The Risk of Polychlorinated Biphenyls Facilitating Tumors in Hawaiian Green Sea Turtles (Chelonia mydas)
Abstract
1. Introduction
2. Materials and Methods
2.1. Sample Information
2.2. Extraction and Cleanup
2.3. PCB Determination
2.4. Statistical Analysis
3. Results and Discussion
3.1. PCBs Concentrations in Healthy C. mydas of Different Sexes
3.2. Concentration of PCBs in Healthy Female C. mydas of Different Ages
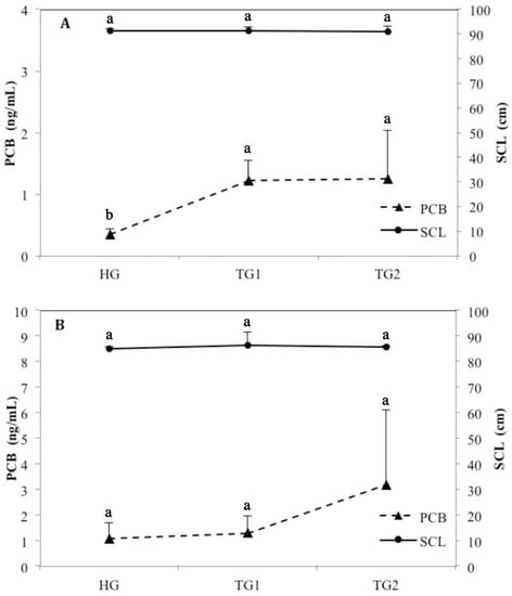
3.3. PCBs Concentration and Tumor Status in Hawaiian Green Turtles
3.4. Comparison of PCB Concentration in Blood with Other Turtles
4. Conclusions
Author Contributions
Funding
Acknowledgments
Conflicts of Interest
References
- Camacho, M.; Boada, L.D.; Oros, J.; Lopez, P.; Zumbado, M.; Almeida-Gonzalez, M.; Luzardo, O.P. Monitoring organic and inorganic pollutants in juvenile live sea turtles: Results from a study of Chelonia mydas and Eretmochelys imbricata in Cape Verde. Sci. Total Environ. 2014, 481, 303–310. [Google Scholar] [CrossRef] [PubMed]
- Zug, G.; Balazs, G.H.; Wetherall, J.; Parker, D.; Murakawa, S.K. Age and growth of Hawaiian green seaturtles (Chelonia mydas): An analysis based on skeletochronology. Decis. Support Syst. 2002, 40, 143–165. [Google Scholar]
- Agustin, A.E.; Merrifield, M.A.; Potemra, J.T.; Morishige, C. Temporal variability of marine debris deposition at Tern Island in the Northwestern Hawaiian Islands. Mar. Pollut. Bull. 2015, 101, 200–207. [Google Scholar] [CrossRef] [PubMed]
- Greenblatt, R.J.; Quackenbush, S.L.; Casey, R.N.; Rovnak, J.; Balazs, G.H.; Work, T.M.; Casey, J.W.; Sutton, C.A. Genomic variation of the fibropapilloma-associated marine turtle herpesvirus across seven geographic areas and three host species. J. Virol. 2005, 79, 1125–1132. [Google Scholar] [CrossRef] [PubMed]
- Herbst, L.H.; Klein, P.A. Green turtle fibropapillomatosis: Challenges to assessing the role of environmental cofactors. Environ. Health Perspect. 1995, 103 (Suppl. 4), 27–30. [Google Scholar] [CrossRef] [PubMed]
- Smith, G.; Coates, C. Fibro-epithelial growths of the skin in large marine turtles Chelonia mydas (L.). Zoologica 1938, 23, 93–98. [Google Scholar]
- Hendrickson, J. The green sea turtle, Chelonia mydas (Linn.), in Malaya and Sarawak. Proc. Zool. Soc. Lond. 1958, 130, 455–535. [Google Scholar] [CrossRef]
- Ene, A.; Su, M.; Lemaire, S.; Rose, C.; Schaff, S.; Moretti, R.; Lenz, J.; Herbst, L.H. Distribution of chelonid fibropapillomatosis-associated herpesvirus variants in Florida: Molecular genetic evidence for infection of turtles following recruitment to neritic developmental habitats. J. Wildl. Dis. 2005, 41, 489–497. [Google Scholar] [CrossRef] [PubMed]
- Herbst, L. Fibropapillomatosis of marine turtles. Annu. Rev. Fish Dis. 1994, 4, 389–425. [Google Scholar] [CrossRef]
- Van Houtan, K.S.; Hargrove, S.K.; Balazs, G.H. Land use, macroalgae, and a tumor-forming disease in marine turtles. PLoS ONE 2010, 5. [Google Scholar] [CrossRef] [PubMed]
- Law, R.J.; Allchin, C.R.; de Boer, J.; Covaci, A.; Herzke, D.; Lepom, P.; Morris, S.; Tronczynski, J.; de Wit, C.A. Levels and trends of brominated flame retardants in the European environment. Chemosphere 2006, 64, 187–208. [Google Scholar] [CrossRef] [PubMed]
- Safe, S. Polychlorinated biphenyls (PCBs) and polybrominated biphenyls (PBBs): Biochemistry, toxicology, and mechanism of action. Crit. Rev. Toxicol. 1984, 13, 319–395. [Google Scholar] [CrossRef] [PubMed]
- Wang, J.; Hulck, K.; Hong, S.M.; Atkinson, S.; Li, Q.X. Accumulation and maternal transfer of polychlorinated biphenyls in Steller Sea Lions (Eumetopias jubatus) from Prince William Sound and the Bering Sea, Alaska. Environ. Pollut. 2011, 159, 71–77. [Google Scholar] [CrossRef] [PubMed]
- Swain, W. Human health consequences of consumption of fish contaminated with organochlorine compounds. Aquat. Toxicol. 1988, 11, 357–377. [Google Scholar] [CrossRef]
- Uekusa, Y.; Takatsuki, S.; Tsutsumi, T.; Akiyama, H.; Matsuda, R.; Teshima, R.; Hachisuka, A.; Watanabe, T. Determination of polychlorinated biphenyls in marine fish obtained from tsunami-stricken areas of Japan. PLoS ONE 2017, 12, e0174961. [Google Scholar] [CrossRef] [PubMed]
- Corsolini, S.; Sara, G. The trophic transfer of persistent pollutants (HCB, DDTs, PCBs) within polar marine food webs. Chemosphere 2017, 177, 189–199. [Google Scholar] [CrossRef] [PubMed]
- Salice, C.J.; Rowe, C.L.; Eisenreich, K.M. Integrative demographic modeling reveals population level impacts of PCB toxicity to juvenile snapping turtles. Environ. Pollut. 2014, 184, 154–160. [Google Scholar] [CrossRef] [PubMed]
- Cadieux, M.A.; Muir, D.C.; Beland, P.; Hickie, B.E. Lactational Transfer of Polychlorinated-Biphenyls (PCBs) and Other Organochlorines in St. Lawrence Beluga Whales (Delphinapterus leucas). Arch. Environ. Contam. Toxicol. 2016, 70, 169–179. [Google Scholar] [CrossRef] [PubMed]
- Lavandier, R.; Areas, J.; Quinete, N.; de Moura, J.F.; Taniguchi, S.; Montone, R.; Siciliano, S.; Moreira, I. PCB and PBDE levels in a highly threatened dolphin species from the Southeastern Brazilian coast. Environ. Pollut. 2016, 208, 442–449. [Google Scholar] [CrossRef] [PubMed]
- Wang, J.; Caccamise, S.A.; Woodward, L.A.; Li, Q.X. Polychlorinated Biphenyls in the Plasma and Preen Oil of Black-Footed Albatross (Diomedea nigripes) Chicks and Adults on Midway Atoll, North Pacific Ocean. PLoS ONE 2015, 10, e0123041. [Google Scholar] [CrossRef] [PubMed]
- Lazar, B.; Maslov, L.; Romanic, S.H.; Gracan, R.; Krauthacker, B.; Holcer, D.; Tvrtkovic, N. Accumulation of organochlorine contaminants in loggerhead sea turtles, Caretta caretta, from the eastern Adriatic Sea. Chemosphere 2011, 82, 121–129. [Google Scholar] [CrossRef] [PubMed]
- Yao, M.; Hu, T.; Wang, Y.; Du, Y.; Hu, C.; Wu, R. Polychlorinated biphenyls and its potential role in endometriosis. Environ. Pollut. 2017, 229, 837–845. [Google Scholar] [CrossRef] [PubMed]
- Keller, J.M.; Kucklick, J.R.; Stamper, M.A.; Harms, C.A.; McClellan-Green, P.D. Associations between organochlorine contaminant concentrations and clinical health parameters in loggerhead sea turtles from North Carolina, USA. Environ. Health Perspect. 2004, 112, 1074–1079. [Google Scholar] [CrossRef] [PubMed]
- Eisenreich, K.M.; Kelly, S.M.; Rowe, C.L. Latent mortality of juvenile snapping turtles from the Upper Hudson River, New York, exposed maternally and via the diet to polychlorinated biphenyls (PCBs). Environ. Sci. Technol. 2009, 43, 6052–6057. [Google Scholar] [CrossRef] [PubMed]
- Bergeron, J.M.; Crews, D.; McLachlan, J.A. PCBs as environmental estrogens: Turtle sex determination as a biomarker of environmental contamination. Environ. Health Perspect. 1994, 102, 780–781. [Google Scholar] [CrossRef] [PubMed]
- Keller, J.M.; Swarthout, R.F.; Carlson, B.K.; Yordy, J.; Guichard, A.; Schantz, M.M.; Kucklick, J.R. Comparison of five extraction methods for measuring PCBs, PBDEs, organochlorine pesticides, and lipid content in serum. Anal. Bioanal. Chem. 2009, 393, 747–760. [Google Scholar] [CrossRef] [PubMed]
- Miao, X.S.; Balazs, G.H.; Murakawa, S.K.; Li, Q.X. Congener-specific profile and toxicity assessment of PCBs in green turtles (Chelonia mydas) from the Hawaiian Islands. Sci. Total Environ. 2001, 281, 247–253. [Google Scholar] [CrossRef]
- Keller, J.M.; Kucklick, J.R.; McClellan-Green, P.D. Organochlorine contaminants in loggerhead sea turtle blood: Extraction techniques and distribution among plasma and red blood cells. Arch. Environ. Contam. Toxicol. 2004, 46, 254–264. [Google Scholar] [PubMed]
- Kelly, S.M.; Eisenreich, K.M.; Baker, J.E.; Rowe, C.L. Accumulation and maternal transfer of polychlorinated biphenyls in snapping turtles of the upper Hudson River, New York, USA. Environ. Toxicol. Chem. 2008, 27, 2565–2574. [Google Scholar] [CrossRef] [PubMed]
- Moss, S.; Keller, J.M.; Richards, S.; Wilson, T.P. Concentrations of persistent organic pollutants in plasma from two species of turtle from the Tennessee River Gorge. Chemosphere 2009, 76, 194–204. [Google Scholar] [CrossRef] [PubMed]
- Rauschenberger, R.H.; Sepulveda, M.S.; Wiebe, J.J.; Szabo, N.J.; Gross, T.S. Predicting maternal body burdens of organochlorine pesticides from eggs and evidence of maternal transfer in Alligator mississippiensis. Environ. Toxicol. Chem. 2004, 23, 2906–2915. [Google Scholar] [CrossRef] [PubMed]
- Guirlet, E.; Das, K.; Thome, J.P.; Girondot, M. Maternal transfer of chlorinated contaminants in the leatherback turtles, Dermochelys coriacea, nesting in French Guiana. Chemosphere 2010, 79, 720–726. [Google Scholar] [CrossRef] [PubMed]
- Mckenzie, C.; Godley, B.; Furness, R.; Wells, D. Concentrations and patterns of organochlo-rine contaminants in marine turtles from Mediterranean and Atlantic waters. Mar. Environ. Res. 1999, 47, 117–135. [Google Scholar] [CrossRef]
- Verreault, J.; Villa, R.A.; Gabrielsen, G.W.; Skaare, J.U.; Letcher, R.J. Maternal transfer of organohalogen contaminants and metabolites to eggs of Arctic-breeding glaucous gulls. Environ. Pollut. 2006, 144, 1053–1060. [Google Scholar] [CrossRef] [PubMed]
- Girondot, M.; Fretey, J. Leatherback turtles, Dermochelys coriacea, nesting in French Guiana, 1978–1995. Chelonian Conserv. Biol. 1996, 2, 204–208. [Google Scholar]
- Caut, S.; Fossette, S.; Guirlet, E.; Angulo, E.; Das, K.; Girondot, M.; Georges, J.Y. Isotope analysis reveals foraging area dichotomy for atlantic leatherback turtles. PLoS ONE 2008, 3, e1845. [Google Scholar] [CrossRef] [PubMed]
- James, M.C.; Ottensmeyer, C.A.; Myers, R.A. Identification of high-use habitat and threats to leatherback sea turtles in northern waters: New directions for conservation. Ecol. Lett. 2005, 8, 195–201. [Google Scholar] [CrossRef]
- Van den Steen, E.; Pinxten, R.; Covaci, A.; Carere, C.; Eeva, T.; Heeb, P.; Kempenaers, B.; Lifjeld, J.T.; Massa, B.; Norte, A.C.; et al. The use of blue tit eggs as a biomonitoring tool for organohalogenated pollutants in the European environment. Sci. Total Environ. 2010, 408, 1451–1457. [Google Scholar] [CrossRef] [PubMed]
- Keller, J.M.; Balazs, G.H.; Nilsen, F.; Rice, M.; Work, T.M.; Jensen, B.A. Investigating the potential role of persistent organic pollutants in Hawaiian green sea turtle fibropapillomatosis. Environ. Sci. Technol. 2014, 48, 7807–7816. [Google Scholar] [CrossRef] [PubMed]
- Swarthout, R.F.; Keller, J.M.; Peden-Adams, M.; Landry, A.M.; Fair, P.A.; Kucklick, J.R. Organohalogen contaminants in blood of Kemp’s ridley (Lepidochelys kempii) and green sea turtles (Chelonia mydas) from the Gulf of Mexico. Chemosphere 2010, 78, 731–741. [Google Scholar] [CrossRef] [PubMed]
- Suzuki, K.; Noda, J.; Yanagisawa, M.; Kawazu, I.; Sera, K.; Fukui, D.; Asakawa, M.; Yokota, H. Particle-induced X-ray emission analysis of elements in plasma from wild and captive sea turtles (Eretmochelys imbricata, Chelonia mydas, and Caretta caretta) in Okinawa, Japan. Biol. Trace Elem. Res. 2012, 148, 302–308. [Google Scholar] [CrossRef] [PubMed]
- Day, R.D.; Christopher, S.J.; Becker, P.R.; Whitaker, D.W. Monitoring mercury in the loggerhead sea turtle, Caretta caretta. Environ. Sci. Technol. 2005, 39, 437–446. [Google Scholar] [CrossRef] [PubMed]
- Arthur, K.E.; Balazs, G.H. A comparison of immature green turtle (Chelonia mydas) diets among seven sites in the main Hawaiian Islands. Pac. Sci. 2008, 62, 205–217. [Google Scholar] [CrossRef]
- Richardson, K.L.; Lopez Castro, M.; Gardner, S.C.; Schlenk, D. Polychlorinated biphenyls and biotransformation enzymes in three species of sea turtles from the Baja California peninsula of Mexico. Arch. Environ. Contam. Toxicol. 2010, 58, 183–193. [Google Scholar] [CrossRef] [PubMed]
- Camacho, M.; Boada, L.D.; Oros, J.; Lopez, P.; Zumbado, M.; Almeida-Gonzalez, M.; Luzardo, O.P. Comparative study of organohalogen contamination between two populations of Eastern Atlantic loggerhead sea turtles (Caretta caretta). Bull. Environ. Contam. Toxicol. 2013, 91, 678–683. [Google Scholar] [CrossRef] [PubMed]
- Oros, J.; Gonzalez-Diaz, O.M.; Monagas, P. High levels of polychlorinated biphenyls in tissues of Atlantic turtles stranded in the Canary Islands, Spain. Chemosphere 2009, 74, 473–478. [Google Scholar] [CrossRef] [PubMed]
- Yu, S.; Halbrook, R.S.; Sparling, D.W. Accumulation of polychlorinated biphenyls (PCBs) and evaluation of hematological and immunological effects of PCB exposure on turtles. Bull. Environ. Contam. Toxicol. 2012, 88, 823–827. [Google Scholar] [CrossRef] [PubMed]
- Pinkney, A.E.; Myers, M.S.; Rutter, M.A. Histopathology of brown bullhead (Ameiurus nebulosus), smallmouth bass (Micropterus dolomieu), and yellow perch (Perca flavescens) in relation to polychlorinated biphenyl (PCB) contamination in the Hudson River. Sci. Total Environ. 2017, 575, 1325–1338. [Google Scholar] [CrossRef] [PubMed]
- Basile, E.R.; Avery, H.W.; Bien, W.F.; Keller, J.M. Diamondback terrapins as indicator species of persistent organic pollutants: Using Barnegat Bay, New Jersey as a case study. Chemosphere 2011, 82, 137–144. [Google Scholar] [CrossRef] [PubMed]
- Dabrowska, H.; Fisher, S.W.; Estenik, J.; Kidekhel, R.; Stromberg, P. Polychlorinated biphenyl concentrations, congener profiles, and ratios in the fat tissue, eggs, and plasma of snapping turtles (Chelydras serpentina) from the Ohio Basin of Lake Erie, USA. Arch. Environ. Contam. Toxicol. 2006, 51, 270–286. [Google Scholar] [CrossRef] [PubMed]
- Brennessel, B. Daimonds in the Marsh: A Natural History of the Diamondback Terrapin; University Press of New England: Lebanon, NH, USA, 2006. [Google Scholar]

| Sex | SCL 1 (cm) | Weight (kg) | PCBs (ng/mL) | p-Value | ||
|---|---|---|---|---|---|---|
| Mean (SD 2) | Range | Range | Mean (SD) | Range | ||
| Male (n = 5) | 85.0 (2.03) | 82.6–88.2 | 83.0–88.9 | 1.10 (1.33) | 0.04–3.11 | <0.05 |
| Female (n = 5) | 85.7 (2.44) | 82.6–89.1 | 88.5–113.4 | 0.43 (0.31) | 0.07–0.83 | |
| Group | SCL 3 (cm) | Weight (kg) | PCBs (ng/mL) | p-Value | ||
|---|---|---|---|---|---|---|
| Mean (SD 4) | Range | Range | Mean (SD) | Range | ||
| YG 1 (n = 13) | 88.7 (2.92) | 82.6–92.0 | 78.9–125.2 | 0.52 (0.51) | 0.10–1.92 | <0.05 |
| OG 2 (n = 11) | 94.1 (2.02) | 92.5–98.4 | 96.2–134.7 | 0.15 (0.11) | 0.05–0.38 | |
| Species | Locality | Sex | ∑PCB | Reference |
|---|---|---|---|---|
| Caretta carettab | Cape Verde | Female | 0.15 A | [45] |
| Caretta carettaa | Canary Islands | Female and male | 3.77 A | [45] |
| Caretta carettaa | North Caroline | Female and Male | 5.56 B | [23] |
| Malaclemys terrapinb | Barnegat Bay | Female | 1050 B | [49] |
| Dermochelys coriaceab | French Guiana | Female | 1.26 A | [32] |
| Chelydra serpentinab | Hudson River | Female | 125 B | [29] |
| Chelydra serpentinab | Hudson River | Male | 475 B | [29] |
| Chelydra serpentinab | Ashtabula River | Female | 107.8 B | [50] |
© 2018 by the authors. Licensee MDPI, Basel, Switzerland. This article is an open access article distributed under the terms and conditions of the Creative Commons Attribution (CC BY) license (http://creativecommons.org/licenses/by/4.0/).
Share and Cite
Yan, M.; Nie, H.; Wang, W.; Huang, Y.; Li, Q.X.; Wang, J. The Risk of Polychlorinated Biphenyls Facilitating Tumors in Hawaiian Green Sea Turtles (Chelonia mydas). Int. J. Environ. Res. Public Health 2018, 15, 1243. https://doi.org/10.3390/ijerph15061243
Yan M, Nie H, Wang W, Huang Y, Li QX, Wang J. The Risk of Polychlorinated Biphenyls Facilitating Tumors in Hawaiian Green Sea Turtles (Chelonia mydas). International Journal of Environmental Research and Public Health. 2018; 15(6):1243. https://doi.org/10.3390/ijerph15061243
Chicago/Turabian StyleYan, Muting, Huayue Nie, Wenjing Wang, Yumei Huang, Qing X. Li, and Jun Wang. 2018. "The Risk of Polychlorinated Biphenyls Facilitating Tumors in Hawaiian Green Sea Turtles (Chelonia mydas)" International Journal of Environmental Research and Public Health 15, no. 6: 1243. https://doi.org/10.3390/ijerph15061243
APA StyleYan, M., Nie, H., Wang, W., Huang, Y., Li, Q. X., & Wang, J. (2018). The Risk of Polychlorinated Biphenyls Facilitating Tumors in Hawaiian Green Sea Turtles (Chelonia mydas). International Journal of Environmental Research and Public Health, 15(6), 1243. https://doi.org/10.3390/ijerph15061243

