Positive Effects of Openness on Cognitive Aging in Middle-Aged and Older Adults: A 13-Year Longitudinal Study
Abstract
1. Introduction
2. Methods
2.1. Participants
2.2. Measures
2.2.1. Cognitive Abilities (Baseline and all Follow-up Surveys)
2.2.2. Openness (Baseline)
2.2.3. Covariates (Baseline)
2.3. Statistical Analysis
3. Results
3.1. Baseline Characteristics
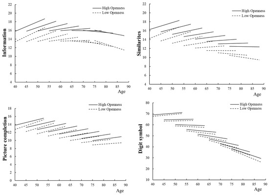
3.2. Openness and Cognitive Changes
4. Discussion
5. Conclusions
Author Contributions
Funding
Acknowledgments
Conflicts of Interest
References
- Cabinet Office GoJ. White Paper on Aged Society. 2017. Available online: https://www8.cao.go.jp/kourei/whitepaper/w-2017/html/zenbun/s1_1_1.htm l (accessed on 31 January 2019).
- Yogev-Seligmann, G.; Hausdorff, J.M.; Giladi, N. The role of executive function and attention in gait. Mov. Disord. 2008, 23, 329–342. [Google Scholar] [CrossRef] [PubMed]
- Brustio, P.R.; Magistro, D.; Zecca, M.; Rabaglietti, E.; Liubicich, M.E. Age-related decrements in dual-task performance: Comparison of different mobility and cognitive tasks. A cross sectional study. PLoS ONE 2017, 12, e0181698. [Google Scholar] [CrossRef] [PubMed]
- Burton, C.L.; Strauss, E.; Hultsch, D.F.; Hunter, M.A. Cognitive Functioning and Everyday Problem Solving in Older Adults. Clin. Neuropsychol. 2006, 20, 432–452. [Google Scholar] [CrossRef] [PubMed]
- Diehl, M.; Marsiske, M.; Horgas, A.L.; Rosenberg, A.; Saczynski, J.S.; Willis, S.L. The Revised Observed Tasks of Daily Living: A Performance-Based Assessment of Everyday Problem Solving in Older Adults. J. Appl. Gerontol. 2005, 24, 211–230. [Google Scholar] [CrossRef] [PubMed]
- Reyna, V.F.; Nelson, W.L.; Han, P.K.; Dieckmann, N.F. How numeracy influences risk comprehension and medical decision making. Psychol. Bull. 2009, 135, 943–973. [Google Scholar] [CrossRef] [PubMed]
- Deary, I.J. Introduction to the special issue on cognitive epidemiology. Intelligence 2009, 37, 517–519. [Google Scholar] [CrossRef]
- Nishita, Y.; Tange, C.; Tomida, M.; Otsuka, R.; Ando, F.; Shimokata, H. Cognitive abilities predict death during the next 15 years in older Japanese adults. Geriatr. Gerontol. Int. 2017, 17, 1654–1660. [Google Scholar] [CrossRef]
- Costa, P.T.; MacCrae, R.R. Revised NEO Personality Inventory (NEO PI-R) and NEO Five-Factor Inventory (NEO FFI): Professional Manual; Psychological Assessment Resources: Odessa, FL, USA, 1992. [Google Scholar]
- Shimonaka, Y.; Nakazato, K.; Gondo, Y.; Takayama, M. Revised NEO Personality Inventory (NEO-PI-R) and NEO Five-Factor Inventory (NEO-FFI) Manual for the Japanese Version; Tokyo Shinri: Tokyo, Japan, 1999. [Google Scholar]
- Stephan, Y.; Boiché, J.; Canada, B.; Terracciano, A. Association of personality with physical, social, and mental activities across the lifespan: Findings from US and French samples. Br. J. Psychol. 2014, 105, 564–580. [Google Scholar] [CrossRef]
- Chamorro-Premuzic, T.; Furnham, A. A possible model for understanding the personality-intelligence interface. Br. J. Psychol. 2004, 95, 249–264. [Google Scholar] [CrossRef]
- Austin, E.J.; Deary, I.J.; Whiteman, M.C.; Fowkes, F.G.R.; Pedersen, N.L.; Rabbitt, P.; Bent, N.; McInnes, L. Relationships between ability and personality: does intelligence contribute positively to personal and social adjustment? Personal. Individ. Differ. 2002, 32, 1391–1411. [Google Scholar] [CrossRef]
- Kobayashi, S.; Fujita, K.; Maekawa, H.; Dairoku, H. Japanese Wechsler Adult Intelligence Scale-Revised Short Forms; Nihon Bunka KagakuSha: Tokyo, Japan, 1993. [Google Scholar]
- Shimokata, H.; Ando, F.; Niino, N. A new comprehensive study on aging--the National Institute for Longevity Sciences, Longitudinal Study of Aging (NILS-LSA). J. Epidemiol. 2000, 10 (Suppl. 1), S1–S9. [Google Scholar] [CrossRef] [PubMed]
- Folstein, M.F.; Folstein, S.E.; McHugh, P.R. “Mini-mental state”: A practical method for grading the cognitive state of patients for the clinician. J. Psychiatr. Res. 1975, 12, 189–198. [Google Scholar] [CrossRef]
- Nakazato, K.; Gondo, Y.; Takayama, M. Standardization of the Revised NEO Personality Inventory (NEO-PI-R): Construction of the NEO-FFI as the short form version. In Abstract Book of the 5th Annual Meeting of the Japan Society of Personality Development; Japan society of personality psychology: Tokyo, Japan, 1996; pp. 70–71. (In Japanese) [Google Scholar]
- Laird, N.M.; Ware, J.H. Random-effects models for longitudinal data. Biometrics 1982, 38, 963–974. [Google Scholar] [CrossRef] [PubMed]
- Morrell, C.H.; Brant, L.J.; Ferrucci, L. Model Choice Can Obscure Results in Longitudinal Studies. J. Gerontol. Ser. A Biol. Sci. Med. Sci. 2009, 64A, 215–222. [Google Scholar] [CrossRef] [PubMed]
- Alfaro-Acha, A.; Snih, S.A.; Raji, M.A.; Kuo, Y.F.; Markides, K.S.; Ottenbacher, K.J.; Alfaro-Acha, A. Handgrip Strength and Cognitive Decline in Older Mexican Americans. J. Gerontol. Ser. A Biol. Sci. Med. Sci. 2006, 61, 859–865. [Google Scholar] [CrossRef] [PubMed]
- Nishita, Y.; Tange, C.; Tomida, M.; Ando, F.; Shimokata, H. Does high educational level protect against intellectual decline in older adults?: A 10-year longitudinal study. Jpn. Psychol. Res. 2013, 55, 378–389. [Google Scholar] [CrossRef]
- Uchida, Y.; Nishita, Y.; Tange, C.; Sugiura, S.; Otsuka, R.; Ueda, H.; Nakashima, T.; Ando, F.; Shimokata, H. The Longitudinal Impact of Hearing Impairment on Cognition Differs According to Cognitive Domain. Front. Aging Neurosci. 2016, 8. [Google Scholar] [CrossRef] [PubMed]
- Schaie, K.W. Developmental Influences on Adult Intelligence: The Seattle Longitudinal Study; Oxford University Press: New York, NY, USA, 2013. [Google Scholar]
- Baltes, P.B.M.K. The Berlin Aging Study: Aging from 70 to 100; Cambridge University Press: Cambridge, UK, 1999. [Google Scholar]
- Kaufman, A.S.; Lichtenberger, E.O. Assessing Adolescent and Adult Intelligence, 3rd ed.; John Wiley & Sons: Hoboken, NJ, USA, 2006. [Google Scholar]
- Horn, J.L.; Cattell, R.B. Age differences in fluid and crystallized intelligence. Acta Psychol. 1967, 26, 107–129. [Google Scholar] [CrossRef]
- Alley, D.; Suthers, K.; Crimmins, E. Education and Cognitive Decline in Older Americans: Results From the AHEAD Sample. Res. Aging 2007, 29, 73–94. [Google Scholar] [CrossRef] [PubMed]
- Ritchie, K.; Carrière, I.; Ritchie, C.W.; Berr, C.; Artero, S.; Ancelin, M.L. Designing prevention programmes to reduce incidence of dementia: prospective cohort study of modifiable risk factors. BMJ 2010, 341, c3885. [Google Scholar] [CrossRef] [PubMed]
- Nuttman-Shwartz, O. Like a High Wave: Adjustment to Retirement. Gerontologist 2004, 44, 229–236. [Google Scholar] [CrossRef] [PubMed]
- Van Solinge, H.; Henkens, K. Adjustment to and satisfaction with retirement: Two of a kind? Psychol. Aging 2008, 23, 422–434. [Google Scholar] [CrossRef] [PubMed]
- Ashton, M.C.; Lee, K.; Vernon, P.A.; Jang, K.L. Fluid Intelligence, Crystallized Intelligence, and the Openness/Intellect Factor. J. Res. Person. 2000, 34, 198–207. [Google Scholar] [CrossRef]
- Moutafi, J.; Furnham, A.; Crump, J. What facets of Openness and conscientiousness predict fluid intelligence score? Learn. Individ. Differ. 2006, 16, 31–42. [Google Scholar] [CrossRef]
- Soubelet, A.; Salthouse, T.A. The role of activity engagement in the relations between Openness/Intellect and cognition. Person. Individ. Differ. 2010, 49, 896–901. [Google Scholar] [CrossRef] [PubMed]
- Terracciano, A.; McCrae, R.R.; Brant, L.J.; Costa, P.T., Jr. Hierarchical linear modeling analyses of the NEO-PI-R Scales in the Baltimore Longitudinal Study of Aging. Psychol. Aging 2005, 20, 493–506. [Google Scholar] [CrossRef]

| Participants, n | Follow-up Years from Baseline, mean (SD) | ||
|---|---|---|---|
| Wave 2 (Baseline) | 2214 | 0.00 | |
| Wave 3 | 1872 | 2.06 | (0.09) |
| Wave 4 | 1708 | 4.18 | (0.26) |
| Wave 5 | 1594 | 6.23 | (0.35) |
| Wave 6 | 1458 | 8.22 | (0.38) |
| Wave 7 | 1335 | 10.20 | (0.42) |
| Wave 8 | 1082 | 13.53 | (0.45) |
| Age at baseline, year, mean (SD) | 59.69 | (11.35) |
| Sex, women, n (%) | 1085 | (49.01) |
| Education level, year, mean (SD) | 11.87 | (2.78) |
| Marital status, married, n (%) | 1929 | (87.13) |
| Occupation, having occupation, n (%) | 1253 | (56.59) |
| Current smoking, smoker, n (%) | 455 | (20.55) |
| Past and present illness, n (%) | ||
| Stroke | 72 | (3.25) |
| Hypertension | 583 | (26.33) |
| Heart disease | 118 | (5.33) |
| Diabetes | 179 | ( 8.08) |
| Cognitive abilities score, mean (SD) | ||
| Information | 15.16 | (5.58) |
| Similarities | 13.85 | (5.52) |
| Picture Completion | 11.38 | (3.56) |
| Digit Symbol | 53.32 | (15.95) |
| Openness score, mean (SD) | 25.79 | (4.33) |
| Information | Similarities | Picture Completion | Digit Symbol Score | |||||||||
|---|---|---|---|---|---|---|---|---|---|---|---|---|
| Estimate | SE | p-value | Estimate | SE | p-value | Estimate | SE | p-value | Estimate | SE | p-value | |
| Fix efffects | ||||||||||||
| Intercept | 15.158 | 0.097 | <0.001 | 13.846 | 0.091 | <0.001 | 11.376 | 0.062 | <0.001 | 53.280 | 0.208 | <0.001 |
| Openness (at baseline) | 0.260 | 0.021 | <0.001 | 0.216 | 0.019 | <0.001 | 0.112 | 0.013 | <0.001 | 0.140 | 0.046 | 0.002 |
| Age (at baseline) | 0.007 | 0.011 | 0.533 | –0.108 | 0.010 | <0.001 | –0.111 | 0.007 | <0.001 | –0.874 | 0.024 | <0.001 |
| Time (follow–up years) | 0.030 | 0.007 | <0.001 | 0.052 | 0.008 | <0.001 | 0.103 | 0.006 | <0.001 | –0.351 | 0.016 | <0.001 |
| Openness × Time | 0.003 | 0.001 | 0.054 | 0.002 | 0.001 | 0.134 | 0.000 | 0.001 | 0.939 | 0.008 | 0.007 | 0.074 |
| Age × Time | –0.011 | 0.001 | <0.001 | –0.006 | 0.001 | <0.001 | –0.003 | 0.000 | <0.001 | –0.027 | 0.001 | <0.001 |
| Openness × Age × Time | 0.0003 | 0.0001 | 0.022 | 0.0004 | 0.0001 | 0.009 | 0.0003 | 0.0002 | 0.059 | 0.0006 | 0.0003 | 0.053 |
| Edcation level | 0.896 | 0.040 | <0.001 | 0.725 | 0.035 | <0.001 | 0.197 | 0.023 | <0.001 | 1.334 | 0.086 | <0.001 |
| Sex | –2.028 | 0.212 | <0.001 | –0.541 | 0.185 | 0.004 | –0.953 | 0.122 | <0.001 | 1.683 | 0.457 | 0.000 |
| Current smoking | –0.854 | 0.244 | 0.001 | –0.797 | 0.213 | 0.000 | –0.332 | 0.141 | 0.018 | –2.238 | 0.527 | <0.001 |
| Stroke | –0.666 | 0.536 | 0.214 | –0.702 | 0.475 | 0.140 | –0.177 | 0.316 | 0.577 | –3.079 | 1.154 | 0.008 |
| Hypertension | –0.176 | 0.222 | 0.428 | –0.109 | 0.194 | 0.575 | –0.162 | 0.129 | 0.208 | –0.566 | 0.479 | 0.237 |
| Heart disease | 0.238 | 0.420 | 0.570 | 0.113 | 0.371 | 0.761 | –0.081 | 0.246 | 0.743 | 0.533 | 0.904 | 0.555 |
| Diabetes | –0.090 | 0.343 | 0.793 | –0.264 | 0.302 | 0.383 | –0.223 | 0.200 | 0.266 | –1.855 | 0.742 | 0.012 |
| Marital status | –0.003 | 0.288 | 0.992 | 0.046 | 0.253 | 0.856 | 0.270 | 0.167 | 0.106 | 0.941 | 0.621 | 0.129 |
| Occupation | –0.344 | 0.226 | 0.128 | 0.083 | 0.197 | 0.674 | –0.085 | 0.130 | 0.513 | 0.240 | 0.487 | 0.623 |
| Practice effect | 0.216 | 0.061 | <0.001 | –0.026 | 0.075 | 0.726 | 0.398 | 0.054 | <0.001 | 1.908 | 0.124 | <0.001 |
| Random efffects | ||||||||||||
| Variance of intercept | 17.066 | 0.574 | <0.001 | 12.819 | 0.483 | <0.001 | 5.663 | 0.221 | <0.001 | 80.848 | 2.690 | <0.001 |
| Variance of slope | 0.024 | 0.002 | <0.001 | 0.013 | 0.003 | <0.001 | 0.008 | 0.001 | <0.001 | 0.122 | 0.010 | <0.001 |
| Covariance intercept and slope | 0.014 | 0.026 | 0.585 | –0.065 | 0.028 | 0.018 | –0.053 | 0.014 | <0.001 | –0.152 | 0.123 | 0.216 |
| Residual | 3.599 | 0.059 | <0.001 | 5.664 | 0.093 | <0.001 | 2.888 | 0.048 | <0.001 | 14.861 | 0.247 | <0.001 |
© 2019 by the authors. Licensee MDPI, Basel, Switzerland. This article is an open access article distributed under the terms and conditions of the Creative Commons Attribution (CC BY) license (http://creativecommons.org/licenses/by/4.0/).
Share and Cite
Nishita, Y.; Tange, C.; Tomida, M.; Otsuka, R.; Ando, F.; Shimokata, H. Positive Effects of Openness on Cognitive Aging in Middle-Aged and Older Adults: A 13-Year Longitudinal Study. Int. J. Environ. Res. Public Health 2019, 16, 2072. https://doi.org/10.3390/ijerph16122072
Nishita Y, Tange C, Tomida M, Otsuka R, Ando F, Shimokata H. Positive Effects of Openness on Cognitive Aging in Middle-Aged and Older Adults: A 13-Year Longitudinal Study. International Journal of Environmental Research and Public Health. 2019; 16(12):2072. https://doi.org/10.3390/ijerph16122072
Chicago/Turabian StyleNishita, Yukiko, Chikako Tange, Makiko Tomida, Rei Otsuka, Fujiko Ando, and Hiroshi Shimokata. 2019. "Positive Effects of Openness on Cognitive Aging in Middle-Aged and Older Adults: A 13-Year Longitudinal Study" International Journal of Environmental Research and Public Health 16, no. 12: 2072. https://doi.org/10.3390/ijerph16122072
APA StyleNishita, Y., Tange, C., Tomida, M., Otsuka, R., Ando, F., & Shimokata, H. (2019). Positive Effects of Openness on Cognitive Aging in Middle-Aged and Older Adults: A 13-Year Longitudinal Study. International Journal of Environmental Research and Public Health, 16(12), 2072. https://doi.org/10.3390/ijerph16122072

