Smoking Topography among Korean Smokers: Intensive Smoking Behavior with Larger Puff Volume and Shorter Interpuff Interval
Abstract
1. Introduction
2. Materials and Methods
2.1. Study Population
2.2. Data Collection
2.3. Topography
2.4. Statistical Analysis
3. Results
3.1. Demographic Characteristics of the Study Subjects
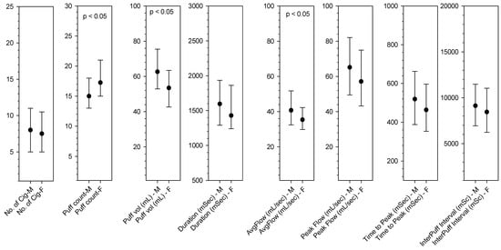
3.2. Comparison of Puffing Behaviors between Male and Female Smokers
3.3. Comparison of Puffing Behaviors According to Fagerstrom Nicotine Addiction Levels
3.4. Associations of Daily Total Puff Volume Levels and Urinary Cotinine Concentrations
4. Discussion
5. Conclusions
Supplementary Materials
Author Contributions
Funding
Acknowledgments
Conflicts of Interest
References
- Carter, B.D.; Abnet, C.C.; Feskanich, D.; Freedman, N.D.; Hartge, P.; Lewis, C.E.; Ockene, J.K.; Prentice, R.L.; Speizer, F.E.; Thun, M.J.; et al. Smoking and mortality beyond established Causes. N. Engl. J. Med. 2015, 372, 631–640. [Google Scholar] [CrossRef] [PubMed]
- Thielen, A.; Klus, H.; Muller, L. Tobacco smoke: Unraveling a controversial subject. Exp. Toxicol. Pathol. 2008, 60, 141–156. [Google Scholar] [CrossRef] [PubMed]
- Schuman, L.M. Patterns of smoking behavior. NIDA Res. Monogr. 1977, 17, 36–66. [Google Scholar]
- Apelberg, B.J.; Hepp, L.M.; Avila-Tang, E.; Kim, S.; Madsen, C.; Ma, J.; Samet, J.M.; Breysse, P.N. Racial differences in hair nicotine concentrations among smokers. Nicotine Tob. Res. 2012, 14, 933–941. [Google Scholar] [CrossRef] [PubMed][Green Version]
- Rosenberry, Z.R.; Pickworth, W.B.; Koszowski, B. Large cigars: Smoking topography and toxicant exposure. Nicotine Tob. Res. 2018, 20, 183–191. [Google Scholar] [CrossRef] [PubMed]
- Hammond, D.; Fong, G.T.; Cummings, K.M.; Hyland, A. Smoking topography, brand switching, and nicotine delivery: Results from an in vivo study. Cancer Epidemiol. Biomarkers Prev. 2005, 14, 1370–1375. [Google Scholar] [CrossRef] [PubMed]
- Matsumoto, M.; Inaba, Y.; Yamaguchi, I.; Endo, O.; Hammond, D.; Uchiyama, S.; Suzuki, G. Smoking topography and biomarkers of exposure among Japanese smokers: Associations with cigarette emissions obtained using machine smoking protocols. Environ Health Prev. Med. 2013, 18, 95–103. [Google Scholar] [CrossRef] [PubMed]
- Chung, S.; Kim, S.S.; Kini, N.; Fang, H.J.; Kalman, D.; Ziedonis, D.M. Smoking topography in Korean American and white men: Preliminary findings. J. Immigr. Minor. Health 2015, 17, 860–866. [Google Scholar] [CrossRef] [PubMed]
- Chen, A.; Krebs, N.M.; Zhu, J.; Sun, D.; Stennett, A.; Muscat, J.E. Sex/Gender differences in cotinine levels among daily smokers in the Pennsylvania adult smoking study. J. Womens Health 2017, 26, 1222–1230. [Google Scholar] [CrossRef] [PubMed]
- Reilly, S.M.; Goel, R.; Bitzer, Z.; Elias, R.J.; Foulds, J.; Muscat, J.; Richie, J.P., Jr. Effects of topography-related puff parameters on carbonyl delivery in mainstream cigarette smoke. Chem. Res. Toxicol. 2017, 30, 1463–1469. [Google Scholar] [CrossRef] [PubMed]
- Farris, S.G.; Aston, E.R.; Abrantes, A.M.; Zvolensky, M.J. Tobacco demand, delay discounting, and smoking topography among smokers with and without psychopathology. Drug Alcohol Depend. 2017, 179, 247–253. [Google Scholar] [CrossRef] [PubMed]
- Watson, C.V.; Richter, P.; de Castro, B.R.; Sosnoff, C.; Potts, J.; Clark, P.; McCraw, J.; Yan, X.; Chambers, D.; Watson, C. Smoking behavior and exposure: Results of a menthol cigarette cross-over study. Am. J. Health Behav. 2017, 41, 309–319. [Google Scholar] [CrossRef] [PubMed]
- Benowitz, N.; Pérez-Stable, E.; Herrera, B.; Jacob, P. African American-Caucasian differences in nicotine and cotinine metabolism. Clin. Pharmacol. Ther. 1995, 57, 159. [Google Scholar]
- Scherer, G. Smoking behavior and compensation: A review of the literature. Psychopharmacology 1999, 145, 1–20. [Google Scholar] [CrossRef] [PubMed]
- Wang, L.; Bernert, J.T.; Benowitz, N.L.; Feng, J.; Jacob, P.; McGahee, E.; Caudill, S.P.; Scherer, G.; Scherer, M.; Pluym, N.; et al. Collaborative Method Performance Study of the Measurement of Nicotine, its Metabolites, and Total Nicotine Equivalents in Human. Urine Cancer Epidemiol. Biomarker Prev. 2018, in press. [Google Scholar]
- Appleton, S.; Liu, J.; Lipowicz, P.J.; Sarkar, M. Effect of cigarette design on biomarkers of exposure, puffing topography and respiratory parameters. Inhal. Toxicol. 2015, 27, 174–180. [Google Scholar] [CrossRef] [PubMed]
- ISO. ISO and Health Canada Intense Smoking Parameters. Available online: https://www.iso.org/obp/ui/#iso:std:iso:tr:19478:-2:ed-1:v1:en (accessed on 15 January 2018).
- Williams, J.M.; Williams, J.M.; Gandhi, K.K.; Lu, S.E.; Steinberg, M.L.; Benowitz, N.L. Nicotine intake and smoking topography in smokers with bipolar disorder. Bipolar Disord. 2012, 14, 618–627. [Google Scholar] [CrossRef] [PubMed]
- WHO. Standard Operating Procedure for Intense Smoking of Cigarettes; WHO TobLabNet Official Method SOP 01; WHO: Geneva, Switzerland, 2013. [Google Scholar]
- Kim, S.R.; Jung, A. Optimum cutoff value of urinary cotinine distinguishing South Korean Adult Smokers from Nonsmokers using data from the KNHANES (2008~2010). Nicotine Tob. Res. 2013, 15, 1608–1616. [Google Scholar] [CrossRef] [PubMed]
- Avila-Tang, E.; Al-Delaimy, W.K.; Ashley, D.L.; Benowitz, N.; Bernert, J.T.; Kim, S.; Samet, J.M.; Hecht, S.S. Assessing secondhand smoke using biological markers. Tob. Control 2013, 22, 164–171. [Google Scholar] [CrossRef] [PubMed]
- Hammond, D.; Wiebel, F.; Kozlowski, L.T.; Borland, R.; Cummings, K.M.; O’Connor, R.J.; McNeill, A.; Connolly, G.N.; Arnott, D.; Fong, G.T. Revising the machine smoking regime for cigarette emissions: Implications for tobacco control policy. Tob. Control 2007, 16, 8–14. [Google Scholar] [CrossRef] [PubMed]
- Farsalinos, K.; Poulas, K.; Voudris, V. Changes in puffing topography and nicotine consumption depending on the power setting of electronic cigarettes. Nicotine Tob. Res. 2017. [Google Scholar] [CrossRef] [PubMed]
- KCDC. Korea National Health and Nutrition Examination Survey (KNHANES). Available online: https://knhanes.cdc.go.kr/knhanes/index.do (accessed on 15 January 2018).
- Wikipedia, Outlier. Available online: https://en.wikipedia.org/wiki/Outlier (accessed on 15 January 2018).

| Characterisic | Overall (n = 300) | Male (n = 250) | Female (n = 50) | p-Value * | ||||
|---|---|---|---|---|---|---|---|---|
| n | (%) | n | (%) | n | (%) | |||
| Age (year) | ≤24 | 94 | (31.3) | 73 | (29.2) | 21 | (42.0) | 0.115 |
| 25–29 | 68 | (22.7) | 62 | (24.8) | 6 | (12.0) | ||
| 30–39 | 53 | (17.7) | 46 | (18.4) | 7 | (14.0) | ||
| ≥40 | 85 | (28.3) | 69 | (27.6) | 16 | (32.0) | ||
| Monthly household income | ≤$5000 | 114 | (38.0) | 104 | (41.6) | 10 | (20.0) | 0.004 |
| >$5000 | 186 | (62.0) | 146 | (58.4) | 40 | (80.0) | ||
| Education level | University | 136 | (45.3) | 125 | (50.0) | 11 | (22.0) | 0.001 |
| College | 164 | (54.7) | 125 | (50.0) | 39 | (78.0) | ||
| Residential area | Seoul & Bucheon | 256 | (85.3) | 212 | (84.8) | 44 | (88.0) | 0.824 |
| Chungnam & others | 44 | (14.7) | 38 | (15.2) | 6 | (12.0) | ||
| Marital status | Married | 100 | (33.3) | 85 | (34.0) | 15 | (30.0) | 0.583 |
| Unmarried | 200 | (66.7) | 165 | (66.0) | 35 | (70.0) | ||
| No. of cigarette per day | 0~5 | 35 | (11.7) | 22 | (8.8) | 13 | (26.0) | 0.0132 |
| 6~10 | 119 | (39.7) | 100 | (40.0) | 19 | (38.0) | ||
| 11~15 | 89 | (29.7) | 78 | (31.2) | 11 | (22.0) | ||
| 16~20 | 43 | (14.3) | 38 | (15.2) | 5 | (10.0) | ||
| >20 | 14 | (4.6) | 12 | (4.8) | 2 | (4.0) | ||
| Fagerstrom score | 1~2 (low) | 91 | (30.3) | 75 | (30.0) | 16 | (32.0) | 0.7676 |
| 3~4 (low-mod) | 127 | (42.3) | 109 | (43.6) | 18 | (36.0) | ||
| 5~7 (moderate) | 76 | (25.4) | 61 | (24.4) | 15 | (30.0) | ||
| ≥8 (high) | 6 | (2.0) | 5 | (2.0) | 1 | (2.0) | ||
| Puffing characteristic | Fagerstrom Category (Low & Low-mid) (n = 218) | Fagerstrom Category (Moderate, High) (n = 82) | p-Value * |
|---|---|---|---|
| No. Cigarettes with CReSS | 7.0 (5.0–20.0) | 10.0 (7.0–13.0) | <0.01 |
| Puff count/Cig | 15.0 (13.5–18.5) | 16.0 (13.0–18.5) | 0.3041 |
| Puff vol (mL)/Cig | 62.1 (52.1–74.1) | 58.2 (47.0–72.3) | 0.2362 |
| Duration (mSec)/Cig | 1572.4 (1285.4–1928.5) | 1573.9 (1254.6–1918.9) | 0.8958 |
| Average Flow (mL/Sec)/Cig | 40.3 (32.5–50.2) | 38.6 (30.8–48.1) | 0.2384 |
| Peak Flow (mL/Sec)/Cig | 65.1 (49.3–81.5) | 61.1 (49.1–79.4) | 0.3591 |
| Time to Peak (mSec)/Cig | 495.5 (370.5–655.3) | 556.1 (405.6–637.8) | 0.3591 |
| Inter Puff Interval (mSec)/Cig | 8927.6 (7375.6–11,281.1) | 9122.6 (6460.0–11,468.1) | 0.6943 |
| Variable | Univariate (n = 286) | Multivariate 1 (n = 286, R2 = 0.283) | Multivariate 2 (n = 286, R2 = 0.398) | |||||||
|---|---|---|---|---|---|---|---|---|---|---|
| GM Ratio | 95% CL | GM Ratio | 95% CL | GM Ratio | 95% CL | |||||
| Fagerstrom index | ||||||||||
| 1~2 (Ref) | ||||||||||
| 3~4 | 1.62 * | 1.26 | 2.08 | 1.43 * | 1.12 | 1.81 | 1.27 * | 1.02 | 1.59 | |
| 5~7 | 2.40 * | 1.82 | 3.17 | 2.01 * | 1.52 | 2.66 | 1.77 * | 1.36 | 2.28 | |
| 8+ | 2.36 * | 1.13 | 4.92 | 2.28 * | 1.13 | 4.57 | 2.06 * | 1.08 | 3.90 | |
| Total volume (mL)/day | ||||||||||
| ≤4715.0 (Ref) | ||||||||||
| 4715.1~7245.0 | 1.47 * | 1.09 | 1.98 | 1.53 * | 1.17 | 2.01 | 1.48 * | 1.16 | 1.90 | |
| 7245.1~11791.0 | 1.81 * | 1.35 | 2.44 | 1.63 * | 1.23 | 2.14 | 1.65 * | 1.28 | 2.12 | |
| ≥11791.1 | 2.06 * | 1.53 | 2.77 | 1.72 * | 1.30 | 2.28 | 1.64 * | 1.26 | 2.12 | |
| Nicotine contents (mg) | ||||||||||
| ~0.1 (Ref) a | ||||||||||
| >0.1 | 1.23 | 0.96 | 1.57 | 1.20 | 0.95 | 1.51 | 1.17 | 0.95 | 1.45 | |
| OH-cotinine (ug/mL) | 1.15 * | 1.11 | 1.18 | 1.11 * | 1.08 | 1.15 | ||||
| Nicotine (ug/mL) | 1.22 * | 1.13 | 1.32 | 1.20 * | 1.11 | 1.29 | 1.10 * | 1.02 | 1.18 | |
| Sex | ||||||||||
| Female (Ref) | ||||||||||
| Male | 1.46 * | 1.09 | 1.96 | 1.39 * | 1.08 | 1.81 | 1.34 * | 1.06 | 1.70 | |
| Age (years) | ||||||||||
| 29 or less (Ref) | ||||||||||
| >29 | 1.04 | 0.83 | 1.29 | 0.98 | 0.79 | 1.21 | 1.07 | 0.88 | 1.30 | |
| Household income (10,000 Won) | ||||||||||
| >500 (Ref) | ||||||||||
| 500 or less | 0.78 * | 0.62 | 0.98 | 0.79 | 0.65 | 0.97 | 0.80 | 0.66 | 0.96 | |
| Recent smoking (Min) | ||||||||||
| >30 (Ref) | ||||||||||
| 30 or less | 1.30 * | 1.02 | 1.66 | 1.16 | 0.93 | 1.45 | 1.12 | 0.91 | 1.37 | |
© 2018 by the authors. Licensee MDPI, Basel, Switzerland. This article is an open access article distributed under the terms and conditions of the Creative Commons Attribution (CC BY) license (http://creativecommons.org/licenses/by/4.0/).
Share and Cite
Kim, S.; Yu, S. Smoking Topography among Korean Smokers: Intensive Smoking Behavior with Larger Puff Volume and Shorter Interpuff Interval. Int. J. Environ. Res. Public Health 2018, 15, 1024. https://doi.org/10.3390/ijerph15051024
Kim S, Yu S. Smoking Topography among Korean Smokers: Intensive Smoking Behavior with Larger Puff Volume and Shorter Interpuff Interval. International Journal of Environmental Research and Public Health. 2018; 15(5):1024. https://doi.org/10.3390/ijerph15051024
Chicago/Turabian StyleKim, Sungroul, and Sol Yu. 2018. "Smoking Topography among Korean Smokers: Intensive Smoking Behavior with Larger Puff Volume and Shorter Interpuff Interval" International Journal of Environmental Research and Public Health 15, no. 5: 1024. https://doi.org/10.3390/ijerph15051024
APA StyleKim, S., & Yu, S. (2018). Smoking Topography among Korean Smokers: Intensive Smoking Behavior with Larger Puff Volume and Shorter Interpuff Interval. International Journal of Environmental Research and Public Health, 15(5), 1024. https://doi.org/10.3390/ijerph15051024
