Cross-Sectional Inverse Associations of Obesity and Fat Accumulation Indicators with Testosterone in Non-Diabetic Aging Men
Abstract
1. Introduction
2. Material and Methods
3. Statistical Analysis
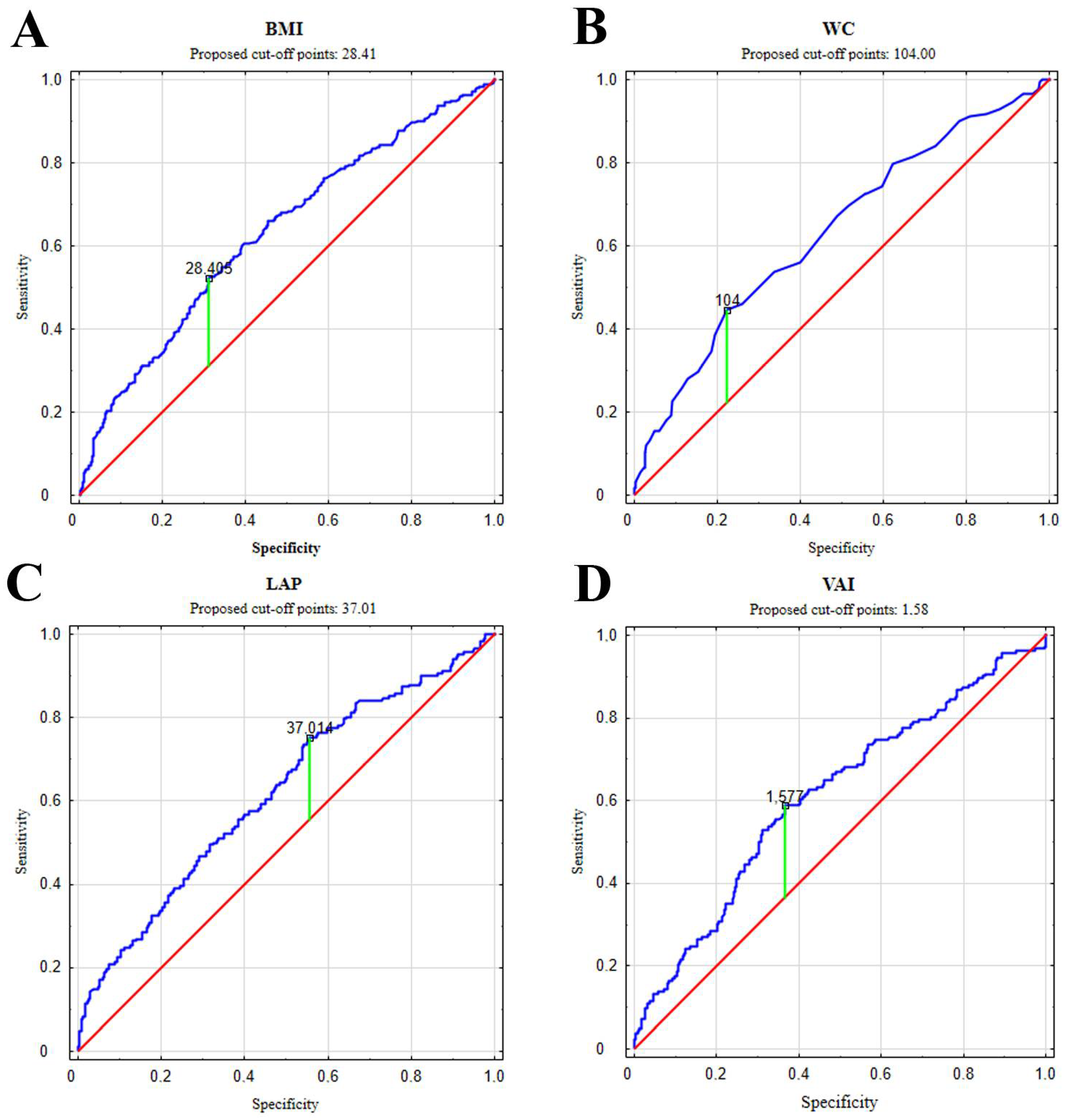
4. Results
5. Discussion
6. Conclusions
Author Contributions
Acknowledgments
Conflicts of Interest
References
- Brand, J.S.; van der Tweel, I.; Grobbee, D.E.; Emmelot-Vonk, M.H.; van der Schouw, Y.T. Testosterone, sex hormone-binding globulin and the metabolic syndrome: A systematic review and meta-analysis of observational studies. Int. J. Epidemiol. 2010, 40, 189–207. [Google Scholar] [CrossRef] [PubMed]
- Corona, G.; Monami, M.; Rastrelli, G.; Aversa, A.; Tishova, Y.; Saad, F.; Lenzi, A.; Forti, G.; Mannicci, E.; Maggi, M. Testosterone and metabolic syndrome: A meta-analysis study. J. Sex. Med. 2011, 8, 272–283. [Google Scholar] [CrossRef] [PubMed]
- Kelly, D.M.; Jones, T.H. Testosterone: A vascular hormone in health and disease. J. Endocrinol. 2013, 217, R47–R71. [Google Scholar] [CrossRef] [PubMed]
- Corona, G.; Vignozzi, L.; Sforza, A.; Mannucci, E.; Maggi, M. Obesity and late-onset hypogonadism. Mol. Cell. Endocrinol. 2015, 418, 120–133. [Google Scholar] [CrossRef] [PubMed]
- Cohen, P.G. The hypogonadal-obesity cycle: Role of aromatase in modulating the testosterone-estradiol shunt-a major factor in the genesis of morbid obesity. Med. Hypotheses 1999, 52, 49–51. [Google Scholar] [CrossRef] [PubMed]
- Jones, T.H. Effects of testosterone on type 2 diabetes and components of the metabolic syndrome. J. Diabetes 2010, 2, 146–156. [Google Scholar] [CrossRef] [PubMed]
- Kelly, D.M.; Jones, T.H. Testosterone and obesity. Obes. Rev. 2015, 16, 581–606. [Google Scholar] [CrossRef] [PubMed]
- Blaya, R.; Thomaz, L.D.; Guilhermano, F.; Paludo Ade, O.; Rhoden, L.; Halmenschlager, G.; Rhoden, E.L. Total testosterone levels are correlated to metabolic syndrome components. Aging Male 2016, 19, 85–89. [Google Scholar] [CrossRef] [PubMed]
- Hayes, F.J.; Seminara, S.B.; Decruz, S.; Boepple, P.A.; Crowley, W.F., Jr. Aromatase inhibition in the human male reveals a hypothalamic site of estrogen feedback. J. Clin. Endocrinol. Metab. 2000, 85, 3027–3035. [Google Scholar] [CrossRef] [PubMed]
- Hayes, F.J.; DeCruz, S.; Seminara, S.B.; Boepple, P.A.; Crowley, W.F., Jr. Differential regulation of gonadotropin secretion by testosterone in the human male: Absence of a negative feedback effect of testosterone on follicle-stimulating hormone secretion. J. Clin. Endocrinol. Metab. 2001, 86, 53–58. [Google Scholar] [CrossRef] [PubMed]
- Roseweir, A.K.; Millar, R.P. The role of kisspeptin in the control of gonadotrophin secretion. Hum. Reprod. Update 2009, 15, 203–212. [Google Scholar] [CrossRef] [PubMed]
- Isidori, A.M.; Caprio, M.; Stroll, F.; Moretti, C.; Frajese, G.; Isidori, A.; Fabbri, A. Leptin and androgens in male obesity: Evidence for leptin contribution to reduced androgen levels. J. Clin. Endocrinol. Metab. 1999, 84, 3673–3680. [Google Scholar] [CrossRef] [PubMed]
- Kahn, H.S. The lipid accumulation product performs better than the body mass index for recognizing cardiovascular risk: A population-based comparison. BMC Cardiovasc. Disord. 2005, 8, 5–26. [Google Scholar] [CrossRef] [PubMed]
- Amato, M.C.; Giordano, C.; Galia, M.; Criscimanna, A.; Vitabile, S.; Midiri, M.; Galluzzo, A. Visceral Adiposity Index: A reliable indicator of visceral fat function associated with cardiometabolic risk. Diabetes Care 2010, 33, 920–922. [Google Scholar] [CrossRef] [PubMed]
- Bergman, R.N.; Stefanovski, D.; Buchanan, T.A.; Sumner, A.E.; Reynolds, J.C.; Sebring, N.G.; Xiang, A.H.; Watanabe, R.M. A better index of body adiposity. Obesity 2011, 19, 1083–1089. [Google Scholar] [CrossRef] [PubMed]
- Kula, K.; Słowikowska-Hilczer, J. Late-onset hypogonadism in men. Endokrynol. Pol. 2012, 63, 15–19. [Google Scholar]
- Morley, J.E. Androgens and aging. Maturitas 2001, 38, 61–71. [Google Scholar] [CrossRef]
- Osuna, J.A.; Gómez-Pérez, R.; Arata-Bellabarba, G.; Villaroel, V. Relationship between BMI, total testosterone, sex hormone-binding-globulin, leptin, insulin and insulin resistance in obese men. Arch. Androl. 2006, 52, 355–361. [Google Scholar] [CrossRef] [PubMed]
- Page, S.T.; Matsumoto, A.M.; Bremner, W.J. DHEA and Testosterone in the Elderly. N. Engl. J. Med. 2007, 356, 635–637. [Google Scholar] [PubMed]
- Gapstur, S.M.; Kopp, P.; Gann, P.H.; Chiu, B.C.; Colangelo, L.A.; Liu, K. Changes in BMI modulate age-associated changes in sex hormone binding globulin and total testosterone, but not bio available testosterone in young adult men: The CARDIA Male Hormone Study. Int. J. Obes. 2007, 31, 685–691. [Google Scholar] [CrossRef] [PubMed]
- Paslakis, G.G.; Deuschle, M.M.; Thome, J.J.; Rüße, S.S.; Kopf, D.D. The differential effect of risperidone and olanzapine on insulin sensitivity after 3 weeks of treatment: A HOMA Pilot Study. Pharmacopsychiatry 2012, 45, 96–99. [Google Scholar] [CrossRef] [PubMed]
- Shamim, M.O.; Ali Khan, F.M.; Arshad, R. Association between serum total testosterone and Body Mass Index in middle aged healthy men. Pak. J. Med. Sci. 2015, 31, 355–359. [Google Scholar] [CrossRef] [PubMed]
- Lopez, D.S.; Qiu, X.; Advani, S.; Tsilidis, K.K.; Khera, M.; Kim, J.; Morgentaler, A.; Wang, R.; Canfield, S. Double Trouble: Co-occurrence of testosterone deficiency and body fatness associated with all-cause mortality in US men. Clin. Endocrinol. 2018, 88, 58–65. [Google Scholar] [CrossRef] [PubMed]
- Jaworski, P.E.; Ramos, A.; Nicoleit, A.R.; Bacarin, L.F.; Neto, P.O. Importance of abdominal circumference and body mass index values in predicting male hypogonadism—A practical approach. Arch. Endocrinol. Metab. 2017, 61, 76–80. [Google Scholar] [CrossRef] [PubMed]
- Yassin, A.A.; Nettleship, J.E.; Salman, M.; Almehmadi, Y. Waist circumference is superior to weight and BMI in predicting sexual symptoms, voiding symptoms and psychosomatic symptoms in men with hypogonadism and erectile dysfunction. Andrologia 2017, 49, e12634. [Google Scholar] [CrossRef] [PubMed]
- DeFina, L.; Radford, N.; Leonard, D.; Howard, E.; Wilson, R.; Cooper, T.; Clark, M.; Gruntmanis, U. Testosterone level in men correlates with BMI and cardiorespiratory fitness but is not related to age. Endocr. Abstr. 2015, 37, EP144. [Google Scholar] [CrossRef]
- Wang, N.; Zhai, H.; Han, B.; Li, Q.; Chen, Y.; Chen, Y.; Xia, F.; Lin, D.; Lu, Y. Visceral fat dysfunction is positively associated with hypogonadism in Chinese men. Sci Rep. 2016, 6, 19844. [Google Scholar] [CrossRef] [PubMed]
- Kim, C.; Dabelea, D.; Kalyani, R.R.; Christophi, C.A.; Bray, G.A.; Pi-Sunyer, X.; Darwin, C.H.; Yalamanchi, S.; Barrett-Connor, E.; Golden, S.H. Changes in Visceral Adiposity, Subcutaneous Adiposity, and Sex Hormones in the Diabetes Prevention Program. J. Clin. Endocrinol. Metab. 2017, 102, 3381–3389. [Google Scholar] [CrossRef] [PubMed]
- Jastrzębska, S.; Walczak-Jędrzejowska, R.; Kramek, E.; Marchlewska, K.; Oszukowska, E.; Filipiak, E.; Kula, K.; Slowikowska-Hilczer, J. Relationship between sexual function, body mass index and levels of sex steroid hormones in young men. Endokrynol. Pol. 2014, 65, 203–209. [Google Scholar] [CrossRef] [PubMed]
- Topsakal, S.; Akin, F.; Yerlikaya, E.; Erurker, T.; Dogu, H. Dehydroepiandrosterone sulfate levels in Turkish obese patients. Eat. Weight Disord. 2014, 19, 261–265. [Google Scholar] [CrossRef] [PubMed]
- Seyfart, T.; Friedrich, N.; Kische, H.; Bülow, R.; Wallaschofski, H.; Völzke, H.; Nauck, M.; Keevil, B.G.; Haring, R. Association of sex hormones with physical, laboratory, and imaging markers of anthropometry in men and women from the general population. PLoS ONE 2018, 13, e0189042. [Google Scholar] [CrossRef] [PubMed]
- Maturana, M.A.; Moreira, R.M.; Spritzer, P.M. Lipid accumulation product (LAP) is related to androgenicity and cardiovascular risk factors in postmenopausal women. Maturitas 2011, 70, 395–399. [Google Scholar] [CrossRef] [PubMed]

| Parameters | Mean | SD | Min | Max |
|---|---|---|---|---|
| Age (years) | 62.83 | 6.57 | 50.00 | 75.00 |
| Height (m) | 1.74 | 0.06 | 1.49 | 1.98 |
| Body weight (kg) | 83.96 | 13.62 | 51.50 | 136.00 |
| BMI | 27.65 | 4.01 | 18.72 | 43.90 |
| VAI | 1.87 | 1.35 | 0.27 | 9.41 |
| WHR | 0.97 | 0.06 | 0.83 | 1.22 |
| WC (cm) | 99.44 | 10.91 | 70.00 | 146.00 |
| LAP | 55.82 | 39.69 | 7.32 | 338.97 |
| TAG (mmol/L) | 1.54 | 0.78 | 0.43 | 6.65 |
| HDL-Ch (mg/dL) | 51.69 | 17.56 | 19.31 | 129.00 |
| FPG (mg/dL) | 90.33 | 18.54 | 57.60 | 126.00 |
| TT (ng/mL) | 4.05 | 1.71 | 0.09 | 10.15 |
| SHBG (nmol/L) | 43.44 | 22.08 | 2.58 | 192.00 |
| DHEA-S (µgmL/mL) | 1.14 | 0.90 | 0.01 | 6.57 |
| E2 (pg/mL) | 38.43 | 23.01 | 4.93 | 168.83 |
| Parameters | Men without Testosterone Deficiency Syndrome (n = 273) | Men with Testosterone Deficiency Syndrome (n = 182) | p | ||||||
|---|---|---|---|---|---|---|---|---|---|
| Mean | SD | Min | Max | Mean | SD | Min | Max | ||
| BMI | 26.68 | 3.58 | 20.01 | 42.28 | 28.98 | 4.04 | 20.02 | 41.32 | <0.0001 |
| WHR | 0.99 | 0.06 | 0.84 | 1.22 | 0.97 | 0.06 | 0.83 | 1.14 | 0.354 |
| VAI | 1.59 | 1.10 | 0.43 | 7.24 | 2.29 | 1.70 | 0.30 | 9.41 | <0.0001 |
| WC | 97.39 | 9.87 | 75.00 | 133.00 | 103.93 | 11.31 | 79.00 | 146.00 | <0.0001 |
| LAP | 46.34 | 32.57 | 7.36 | 231.02 | 73.02 | 54.22 | 12.47 | 338.97 | <0.0001 |
| Parameters | TT | SHGB | DHEA-S | E2 | ||||
|---|---|---|---|---|---|---|---|---|
| P | p | P | p | P | p | P | p | |
| BMI | −0.281 | <0.001 | 0.058 | 0.218 | −0.085 | 0.070 | 0.035 | 0.460 |
| WHR | −0.317 | <0.001 | 0.009 | 0.886 | −0.122 | 0.049 | 0.122 | 0.051 |
| VAI | −0.238 | <0.001 | 0.020 | 0.663 | −0.014 | 0.759 | 0.029 | 0.539 |
| WC | −0.280 | <0.001 | 0.003 | 0.951 | −0.095 | 0.043* | 0.058 | 0.215 |
| LAP | −0.264 | <0.001 | 0.009 | 0.841 | −0.034 | 0.467 | 0.042 | 0.373 |
© 2018 by the authors. Licensee MDPI, Basel, Switzerland. This article is an open access article distributed under the terms and conditions of the Creative Commons Attribution (CC BY) license (http://creativecommons.org/licenses/by/4.0/).
Share and Cite
Rotter, I.; Rył, A.; Grzesiak, K.; Szylińska, A.; Pawlukowska, W.; Lubkowska, A.; Sipak-Szmigiel, O.; Pabisiak, K.; Laszczyńska, M. Cross-Sectional Inverse Associations of Obesity and Fat Accumulation Indicators with Testosterone in Non-Diabetic Aging Men. Int. J. Environ. Res. Public Health 2018, 15, 1207. https://doi.org/10.3390/ijerph15061207
Rotter I, Rył A, Grzesiak K, Szylińska A, Pawlukowska W, Lubkowska A, Sipak-Szmigiel O, Pabisiak K, Laszczyńska M. Cross-Sectional Inverse Associations of Obesity and Fat Accumulation Indicators with Testosterone in Non-Diabetic Aging Men. International Journal of Environmental Research and Public Health. 2018; 15(6):1207. https://doi.org/10.3390/ijerph15061207
Chicago/Turabian StyleRotter, Iwona, Aleksandra Rył, Katarzyna Grzesiak, Aleksandra Szylińska, Wioletta Pawlukowska, Anna Lubkowska, Olimpia Sipak-Szmigiel, Krzysztof Pabisiak, and Maria Laszczyńska. 2018. "Cross-Sectional Inverse Associations of Obesity and Fat Accumulation Indicators with Testosterone in Non-Diabetic Aging Men" International Journal of Environmental Research and Public Health 15, no. 6: 1207. https://doi.org/10.3390/ijerph15061207
APA StyleRotter, I., Rył, A., Grzesiak, K., Szylińska, A., Pawlukowska, W., Lubkowska, A., Sipak-Szmigiel, O., Pabisiak, K., & Laszczyńska, M. (2018). Cross-Sectional Inverse Associations of Obesity and Fat Accumulation Indicators with Testosterone in Non-Diabetic Aging Men. International Journal of Environmental Research and Public Health, 15(6), 1207. https://doi.org/10.3390/ijerph15061207

