
2.3.1. Selection and Calculation of Landscape Pattern Indices
2.3.2. Spatial Grain Analysis
2.3.3. Responses of Landscape Indexes to Spatial Grains
2.3.4. Loss of Information under Different Landscape Scales
3. Results and Analysis
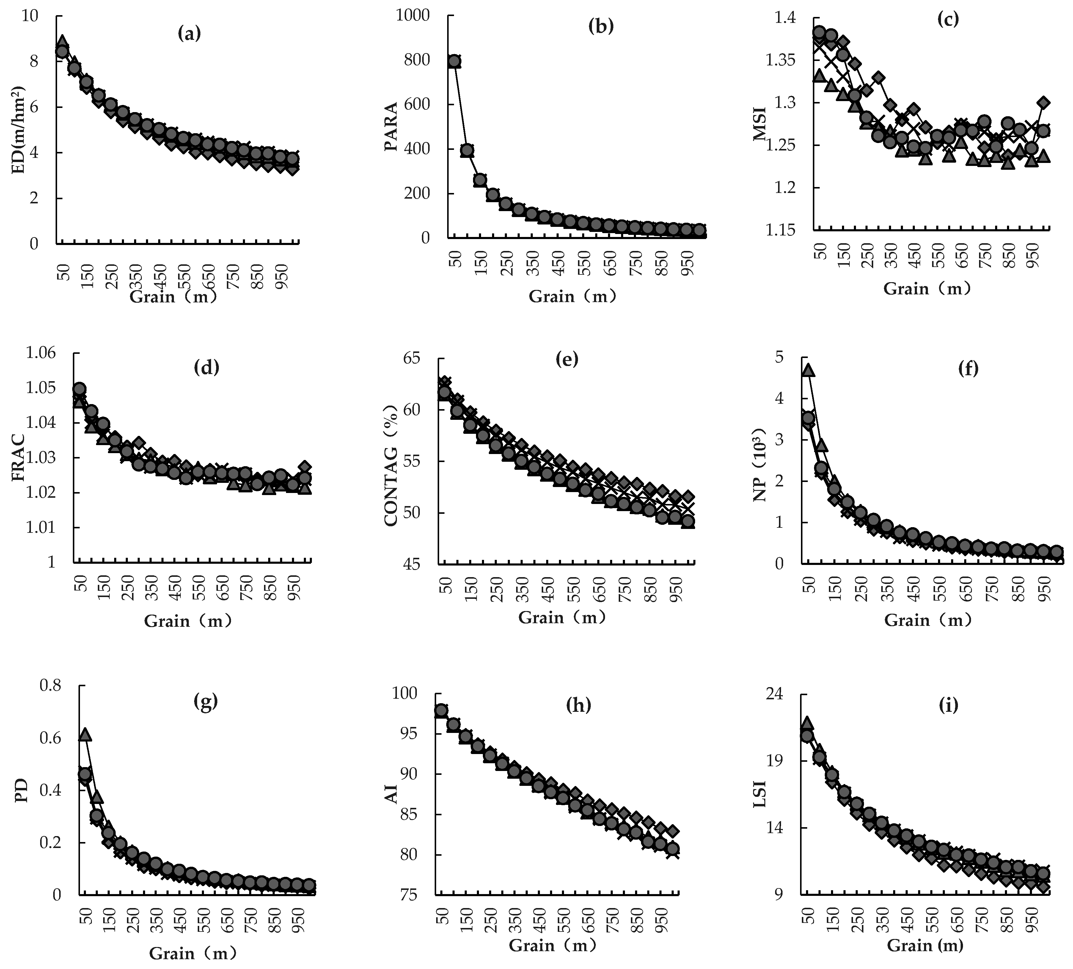
3.1. Grain Effect of Landscape Pattern in Yancheng Coastal Wetland
3.2. Response of Landscape Grain Effect to Landscape Changes in Yancheng Coastal Wetland
3.3. Responses of Landscape Grain Effect of Natural and Artificial Wetlands to Landscape Changes
3.4. Selection of an Optimal Grain Size for Landscape Pattern Analysis in the Study Area
4. Discussion
4.1. Response Sensitivity of Landscape Indexes to Grains
4.2. Changes of the Different Grain Size Effects of Landscape Indices
4.3. Trends and Responses of Landscape Indices with Spatial Grains
4.4. The Optimal Scale of Spatial Grain in Landsacpe Pattern Analysis
5. Conclusions
Author Contributions
Funding
Acknowledgments
Conflicts of Interest
References
- Turner, M.G. Landscape ecology: The effect of pattern on process. Annu. Rev. Ecol. Syst. 1989, 20, 171–197. [Google Scholar] [CrossRef]
- Wu, J. Hierarchy and scaling: Extrapolating information along a scaling ladder. Can. J. Remote Sens. 1999, 25, 367–380. [Google Scholar] [CrossRef]
- Naveh, Z. What is holistic landscape ecology? A conceptual introduction. Landsc. Urban Plan. 2000, 50, 7–26. [Google Scholar] [CrossRef]
- Wu, J.; Hobbs, R. Key issues and research priorities in landscape ecology: An idiosyncratic synthesis. Landsc. Ecol. 2002, 17, 355–365. [Google Scholar] [CrossRef]
- Turner, M.; Cardille, J. Spatial heterogeneity and ecosystem processes. In Proceedings of the Key Research Directions in Landscape Ecology, IALE World Congress, Darwin, Australia, 14–16 July 2003. [Google Scholar]
- Pickett, S.T.; Cadenasso, M.L. Landscape ecology: Spatial heterogeneity in ecological systems. Science 1995, 269, 331–334. [Google Scholar] [CrossRef] [PubMed]
- Moody, A.; Woodcock, C.E. The influence of scale and the spatial characteristics of landscapes on land-cover mapping using remote sensing. Landsc. Ecol. 1995, 10, 363–379. [Google Scholar] [CrossRef]
- Schneider, D.C. The rise of the concept of scale in ecology: The concept of scale is evolving from verbal expression to quantitative expression. BioScience 2001, 51, 545–553. [Google Scholar] [CrossRef]
- Wiens, J.A. Spatial scaling in ecology. Funct. Ecol. 1989, 3, 385–397. [Google Scholar] [CrossRef]
- Dungan, J.L.; Perry, J.; Dale, M.; Legendre, P.; Citron-Pousty, S.; Fortin, M.J.; Jakomulska, A.; Miriti, M.; Rosenberg, M. A balanced view of scale in spatial statistical analysis. Ecography 2002, 25, 626–640. [Google Scholar] [CrossRef]
- O’neill, R.; Hunsaker, C.; Timmins, S.P.; Jackson, B.; Jones, K.; Riitters, K.H.; Wickham, J.D. Scale problems in reporting landscape pattern at the regional scale. Landsc. Ecol. 1996, 11, 169–180. [Google Scholar] [CrossRef]
- Wiens, J.A.; Chr, N.; Van Horne, B.; Ims, R.A. Ecological mechanisms and landscape ecology. Oikos 1993, 66, 369–380. [Google Scholar] [CrossRef]
- Levin, S.A. The problem of pattern and scale in ecology: The Robert H. MacArthur award lecture. Ecology 1992, 73, 1943–1967. [Google Scholar] [CrossRef]
- Peterson, D.L.; Parker, V.T. Ecological Scale: Theory and Applications; Columbia University Press: New York, NY, USA, 1998. [Google Scholar]
- Gardner, R.H.; Kemp, W.M.; Petersen, J.E.; Kennedy, V.S. Scaling Relations in Experimental Ecology; Columbia University Press: New York, NY, USA, 2001. [Google Scholar]
- Hobbs, R. Future landscapes and the future of landscape ecology. Landsc. Urban Plan. 1997, 37, 1–9. [Google Scholar] [CrossRef]
- Frank, S.; Fürst, C.; Koschke, L.; Makeschin, F. A contribution towards a transfer of the ecosystem service concept to landscape planning using landscape metrics. Ecol. Indic. 2012, 21, 30–38. [Google Scholar] [CrossRef]
- Woodcock, C.E.; Strahler, A.H. The factor of scale in remote sensing. Remote Sens. Environ. 1987, 21, 311–332. [Google Scholar] [CrossRef]
- Wu, J. Key concepts and research topics in landscape ecology revisited: 30 years after the Allerton Park workshop. Landsc. Ecol. 2013, 28, 1–11. [Google Scholar] [CrossRef]
- Fu, B.; Liang, D.; Lu, N. Landscape ecology: Coupling of pattern, process, and scale. Chin. Geogr. Sci. 2011, 21, 385. [Google Scholar] [CrossRef]
- Wu, J. The key research topics in landscape ecology. Acta Ecol. Sin. 2004, 24, 2074–2076. [Google Scholar]
- Turner, M.G.; Gardner, R.H.; O’neill, R.V.; O’Neill, R.V. Landscape Ecology in Theory and Practice; Springer: Berlin, Germany, 2001. [Google Scholar]
- Wu, J. Landscape ecology, cross-disciplinarity, and sustainability science. Landsc. Ecol. 2006, 21, 1–4. [Google Scholar] [CrossRef]
- Palmer, M.A.; Ambrose, R.F.; Poff, N.L. Ecological theory and community restoration ecology. Restor. Ecol. 1997, 5, 291–300. [Google Scholar] [CrossRef]
- Moss, M.R.; Turner, M. Foundation Papers in Landscape Ecology; Columbia University Press: New York, NY, USA, 2007. [Google Scholar]
- Wu, J. Effects of changing scale on landscape pattern analysis: Scaling relations. Landsc. Ecol. 2004, 19, 125–138. [Google Scholar] [CrossRef]
- Jelinski, D.E.; Wu, J. The modifiable areal unit problem and implications for landscape ecology. Landsc. Ecol. 1996, 11, 129–140. [Google Scholar] [CrossRef]
- Chen, Y.; Xie, B.; Li, X. Spatial Grain Size Effect on Land Use Pattern Changes in Changsha City. Sci. Geogr. Sin. 2016, 36, 564–570. [Google Scholar]
- Meentemeyer, V.; Box, E. Scale effects in Landscape Studies-in Turner. In Landscape Heterogeneity and Disturbance; Turner, M.G., Ed.; Springer Verlag: New York, NY, USA, 1987. [Google Scholar]
- Turner, M.G.; O’Neill, R.V.; Gardner, R.H.; Milne, B.T. Effects of changing spatial scale on the analysis of landscape pattern. Landsc. Ecol. 1989, 3, 153–162. [Google Scholar] [CrossRef]
- Saura, S.; Martinez-Millan, J. Sensitivity of landscape pattern metrics to map spatial extent. Photogramm. Eng. Remote Sens. 2001, 67, 1027–1036. [Google Scholar]
- Wu, J.; Jelinski, D.E.; Luck, M.; Tueller, P.T. Multiscale analysis of landscape heterogeneity: Scale variance and pattern metrics. Geogr. Inf. Sci. 2000, 6, 6–19. [Google Scholar] [CrossRef]
- Wu, J.; Shen, W.; Sun, W.; Tueller, P.T. Empirical patterns of the effects of changing scale on landscape metrics. Landsc. Ecol. 2002, 17, 761–782. [Google Scholar] [CrossRef]
- Zhao, W.; Fu, B.; Chen, L. The effects of grain change on landscape indices. Quat. Sci. 2003, 23, 326–333. [Google Scholar]
- Lü, Y.; Feng, X.; Chen, L.; Fu, B. Scaling effects of landscape metrics: A comparison of two methods. Phys. Geogr. 2013, 34, 40–49. [Google Scholar] [CrossRef]
- Marceau, D.J.; Howarth, P.J.; Gratton, D.J. Remote sensing and the measurement of geographical entities in a forested environment. 1. The scale and spatial aggregation problem. Remote Sens. Environ. 1994, 49, 93–104. [Google Scholar] [CrossRef]
- Ji, W.; Ma, J.; Twibell, R.W.; Underhill, K. Characterizing urban sprawl using multi-stage remote sensing images and landscape metrics. Comput. Environ. Urban Syst. 2006, 30, 861–879. [Google Scholar] [CrossRef]
- Wang, G.F.; Mu, B.; Song, P.H.; Jin, M.Q.; He, R.Z.; Tian, G.X. Scale effects on land use patterns in Luohe City based on an unmanned aerial vehicle survey. Acta Ecol. Sin. 2018, 38, 5158–5169. [Google Scholar]
- Ren, M.W.; Wang, Z.J.; Wang, Z.T.; Zeng, Y.J.; He, L.Y. Grain size effect of karst mountainous urban landscape pattern indices in the central Guizhou: A case study of Anshun City. Chin. J. Ecol. 2018, 37, 3137–3145. [Google Scholar]
- Zhang, H.W.; Li, X.; Yin, R.M.; Fang, B. Grain Size Effect of Urbanization Tourist Areas of Land Use Landscape Pattern Index—A Case Study of Guangling District of Yangzho. J. Nanjing Norm. Univ. 2018, 41, 128–136. [Google Scholar]
- Saari, L.; Åberg, J.; Swenson, J.E. Factors Influencing the Dynamics of Occurrence of the Hazel Grouse in a Fine-Grained Managed Landscape. Conserv. Biol. 2010, 12, 586–592. [Google Scholar] [CrossRef]
- Alhamad, M.N.; Alrababah, M.A.; Feagin, R.A.; Gharaibeh, A. Mediterranean drylands: The effect of grain size and domain of scale on landscape metrics. Ecol. Indic. 2011, 11, 611–621. [Google Scholar] [CrossRef]
- Saura, S.; Martínez-Millán, J. Landscape patterns simulation with a modified random clusters method. Landsc. Ecol. 2000, 15, 661–678. [Google Scholar] [CrossRef]
- Zhu, M.; Jiang, N.; Li, J.; Xu, J.; Fan, Y. The effects of sensor spatial resolution and changing grain size on fragmentation indices in urban landscape. Int. J. Remote Sens. 2006, 27, 4791–4805. [Google Scholar] [CrossRef]
- Teng, M.; Zeng, L.; Zhou, Z.; Wang, P.; Xiao, W.; Dian, Y. Responses of landscape metrics to altering grain size in the Three Gorges Reservoir landscape in China. Environ. Earth Sci. 2016, 75, 1055. [Google Scholar] [CrossRef]
- Fang, S.; Zhao, Y.; Han, L.; Ma, C. Analysis of Landscape Patterns of Arid Valleys in China, Based on Grain Size Effect. Sustainability 2017, 9, 2263. [Google Scholar] [CrossRef]
- Liu, Y.C.; Liu, Y.X.; Li, J.L.; Lu, W.Y.; Wei, X.L.; Sun, C. Evolution of landscape ecological risk at the optimal scale: A case study of the open coastal wetlands in Jiangsu, China. Int. J. Environ. Res. Public Health 2018, 15, 1691. [Google Scholar] [CrossRef] [PubMed]
- Zhang, D.F.; Du, J.; Chen, Z.W.; Ma, X.Y. Changes of Coastal Wetlands in Yancheng for 6 Periods since1960s and Their Driving Factors. Wetl. Sci. 2018, 16, 313–321. [Google Scholar]
- Kang, M.; Shen, Y.M. Characteristics of spatial pattern change of reclamation in Yancheng over the past 30 years. Mar. Sci. 2016, 40, 85–94. [Google Scholar]
- Li, J.; Pu, L.; Xu, C.; Chen, X.; Zhang, Y.; Cai, F. The changes and dynamics of coastal wetlands and reclamation areas in central Jiangsu from 1977 to 2014. Acta Geogr. Sin. 2015, 70, 17–28. [Google Scholar]
- Sun, X.B.; Liu, H.Y. Effect of Land Use Change on Wetland Landscape Connectivity and 0ptimization Assessment of Connectivity—A Case Study of Wetlands in the Coastal zone of Yancheng, Jiangsu. J. Nat. Resour. 2010, 25, 892–903. [Google Scholar]
- Chen, Y.R.; Xu, W.F.; Teng, M.J.; Feng, Y. Grain Size Effect of Landscape Pattern and Its Response to Land Use Change in the Three Gorges Reservoir Area. J. Nat. Resour. 2018, 33, 588–599. [Google Scholar]
- Zhang, L.L.; Zhao, Y.H.; Yin, S.; Fang, S.; Liu, X.J.; Pu, M.M. Gradient analysis of dry valley of Minjiang River landscape pattern, based on moving window method. Acta Ecol. Sin. 2014, 34, 3276–3284. [Google Scholar]
- Shen, W.J.; Wu, J.G.; Lin, Y.B.; Ren, H.; Li, Q.F. Effects of changing grain size on landscape pattern analysis. Acta Ecol. Sin. 2003, 23, 2219–2231. [Google Scholar]
- Vigiak, O.; Borselli, L.; Newham, L.; McInnes, J.; Roberts, A. Comparison of conceptual landscape metrics to define hillslope-scale sediment delivery ratio. Geomorphology 2012, 138, 74–88. [Google Scholar] [CrossRef]
- Uuemaa, E.; Antrop, M.; Roosaare, J.; Marja, R.; Mander, Ü. Landscape metrics and indices: An overview of their use in landscape research. Living Rev. Landsc. Res. 2009, 3, 1–28. [Google Scholar] [CrossRef]
- Turner, M.G. Landscape Ecology: What Is the State of the Science? Ann. Rev. Ecol. Syst. 2005, 36, 319–344. [Google Scholar] [CrossRef]
- Li, J.L.; Pu, R.L.; Gong, H.B.; Luo, X.; Ye, M.Y.; Feng, B.X. Evolution characteristics of landscape ecological risk patterns in coastal zones in Zhejiang Province, China. Sustainability 2017, 9, 584. [Google Scholar] [CrossRef]
- Cao, L.; Li, J.; Ye, M.; Pu, R.; Liu, Y.; Guo, Q.; Feng, B.; Song, X. Changes of Ecosystem Service Value in a Coastal Zone of Zhejiang Province, China, during Rapid Urbanization. Int. J. Environ. Res. Public Health 2018, 15, 1301. [Google Scholar] [CrossRef] [PubMed]






| Satellite | Sensor | Path/Row | Date | Satellite | Sensors | Path/Row | Date |
|---|---|---|---|---|---|---|---|
| Landsat 5 | TM | 120/36 | 1991-11-19 | Landsat5 | TM | 119/37 | 1991-11-28 |
| Landsat 5 | TM | 120/36 | 2000-12-13 | Landsat5 | TM | 119/37 | 2000-12-06 |
| Landsat 5 | TM | 120/36 | 2008-12-19 | Landsat5 | TM | 119/37 | 2009-01-13 |
| Landsat 8 | OLI | 120/36 | 2017-12-01 | Landsat8 | OLI | 119/37 | 2017-12-10 |
| Landscape Pattern Index Type | Landscape Pattern Indexes | Index Name | Class Level | Landscape Level |
|---|---|---|---|---|
| Area -margin index | Total area | CA | √ | |
| Largest patch index | LPI | √ | √ | |
| Edge density | ED | √ | √ | |
| Mean patch area | MPS | √ | √ | |
| Shape index | Perimeter-area ratio | PARA | √ | √ |
| Mean shape index | MSI | √ | √ | |
| Fractal dimension index | FRAC | √ | √ | |
| Contiguity index | CONTIG | √ | √ | |
| Aggregation index | Number of patches | NP | √ | √ |
| Patch density | PD | √ | √ | |
| Aggregation index | AI | √ | √ | |
| Contagion index | CONTAG | √ | ||
| Landscape shape index | LSI | √ | √ | |
| Diversity index | Patch richness | PR | √ | |
| Shannon’s diversity index | SHDI | √ | ||
| Shannon’s evenness index | SHEI | √ |
| Year | NP | PD | LPI | ED | LSI | MSI | FRAC | PARA | CONTIG | CONTAG | PR | SHDI | SHEI | AI | MPS |
|---|---|---|---|---|---|---|---|---|---|---|---|---|---|---|---|
| 1991 | 96.64 | 96.64 | 0.19 | 29.99 | 24.46 | 3.42 | 1.64 | 125.74 | 17.45 | 5.66 | 0 | 0.13 | 0.13 | 4.83 | 58.27 |
| 2000 | 108.00 | 107.97 | 0.25 | 28.46 | 23.54 | 2.52 | 1.64 | 129.39 | 14.33 | 6.65 | 0 | 0.08 | 0.08 | 5.68 | 59.85 |
| 2008 | 99.60 | 99.59 | 0.25 | 25.47 | 21.09 | 2.55 | 1.62 | 129.71 | 10.79 | 6.49 | 0 | 0.13 | 0.13 | 6.01 | 57.29 |
| 2017 | 90.70 | 90.67 | 0.36 | 26.10 | 21.60 | 3.31 | 1.72 | 128.80 | 17.20 | 6.78 | 0 | 0.12 | 0.12 | 5.86 | 57.21 |
| Landscape types | CA | NP | PD | LPI | ED | LSI | MSI | FRAC | PARA | CONTIG | AI | MPS |
|---|---|---|---|---|---|---|---|---|---|---|---|---|
| Seawater | 0.23 | 78.71 | 78.70 | 0.36 | 31.66 | 25.43 | 9.93 | 1.31 | 40.86 | 3.71 | 70.52 | 128.72 |
| Tidal flat | 0.39 | 143.26 | 143.08 | 3.13 | 14.75 | 14.85 | 12.88 | 0.73 | 21.63 | 4.87 | 58.15 | 128.90 |
| Salt pan | 1.19 | 83.07 | 81.99 | 2.72 | 5.01 | 5.14 | 15.57 | 1.83 | 28.32 | 8.83 | 37.48 | 180.22 |
| Farmland | 0.64 | 87.08 | 86.85 | 22.76 | 25.86 | 20.52 | 4.10 | 0.71 | 9.36 | 5.01 | 45.07 | 131.33 |
| Aquafarm | 1.08 | 65.49 | 65.45 | 15.75 | 17.56 | 17.06 | 2.37 | 0.39 | 17.22 | 9.81 | 42.06 | 132.26 |
| Dry pond | 2.04 | 105.24 | 105.16 | 13.76 | 32.32 | 31.69 | 3.10 | 0.61 | 24.49 | 24.38 | 53.49 | 139.18 |
| Construction land | 2.97 | 48.77 | 49.45 | 2.80 | 12.50 | 11.65 | 8.29 | 0.83 | 20.73 | 14.28 | 23.52 | 141.79 |
| Phragmites australis | 2.58 | 113.13 | 113.00 | 4.32 | 47.74 | 48.27 | 4.20 | 0.90 | 38.07 | 12.78 | 68.56 | 139.43 |
| Suaeda salsa | 3.90 | 115.41 | 115.31 | 23.09 | 53.98 | 55.32 | 5.64 | 0.90 | 42.58 | 36.75 | 66.77 | 155.69 |
| Spartina alterniflora | 3.23 | 62.86 | 62.76 | 12.62 | 31.61 | 31.69 | 9.51 | 1.33 | 41.23 | 21.62 | 42.85 | 141.78 |
| Year | Fractal Dimension Index (FRAC) | Mean Patch Area (MPS) | Aggregation Index (AI) | |||||||||
|---|---|---|---|---|---|---|---|---|---|---|---|---|
| Natural Wetland | Artificial Wetland | Natural Wetland | Artificial Wetland | Natural Wetland | Artificial Wetland | |||||||
| Mean | CV/% | Mean | CV/% | Mean | CV/% | Mean | CV/% | Mean | CV/% | Mean | CV/% | |
| 1991 | 1.03 | 1.31 | 1.03 | 1.31 | 2251.87 | 131.71 | 2289.06 | 130.54 | 73.55 | 30.66 | 73.72 | 29.78 |
| 2000 | 1.03 | 1.45 | 1.03 | 1.45 | 2297.15 | 140.43 | 2253.48 | 138.74 | 74.40 | 26.39 | 74.31 | 26.01 |
| 2008 | 1.04 | 1.40 | 1.04 | 1.40 | 1634.47 | 119.07 | 1659.54 | 117.97 | 75.79 | 23.12 | 75.84 | 22.74 |
| 2017 | 1.04 | 1.71 | 1.04 | 1.72 | 1825.38 | 130.85 | 1845.69 | 130.08 | 75.47 | 24.44 | 75.29 | 24.46 |
© 2019 by the authors. Licensee MDPI, Basel, Switzerland. This article is an open access article distributed under the terms and conditions of the Creative Commons Attribution (CC BY) license (http://creativecommons.org/licenses/by/4.0/).
Share and Cite
Tian, P.; Cao, L.; Li, J.; Pu, R.; Shi, X.; Wang, L.; Liu, R.; Xu, H.; Tong, C.; Zhou, Z.; et al. Landscape Grain Effect in Yancheng Coastal Wetland and Its Response to Landscape Changes. Int. J. Environ. Res. Public Health 2019, 16, 2225. https://doi.org/10.3390/ijerph16122225
Tian P, Cao L, Li J, Pu R, Shi X, Wang L, Liu R, Xu H, Tong C, Zhou Z, et al. Landscape Grain Effect in Yancheng Coastal Wetland and Its Response to Landscape Changes. International Journal of Environmental Research and Public Health. 2019; 16(12):2225. https://doi.org/10.3390/ijerph16122225
Chicago/Turabian StyleTian, Peng, Luodan Cao, Jialin Li, Ruiliang Pu, Xiaoli Shi, Lijia Wang, Ruiqing Liu, Hao Xu, Chen Tong, Zijing Zhou, and et al. 2019. "Landscape Grain Effect in Yancheng Coastal Wetland and Its Response to Landscape Changes" International Journal of Environmental Research and Public Health 16, no. 12: 2225. https://doi.org/10.3390/ijerph16122225
APA StyleTian, P., Cao, L., Li, J., Pu, R., Shi, X., Wang, L., Liu, R., Xu, H., Tong, C., Zhou, Z., & Shao, S. (2019). Landscape Grain Effect in Yancheng Coastal Wetland and Its Response to Landscape Changes. International Journal of Environmental Research and Public Health, 16(12), 2225. https://doi.org/10.3390/ijerph16122225

