Association between Sleep Duration and Perceived Stress: Salaried Worker in Circumstances of High Workload
Abstract
1. Introduction
2. Methods
2.1. Study Population
2.2. Variables
2.3. Statistical Analysis
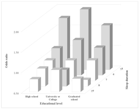
3. Results
4. Discussion
5. Conclusions
Acknowledgments
Author Contributions
Conflicts of Interest
References
- Matthews, K.A.; Gump, B.B. Chronic work stress and marital dissolution increase risk of posttrial mortality in men from the multiple risk factor intervention trial. Arch. Intl. Med. 2002, 162, 309–315. [Google Scholar] [CrossRef]
- Sheps, D.S.; McMahon, R.P.; Becker, L.; Carney, R.M.; Freedland, K.E.; Cohen, J.D.; Sheffield, D.; Goldberg, A.D.; Ketterer, M.W.; Pepine, C.J.; et al. Mental Stress—Induced Ischemia and All-Cause Mortality in Patients With Coronary Artery Disease. Results from the Psychophysiological Investigations of Myocardial Ischemia Study. Circulation 2002, 105, 1780–1784. [Google Scholar] [CrossRef] [PubMed]
- OECD. OECD Factbook 2015–2016: Economic, Environmental and Social Statistics; OECD Publishing: Paris, France, 2016. [Google Scholar]
- Jang, S.O.; Shin, S.H. Risk Levels of Alcohol Use, Workplace Environment and Factors related to Alcohol Abuse among Employees. Korean J. Psychol. 2008, 27, 469–484. [Google Scholar]
- Lee, K.; Suh, C.; Kim, J.-E.; Park, J.O. The impact of long working hours on psychosocial stress response among white-collar workers. Ind. Health 2017, 55, 46–53. [Google Scholar] [CrossRef] [PubMed]
- OECD. Gender Equality, 2014. Balancing Paid Work, Unpaid Work And Leisure. Available online: http://www.oecd.org/gender/data/balancingpaidworkunpaidworkandleisure.htm (accessed on 13 March 2018).
- Heslop, P.; Smith, G.D.; Metcalfe, C.; Macleod, J.; Hart, C. Sleep duration and mortality: The effect of short or long sleep duration on cardiovascular and all-cause mortality in working men and women. Sleep Med. 2002, 3, 305–314. [Google Scholar] [CrossRef]
- Watson, N.F.; Badr, M.S.; Belenky, G.; Bliwise, D.L.; Buxton, O.M.; Buysse, D.; Dinges, D.F.; Gangwisch, J.; Grandner, M.A.; Kushida, C.; et al. Recommended Amount of Sleep for a Healthy Adult: A Joint Consensus Statement of the American Academy of Sleep Medicine and Sleep Research Society. Sleep 2015, 38, 843–844. [Google Scholar] [PubMed]
- Hirshkowitz, M.; Whiton, K.; Albert, S.M.; Alessi, C.; Bruni, O.; DonCarlos, L.; Hazen, N.; Herman, J.; Katz, E.S.; Kheirandish-Gozal, L.; et al. National Sleep Foundation’s sleep time duration recommendations: Methodology and results summary. Sleep Health 2015, 1, 40–43. [Google Scholar] [CrossRef] [PubMed]
- Broman, J.E.; Lundh, L.G.; Hetta, J. Insufficient sleep in the general population. Neurophysiol. Clin. 1996, 26, 30–39. [Google Scholar] [CrossRef]
- Spiegel, K.; Leproult, R.; Van Cauter, E. Impact of sleep debt on metabolic and endocrine function. Lancet 1999, 354, 1435–1439. [Google Scholar] [CrossRef]
- Tamakoshi, A.; Ohno, Y. Self-Reported Sleep Duration as a Predictor of All-Cause Mortality: Results from the JACC Study, Japan. Sleep 2004, 27, 51–54. [Google Scholar] [PubMed]
- Yang, T.-C.; Matthews, S.A.; Chen, V.Y.-J. Stochastic Variability in Stress, Sleep Duration, and Sleep Quality Across the Distribution of Body Mass Index: Insights from Quantile Regression. Int. J. Behav. Med. 2014, 21, 282–291. [Google Scholar] [CrossRef] [PubMed]
- Rowshan Ravan, A.; Bengtsson, C.; Lissner, L.; Lapidus, L.; BjÖRkelund, C. Thirty-six-year secular trends in sleep duration and sleep satisfaction, and associations with mental stress and socioeconomic factors—Results of the Population Study of Women in Gothenburg, Sweden. J. Sleep Res. 2010, 19, 496–503. [Google Scholar] [CrossRef] [PubMed]
- Bixler, E. Sleep and society: An epidemiological perspective. Sleep Med. 2009, 10, S3–S6. [Google Scholar] [CrossRef] [PubMed]
- Vgontzas, A.N.; Bixler, E.O. Short Sleep and Obesity: Are Poor Sleep, Chronic Stress, and Unhealthy Behaviors the Link? Sleep 2008, 31, 1203. [Google Scholar] [PubMed]
- McEwen, B.S. Sleep deprivation as a neurobiologic and physiologic stressor: Allostasis and allostatic load. Metabolism 2006, 55, S20–S23. [Google Scholar] [CrossRef] [PubMed]
- Knutson, K.L.; Ryden, A.M.; Mander, B.A.; Van Cauter, E. Role of sleep duration and quality in the risk and severity of type 2 diabetes mellitus. Arch. Intl. Med. 2006, 166, 1768–1774. [Google Scholar] [CrossRef] [PubMed]
- Gangwisch, J.E.; Heymsfield, S.B.; Boden-Albala, B.; Buijs, R.M.; Kreier, F.; Pickering, T.G.; Rundle, A.G.; Zammit, G.K.; Malaspina, D. Short Sleep Duration as a Risk Factor for Hypertension. Hypertension 2006, 47, 833–839. [Google Scholar] [CrossRef] [PubMed]
- Vgontzas, A.N.; Liao, D.; Bixler, E.O.; Chrousos, G.P.; Vela-Bueno, A. Insomnia with Objective Short Sleep Duration is Associated with a High Risk for Hypertension. Sleep 2009, 32, 491–497. [Google Scholar] [CrossRef] [PubMed]
- Hall, M.H.; Muldoon, M.F.; Jennings, J.R.; Buysse, D.J.; Flory, J.D.; Manuck, S.B. Self-Reported Sleep Duration is Associated with the Metabolic Syndrome in Midlife Adults. Sleep 2008, 31, 635–643. [Google Scholar] [CrossRef] [PubMed]
- Chang, P.P.; Ford, D.E.; Mead, L.A.; Cooper-Patrick, L.; Klag, M.J. Insomnia in Young Men and Subsequent DepressionThe Johns Hopkins Precursors Study. Am. J. Epidemiol. 1997, 146, 105–114. [Google Scholar] [CrossRef] [PubMed]
- Chang, S.J.; Koh, S.B.; Kang, M.G.; Cha, B.S.; Park, J.K.; Hyun, S.J.; Park, J.H.; Kim, S.A.; Kang, D.M.; Chang, S.S.; et al. Epidemiology of Psychosocial Distress in Korean Employees. J. Prev. Med. Public Health 2005, 38, 25–37. [Google Scholar] [PubMed]
- Estryn-Behar, M.; Kaminski, M.; Peigne, E.; Bonnet, N.; Vaichere, E.; Gozlan, C.; Azoulay, S.; Giorgi, M. Stress at work and mental health status among female hospital workers. Br. J. Ind. Med. 1990, 47, 20–28. [Google Scholar] [CrossRef] [PubMed]
- Shields, M. Stress and depression in the employed population. Health Rep. 2006, 17, 11–29. [Google Scholar] [PubMed]
- Paterniti, S.; Niedhammer, I.; Lang, T.; Consoli, S.M. Psychosocial factors at work, personality traits and depressive symptoms. Longitudinal results from the GAZEL Study. Br. J. Psychiatry 2002, 181, 111–117. [Google Scholar] [CrossRef] [PubMed]
- Roxburgh, S. Gender Differences in Work and Well-Being: Effects of Exposure and Vulnerability. J. Health Soc. Behav. 1996, 37, 265–277. [Google Scholar] [CrossRef] [PubMed]
- Parrott, A.C. Does cigarette smoking cause stress? Am. Psychol. 1999, 54, 817–820. [Google Scholar] [CrossRef] [PubMed]
- Kouvonen, A.; Kivimäki, M.; Virtanen, M.; Pentti, J.; Vahtera, J. Work stress, smoking status, and smoking intensity: An observational study of 46190 employees. J. Epidemiol. Community Health 2005, 59, 63–69. [Google Scholar] [CrossRef] [PubMed]
- Todd, M. Daily processes in stress and smoking: Effects of negative events, nicotine dependence, and gender. Psychol. Addict. Behav. 2004, 18, 31–39. [Google Scholar] [CrossRef] [PubMed]
- Ng, D.M.; Jeffery, R.W. Relationships between perceived stress and health behaviors in a sample of working adults. Health Psychol. 2003, 22, 638–642. [Google Scholar] [CrossRef] [PubMed]
- Finch, B.K.; Vega, W.A. Acculturation Stress, Social Support, and Self-Rated Health among Latinos in California. J. Immigr. Health 2003, 5, 109–117. [Google Scholar] [CrossRef] [PubMed]
- Gilchrist, A.C.; Creed, F.H. Depression, cognitive impairment and social stress in multiple sclerosis. J. Psychosom. Res. 1994, 38, 193–201. [Google Scholar] [CrossRef]
- Baum, A.; Garofalo, J.; Yali, A. Socioeconomic status and chronic stress: Does stress account for SES effects on health? Ann. N. Y. Acad. Sci. 1999, 896, 131–144. [Google Scholar] [CrossRef] [PubMed]
- Taylor, S.E.; Seeman, T.E. Psychosocial resources and the SES-health relationship. Ann. N. Y. Acad. Sci. 1999, 896, 210–225. [Google Scholar] [CrossRef] [PubMed]
- Kunz-Ebrecht, S.R.; Kirschbaum, C.; Steptoe, A. Work stress, socioeconomic status and neuroendocrine activation over the working day. Soc. Sci. Med. 2004, 58, 1523–1530. [Google Scholar] [CrossRef]
- Bannai, A.; Tamakoshi, A. The association between long working hours and health: A systematic review of epidemiological evidence. Scand. J. Work Environ. Health 2014, 40, 5–18. [Google Scholar] [CrossRef] [PubMed]
- Tytherleigh, M.Y.; Webb, C.; Cooper, C.L.; Ricketts, C. Occupational stress in UK higher education institutions: A comparative study of all staff categories. High. Educ. Res. Dev. 2005, 24, 41–61. [Google Scholar] [CrossRef]
- Park, S.H.; Lee, K. Changes in the Occupational Structure and the Spatial Characteristics of Employment Distribution in Korea. J. Korean Geogr. Soc. 2016, 51, 401–420. [Google Scholar]
- Spurgeon, A.; Harrington, J.M.; Cooper, C.L. Health and safety problems associated with long working hours: A review of the current position. Occup. Environ. Med. 1997, 54, 367–375. [Google Scholar] [CrossRef] [PubMed]
- Iwasaki, K.; Takahashi, M.; Nakata, A. Health Problems due to Long Working Hours in Japan: Working Hours, Workers’ Compensation (Karoshi), and Preventive Measures. Ind. Health 2006, 44, 537–540. [Google Scholar] [CrossRef] [PubMed]
- Sparks, K.; Cooper, C.; Fried, Y.; Shirom, A. The effects of hours of work on health: A meta-analytic review. J. Occup. Organ. Psychol. 1997, 70, 391–408. [Google Scholar] [CrossRef]
- Artazcoz, L.; Cortès, I.; Escribà-Agüir, V.; Cascant, L.; Villegas, R. Understanding the relationship of long working hours with health status and health-related behaviours. J. Epidemiol. Community Health 2009, 63, 521–527. [Google Scholar] [CrossRef] [PubMed]
- Linn, L.S.; Yager, J.; Cope, D.; Leake, B. Health status, job satisfaction, job stress, and life satisfaction among academic and clinical faculty. JAMA 1985, 254, 2775–2782. [Google Scholar] [CrossRef] [PubMed]



| Variables | Total (N = 67,425) | Stress Awareness | ||||
|---|---|---|---|---|---|---|
| High (N = 19,207) | Low (N = 48,218) | p-Value | ||||
| n | % | n | % | |||
| Sleep duration | <0.0001 | |||||
| ≤5 | 10,158 | 3931 | 38.70 | 6227 | 61.30 | |
| 6 | 23,750 | 7143 | 30.08 | 16,607 | 69.92 | |
| 7 | 23,309 | 5754 | 24.69 | 17,555 | 75.31 | |
| 8 | 9140 | 2120 | 23.19 | 7020 | 76.81 | |
| ≥9 | 1068 | 259 | 24.25 | 809 | 75.75 | |
| Sex | <0.0001 | |||||
| Men | 35,844 | 10,104 | 28.19 | 25,740 | 71.81 | |
| Women | 31,581 | 9103 | 28.82 | 22,478 | 71.18 | |
| Age (years) | <0.0001 | |||||
| 20–29 | 8630 | 3214 | 37.24 | 5416 | 62.76 | |
| 30–39 | 16,361 | 5749 | 35.14 | 10,612 | 64.86 | |
| 40–49 | 19,197 | 5545 | 28.88 | 13,652 | 71.12 | |
| 50–59 | 15,323 | 3375 | 22.03 | 11,948 | 77.97 | |
| ≥60 | 7914 | 1324 | 16.73 | 6590 | 83.27 | |
| Educational level | 0.0004 | |||||
| Under high school | 33,627 | 8379 | 24.92 | 25,248 | 75.08 | |
| University or College | 30,113 | 9715 | 32.26 | 20,398 | 67.74 | |
| Graduated school | 3685 | 1113 | 30.20 | 2572 | 69.80 | |
| Household income | 0.0063 | |||||
| Low | 13,325 | 3640 | 27.32 | 9685 | 72.68 | |
| Mid-low | 13,910 | 3926 | 28.22 | 9984 | 71.78 | |
| Mid-high | 24,891 | 7140 | 28.69 | 17,751 | 71.31 | |
| High | 15,299 | 4501 | 29.42 | 10,798 | 70.58 | |
| Occupational categories | <0.0001 | |||||
| Specialized worker | 13,369 | 4184 | 31.30 | 9185 | 68.70 | |
| Office worker | 17,519 | 5704 | 32.56 | 11,815 | 67.44 | |
| Service and sales worker | 11,982 | 3580 | 29.88 | 8402 | 70.12 | |
| Agriculture, forestry, and fishery | 560 | 123 | 21.96 | 437 | 78.04 | |
| Machine and simple labor | 23,995 | 5616 | 23.40 | 18,379 | 76.60 | |
| Marital status | 0.0256 | |||||
| Married-cohabiting | 46,732 | 12,538 | 26.83 | 34,194 | 73.17 | |
| Married-divorce, bereavement, and separation | 6392 | 1658 | 25.94 | 4734 | 74.06 | |
| Single | 14,301 | 5011 | 35.04 | 9290 | 64.96 | |
| Physical activity | <0.0001 | |||||
| High | 20,397 | 5965 | 29.24 | 14,432 | 70.76 | |
| Moderate | 23,243 | 6320 | 27.19 | 16,923 | 72.81 | |
| Low | 23,785 | 6922 | 29.10 | 16,863 | 70.90 | |
| Alcohol consumption | <0.0001 | |||||
| Yes | 45,446 | 13,710 | 30.17 | 31,736 | 69.83 | |
| No | 21,979 | 5497 | 25.01 | 16,482 | 74.99 | |
| Smoking status | <0.0001 | |||||
| Current smoker | 15,935 | 5655 | 35.49 | 10,280 | 64.51 | |
| Ex-smoker | 12,169 | 2903 | 23.86 | 9266 | 76.14 | |
| Non-smoker | 39,321 | 10,649 | 27.08 | 28,672 | 72.92 | |
| BMI | 0.0034 | |||||
| Normal and underweight (<23) | 18,144 | 5518 | 30.41 | 12,626 | 69.59 | |
| Overweight (23-25) | 16,675 | 4403 | 26.40 | 12,272 | 73.60 | |
| Obesity (≥25) | 32,606 | 9286 | 28.48 | 23,320 | 71.52 | |
| Perceived health status | <0.0001 | |||||
| Healthy | 31,548 | 7,151 | 22.67 | 24,397 | 77.33 | |
| Normal | 30,652 | 9660 | 31.52 | 20,992 | 68.48 | |
| Unhealthy | 5225 | 2396 | 45.86 | 2829 | 54.14 | |
| Depressed mood | <0.0001 | |||||
| Yes | 3488 | 2183 | 62.59 | 1305 | 37.41 | |
| no | 63,937 | 17,024 | 26.63 | 46,913 | 73.37 | |
| Chronic disease | <0.0001 | |||||
| Yes | 4613 | 1913 | 41.47 | 2700 | 58.53 | |
| No | 62,812 | 17,294 | 27.53 | 45,518 | 72.47 | |
| Variables | High Stress Awareness | |
|---|---|---|
| Adjusted OR | 95% CI | |
| Sleep duration | ||
| ≤5 | 1.86 | (1.74–1.98) |
| 6 | 1.27 | (1.20–1.33) |
| 7 | 1.00 | |
| 8 | 0.91 | (0.84–0.98) |
| ≥9 | 0.92 | (0.76–1.10) |
| Sex | ||
| Men | 0.86 | (0.81–0.92) |
| Women | 1.00 | |
| Age (years) | ||
| 20–29 | 3.44 | (3.01–3.90) |
| 30–39 | 2.93 | (2.64–3.26) |
| 40–49 | 2.16 | (1.95–2.38) |
| 50–59 | 1.43 | (1.29–1.59) |
| ≥60 | 1.00 | |
| Educational level | ||
| High school | 0.83 | (0.75–0.93) |
| University or College | 0.93 | (0.84–1.02) |
| Graduated school | 1.00 | |
| Household income | ||
| Low | 1.14 | (1.05–1.23) |
| Mid-low | 0.99 | (0.93–1.06) |
| Mid-high | 0.99 | (0.94–1.05) |
| High | 1.00 | |
| Occupational categories | ||
| Specialized worker | 1.35 | (1.25–1.45) |
| Office worker | 1.43 | (1.39–1.58) |
| Service and sales worker | 1.32 | (1.22–1.40) |
| Agriculture, forestry, and fishery | 0.91 | (0.66–1.26) |
| Machine and simple labor | 1.00 | |
| Marital status | ||
| Married-cohabiting | 1.10 | (1.03–1.18) |
| Married-divorce, bereavement, and separation | 1.07 | (0.97–1.19) |
| Single | 1.00 | |
| Physical activity | ||
| High | 1.06 | (1.00–1.12) |
| Moderate | 0.93 | (0.88–0.98) |
| Low | 1.00 | |
| Alcohol consumption | ||
| Yes | 1.20 | (1.14–1.27) |
| No | 1.00 | |
| Smoking status | ||
| Non-smoker | 1.00 | |
| Ex-smoker | 1.10 | (1.02–1.18) |
| Current smoker | 1.64 | (1.53–1.75) |
| BMI | ||
| Normal and underweight (<23) | 1.08 | (1.02–1.14) |
| Overweight (23-25) | 1.01 | (0.95–1.07) |
| Obesity (≥25) | 1.00 | |
| Perceived health status | ||
| Healthy | 0.59 | (0.56–0.62) |
| Normal | 1.00 | |
| Unhealthy | 2.06 | (1.90–2.24) |
| Depressed mood | ||
| Yes | 3.92 | (3.57–4.31) |
| no | 1.00 | |
| Chronic disease | ||
| Yes | 1.44 | (1.32–1.57) |
| No | 1.00 | |
© 2018 by the authors. Licensee MDPI, Basel, Switzerland. This article is an open access article distributed under the terms and conditions of the Creative Commons Attribution (CC BY) license (http://creativecommons.org/licenses/by/4.0/).
Share and Cite
Choi, D.-W.; Chun, S.-Y.; Lee, S.A.; Han, K.-T.; Park, E.-C. Association between Sleep Duration and Perceived Stress: Salaried Worker in Circumstances of High Workload. Int. J. Environ. Res. Public Health 2018, 15, 796. https://doi.org/10.3390/ijerph15040796
Choi D-W, Chun S-Y, Lee SA, Han K-T, Park E-C. Association between Sleep Duration and Perceived Stress: Salaried Worker in Circumstances of High Workload. International Journal of Environmental Research and Public Health. 2018; 15(4):796. https://doi.org/10.3390/ijerph15040796
Chicago/Turabian StyleChoi, Dong-Woo, Sung-Youn Chun, Sang Ah Lee, Kyu-Tae Han, and Eun-Cheol Park. 2018. "Association between Sleep Duration and Perceived Stress: Salaried Worker in Circumstances of High Workload" International Journal of Environmental Research and Public Health 15, no. 4: 796. https://doi.org/10.3390/ijerph15040796
APA StyleChoi, D.-W., Chun, S.-Y., Lee, S. A., Han, K.-T., & Park, E.-C. (2018). Association between Sleep Duration and Perceived Stress: Salaried Worker in Circumstances of High Workload. International Journal of Environmental Research and Public Health, 15(4), 796. https://doi.org/10.3390/ijerph15040796

