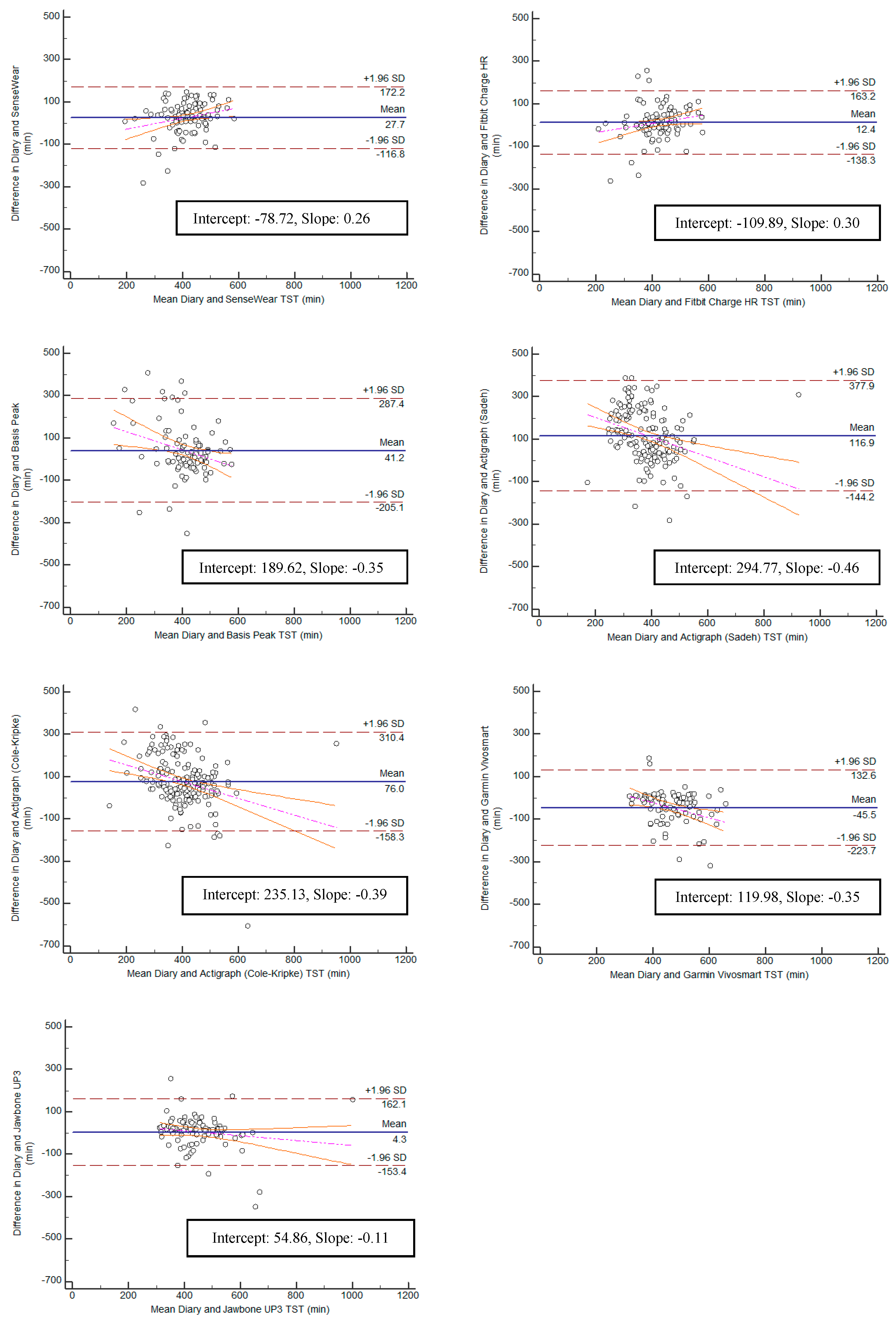
Comparison of Wearable Trackers’ Ability to Estimate Sleep
Lee, J.-M.; Byun, W.; Keill, A.; Dinkel, D.; Seo, Y. Comparison of Wearable Trackers’ Ability to Estimate Sleep. Int. J. Environ. Res. Public Health 2018, 15, 1265. https://doi.org/10.3390/ijerph15061265
Lee J-M, Byun W, Keill A, Dinkel D, Seo Y. Comparison of Wearable Trackers’ Ability to Estimate Sleep. International Journal of Environmental Research and Public Health. 2018; 15(6):1265. https://doi.org/10.3390/ijerph15061265
Chicago/Turabian StyleLee, Jung-Min, Wonwoo Byun, Alyssa Keill, Danae Dinkel, and Yaewon Seo. 2018. "Comparison of Wearable Trackers’ Ability to Estimate Sleep" International Journal of Environmental Research and Public Health 15, no. 6: 1265. https://doi.org/10.3390/ijerph15061265


