Use of Principal Components Analysis and Kriging to Predict Groundwater-Sourced Rural Drinking Water Quality in Saskatchewan
Abstract
:1. Introduction
2. Materials and Methods
2.1. Study Area
2.2. Data Sources
2.3. Principal Components Analysis
2.4. Geostatistical Analysis
3. Results
3.1. Principal Components Analysis
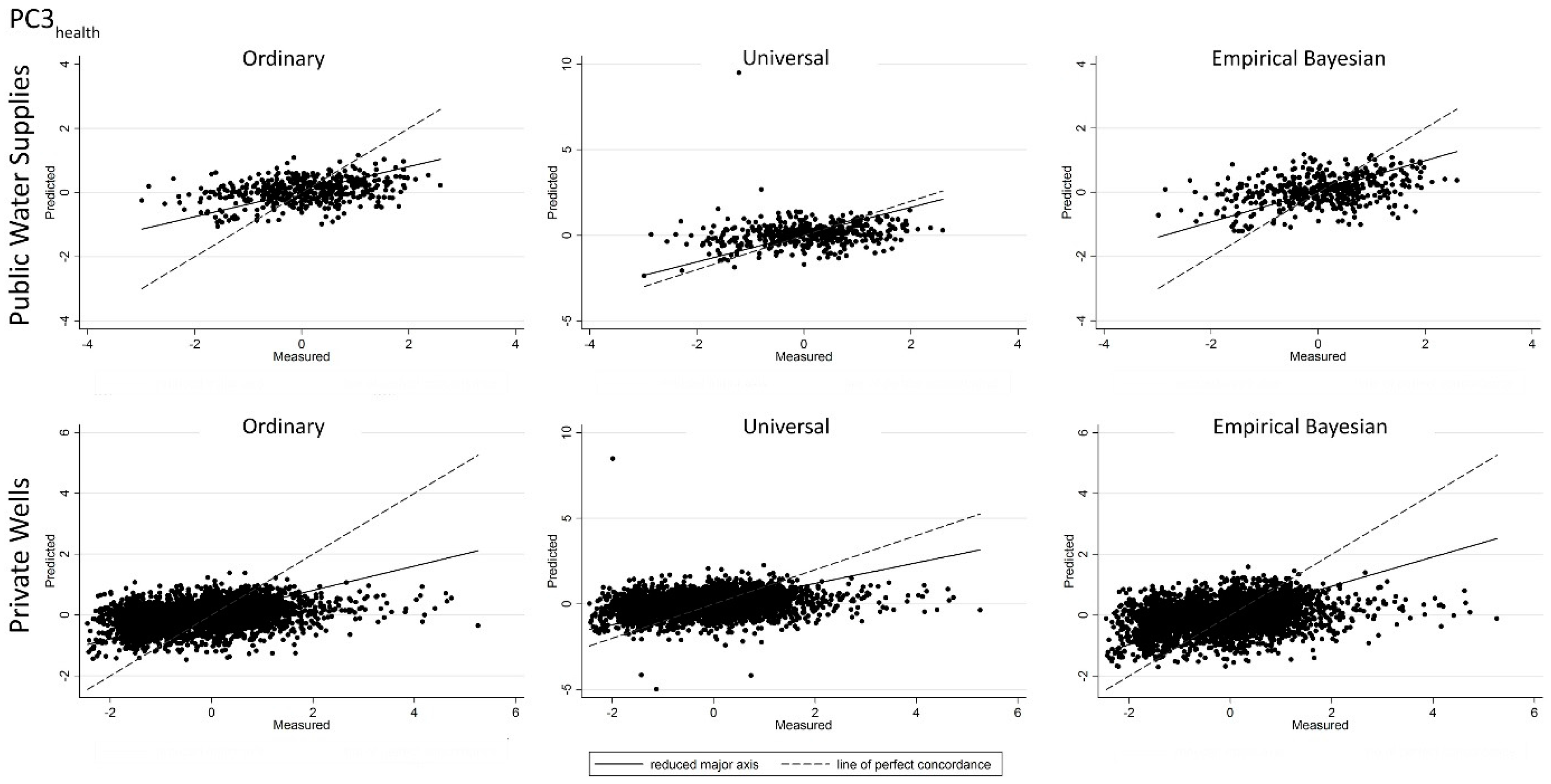
3.2. Geostatistical Analysis
4. Discussion
4.1. Principal Components Analysis
4.2. Geostatistical Analysis
4.3. Limitations
5. Conclusions
Acknowledgments
Author Contributions
Conflicts of Interest
Appendix A. Cross Validation Plots for Arsenic and Principal Component Scores








Appendix B. Prediction Maps for Principal Component Scores







References
- Navas-Acien, A.; Sharrett, A.R.; Silbergeld, E.K.; Schwartz, B.S.; Nachman, K.E.; Burke, T.A.; Guallar, E. Arsenic exposure and cardiovascular disease: A systematic review of the epidemiologic evidence. Am. J. Epidemiol. 2005, 162, 1037–1049. [Google Scholar] [CrossRef] [PubMed]
- Navas-Acien, A.; Silbergeld, E.K.; Streeter, R.A.; Clark, J.M.; Burke, T.A.; Guallar, E. Arsenic exposure and type 2 diabetes: A systematic review of the experimental and epidemiologic evidence. Environ. Health Perspect. 2006, 114, 641–648. [Google Scholar] [CrossRef] [PubMed]
- Chen, C.-J.; Wang, S.-L.; Chiou, J.-M.; Tseng, C.-H.; Chiou, H.-Y.; Hsueh, Y.-M.; Chen, S.-Y.; Wu, M.-M.; Lai, M.-S. Arsenic and diabetes and hypertension in human populations: A review. Toxicol. Appl. Pharmacol. 2007, 222, 298–304. [Google Scholar] [CrossRef] [PubMed]
- Celik, I.; Gallicchio, L.; Boyd, K.; Lam, T.K.; Matanoski, G.; Tao, X.; Shiels, M.; Hammond, E.; Chen, L.; Robinson, K.A.; et al. Arsenic in drinking water and lung cancer: A systematic review. Environ. Res. 2008, 108, 48–55. [Google Scholar] [CrossRef] [PubMed]
- Lisabeth, L.D.; Ahn, H.J.; Chen, J.J.; Sealy-Jefferson, S.; Burke, J.F.; Meliker, J.R. Arsenic in drinking water and stroke hospitalizations in Michigan. Stroke 2010, 41, 2499–2504. [Google Scholar] [CrossRef] [PubMed]
- Chen, Y.; Graziano, J.H.; Parvez, F.; Liu, M.; Slavkovich, V.; Kalra, T.; Argos, M.; Islam, T.; Ahmed, A.; Rakibuz-Zaman, M.; et al. Arsenic exposure from drinking water and mortality from cardiovascular disease in Bangladesh: Prospective cohort study. BMJ 2011, 342, d2431. [Google Scholar] [CrossRef] [PubMed]
- Moon, K.; Guallar, E.; Navas-Acien, A. Arsenic exposure and cardiovascular disease: An updated systematic review. Curr. Atheroscler. Rep. 2012, 14, 542–555. [Google Scholar] [CrossRef] [PubMed]
- Onufrak, S.J.; Park, S.; Sharkey, J.R.; Sherry, B. The relationship of perceptions of tap water safety with intake of sugar-sweetened beverages and plain water among US adults. Public Health Nutr. 2014, 17, 179–185. [Google Scholar] [CrossRef] [PubMed]
- Monosson, E. Chemical Mixtures: Considering the evolution of toxicology and chemical assessment. Environ. Health Perspect. 2005, 113, 383–390. [Google Scholar] [CrossRef] [PubMed]
- Murphy, E.A.; Post, G.B.; Buckley, B.T.; Lippincott, R.L.; Robson, M.G. Future challenges to protecting public health from drinking-water contaminants. Annu. Rev. Public Health 2012, 33, 209–224. [Google Scholar] [CrossRef] [PubMed]
- Villanueva, C.M.; Kogevinas, M.; Cordier, S.; Templeton, M.R.; Vermeulen, R.; Nuckols, J.R.; Nieuwenhuijsen, M.J.; Levallois, P. Assessing exposure and health consequences of chemicals in drinking water: Current state of knowledge and research needs. Environ. Health Perspect. 2014, 122, 213. [Google Scholar] [CrossRef] [PubMed]
- Dunn, G.; Bakker, K.; Harris, L. Drinking water quality guidelines across canadian provinces and territories: Jurisdictional variation in the context of decentralized water governance. Int. J. Environ. Res. Public Health 2014, 11, 4634–4651. [Google Scholar] [CrossRef] [PubMed]
- Guidelines for Canadian Drinking Water Quality—Summary Table. Available online: https://www.canada.ca/en/health-canada/services/environmental-workplace-health/reports-publications/water-quality/guidelines-canadian-drinking-water-quality-summary-table-health-canada-2012.html (accessed on 24 October 2014).
- Water Security Agency Saskatchewan’s Drinking Water Quality Standards and Objectives (Summarized). Available online: http://www.saskh2o.ca/pdf/epb507.pdf (accessed on 14 May 2016).
- Drinking Water—Source to Tap Solutions. Available online: http://www.saskh2o.ca/PDF/Source_to_Tap.pdf (accessed on 15 November 2013).
- Municipal Drinking Water Quality Monitoring Guidelines 2016. Available online: http://www.saskh2o.ca/pdf/epb202.pdf (accessed on 5 November 2016).
- Thompson, T.S.; Le, M.D.; Kasick, A.R.; Macaulay, T.J. Arsenic in well water supplies in Saskatchewan. Bull. Environ. Contam. Toxicol. 1999, 63, 478–483. [Google Scholar] [CrossRef] [PubMed]
- Thompson, T.S. Nitrate concentrations in private rural drinking water supplies in Saskatchewan, Canada. Bull. Environ. Contam. Toxicol. 2001, 66, 64–70. [Google Scholar] [CrossRef] [PubMed]
- Thompson, T.S. General chemical water quality of private groundwater supplies in Saskatchewan, Canada. Bull. Environ. Contam. Toxicol. 2003, 70, 0447–0454. [Google Scholar] [CrossRef] [PubMed]
- Corkal, D.; Schutzman, W.C.; Hilliard, C.R. Rural water safety from the source to the on-farm tap. J. Toxicol. Environ. Health A 2004, 67, 1619–1642. [Google Scholar] [CrossRef] [PubMed]
- Charrois, J.W.A. Private drinking water supplies: Challenges for public health. Can. Med. Assoc. J. 2010, 182, 1061–1064. [Google Scholar] [CrossRef] [PubMed]
- Government of Saskatchewan Sask H2O—Water Information Quick Facts. Available online: http://www.saskh20.ca/WaterInformation_QuickFacts.asp (accessed on 7 November 2014).
- Sketchell, J.; Shaheen, N. Ground water quality in rural Saskatchewan—Emerging issues for drinking water. In Proceedings of the Maintaining Drinking Water Quality—Lessons from the Prairies and Beyond, 9th National Conference on Drinking Water, Regina, SK, Canada, 16–18 May 2000. [Google Scholar]
- McLeod, L.; Bharadwaj, L.; Waldner, C. Risk factors associated with perceptions of drinking water quality in rural Saskatchewan. Can. Water Resour. J. Rev. Can. Ressour. Hydr. 2015, 40, 36–46. [Google Scholar] [CrossRef]
- Goovaerts, P.; AvRuskin, G.; Meliker, J.; Slotnick, M.; Jacquez, G.; Nriagu, J. Geostatistical modeling of the spatial variability of arsenic in groundwater of southeast Michigan. Water Resour. Res. 2005, 41, W07013. [Google Scholar] [CrossRef]
- Meliker, J.R.; AvRuskin, G.A.; Slotnick, M.J.; Goovaerts, P.; Schottenfeld, D.; Jacquez, G.M.; Nriagu, J.O. Validity of spatial models of arsenic concentrations in private well water. Environ. Res. 2008, 106, 42–50. [Google Scholar] [CrossRef] [PubMed]
- Yang, Q.; Jung, H.B.; Culbertson, C.W.; Marvinney, R.G.; Loiselle, M.C.; Locke, D.B.; Cheek, H.; Thibodeau, H.; Zheng, Y. Spatial pattern of groundwater arsenic occurrence and association with bedrock geology in Greater Augusta, Maine, USA. Environ. Sci. Technol. 2009, 43, 2714–2719. [Google Scholar] [CrossRef] [PubMed]
- Gong, G.; Mattevada, S.; O’Bryant, S.E. Comparison of the accuracy of kriging and IDW interpolations in estimating groundwater arsenic concentrations in Texas. Environ. Res. 2014, 130, 59–69. [Google Scholar] [CrossRef] [PubMed]
- James, K.A.; Meliker, J.R.; Buttenfield, B.E.; Byers, T.; Zerbe, G.O.; Hokanson, J.E.; Marshall, J.A. Predicting arsenic concentrations in groundwater of San Luis Valley, Colorado: Implications for individual-level lifetime exposure assessment. Environ. Geochem. Health 2014, 36, 773–782. [Google Scholar] [CrossRef] [PubMed]
- Helena, B.; Pardo, R.; Vega, M.; Barrado, E.; Fernandez, J.M.; Fernandez, L. Temporal evolution of groundwater composition in an alluvial aquifer (Pisuerga River, Spain) by principal component analysis. Water Res. 2000, 34, 807–816. [Google Scholar] [CrossRef]
- Liu, C.-W.; Lin, K.-H.; Kuo, Y.-M. Application of factor analysis in the assessment of groundwater quality in a blackfoot disease area in Taiwan. Sci. Total Environ. 2003, 313, 77–89. [Google Scholar] [CrossRef]
- Chapagain, S.K.; Pandey, V.P.; Shrestha, S.; Nakamura, T.; Kazama, F. Assessment of deep groundwater quality in Kathmandu Valley using multivariate statistical techniques. Water. Air. Soil Pollut. 2010, 210, 277–288. [Google Scholar] [CrossRef]
- Belkhiri, L.; Boudoukha, A.; Mouni, L. A multivariate statistical analysis of groundwater chemistry data. Int. J. Environ. Res. 2011, 5, 537–544. [Google Scholar]
- Sánchez-Martos, F.; Jiménez-Espinosa, R.; Pulido-Bosch, A. Mapping groundwater quality variables using PCA and geostatistics: A case study of Bajo Andarax, southeastern Spain. Hydrol. Sci. J. 2001, 46, 227–242. [Google Scholar] [CrossRef]
- Satyaji Rao, Y.R.; Keshari, A.K.; Gosain, A.K. Evaluation of regional groundwater quality using PCA and geostatistics in the urban coastal aquifer, East Coast of India. Int. J. Environ. Waste Manag. 2009, 5, 163–180. [Google Scholar]
- Shyu, G.-S.; Cheng, B.-Y.; Chiang, C.-T.; Yao, P.-H.; Chang, T.-K. Applying factor analysis combined with kriging and information entropy theory for mapping and evaluating the stability of groundwater quality variation in Taiwan. Int. J. Environ. Res. Public Health 2011, 8, 1084–1109. [Google Scholar] [CrossRef] [PubMed]
- Nazzal, Y.; Zaidi, F.K.; Ahmed, I.; Ghrefat, H.; Naeem, M.; Al-Arifi, N.S.N.; Al-Shaltoni, S.A.; Al-Kahtany, K.M. The combination of principal component analysis and geostatistics as a technique in assessment of groundwater hydrochemistry in arid environment. Curr. Sci. (00113891) 2015, 108, 1138–1145. [Google Scholar]
- Canadian Association for Laboratory Accreditation Inc. CALA Directory of Laboratories. Available online: http://www.caladirectory.ca/index.php (accessed on 22 October 2016).
- Farnham, I.M.; Singh, A.K.; Stetzenbach, K.J.; Johannesson, K.H. Treatment of nondetects in multivariate analysis of groundwater geochemistry data. Chemom. Intell. Lab. Syst. 2002, 60, 265–281. [Google Scholar] [CrossRef]
- Saskatchewan Community Fluoride Data 2010. Available online: https://cypresshealth.ca/wp-content/uploads/2015/02/SaskCommunityFluorideData2010doc_3_pdf (accessed on 16 May 2016).
- Dohoo, I.R.; Martin, S.W.; Stryhn, H.; Dohoo, I.R. Methods in Epidemiologic Research; VER Inc.: Charlottetown, PE, Canada, 2012; ISBN 978-0-919013-73-5. [Google Scholar]
- Singh, B.P.; Hatton, B.J.; Singh, B.; Cowie, A.L.; Kathuria, A. Influence of Biochars on Nitrous Oxide Emission and Nitrogen Leaching from Two Contrasting Soils. J. Environ. Qual. 2010, 39, 1224. [Google Scholar] [CrossRef] [PubMed]
- The Township System. Available online: https://www.isc.ca/About/History/LandSurveys/MeasuringLandSask/Pages/TownshipSystem.aspx (accessed on 27 November 2014).
- Cloutier, V.; Lefebvre, R.; Therrien, R.; Savard, M.M. Multivariate statistical analysis of geochemical data as indicative of the hydrogeochemical evolution of groundwater in a sedimentary rock aquifer system. J. Hydrol. 2008, 353, 294–313. [Google Scholar] [CrossRef]
- Güler, C.; Thyne, G.D.; McCray, J.E.; Turner, K.A. Evaluation of graphical and multivariate statistical methods for classification of water chemistry data. Hydrogeol. J. 2002, 10, 455–474. [Google Scholar] [CrossRef]
- Kaiser, H.F.; Rice, J. Little Jiffy, mark IV. Educ. Psychol. Meas. 1974, 34, 111–117. [Google Scholar] [CrossRef]
- Bartlett, M.S. Tests of significance in factor analysis. Br. J. Math. Stat. Psychol. 1950, 3, 77–85. [Google Scholar] [CrossRef]
- Kaiser, H.F. The application of electronic computers to factor analysis. Educ. Psychol. Meas. 1960, 20, 141–151. [Google Scholar] [CrossRef]
- Chang, K. Introduction to Geographic Information Systems with Data Files and CD-ROM, 5th ed.; McGraw-Hill Science/Engineering/Math: Dubuque, IA, USA, 2009; ISBN 978-0-07-729436-6. [Google Scholar]
- Empirical Bayesian Kriging. Available online: http://www.esri.com/news/arcuser/1012/empirical-byesian-kriging.html (accessed on 15 May 2016).
- Olea, R.A. A six-step practical approach to semivariogram modeling. Stoch. Environ. Res. Risk Assess. 2006, 20, 307–318. [Google Scholar] [CrossRef]
- Robinson, T.P.; Metternicht, G. Testing the performance of spatial interpolation techniques for mapping soil properties. Comput. Electron. Agric. 2006, 50, 97–108. [Google Scholar] [CrossRef]
- Environment and Climate Change Canada Environment and Climate Change Canada—Water—Groundwater. Available online: https://www.ec.gc.ca/eau-water/default.asp?lang=En&n=300688DC-1#sub5 (accessed on 13 August 2016).
- Singh, C.K.; Shashtri, S.; Mukherjee, S. Integrating multivariate statistical analysis with GIS for geochemical assessment of groundwater quality in Shiwaliks of Punjab, India. Environ. Earth Sci. 2010, 62, 1387–1405. [Google Scholar] [CrossRef]
- Maathuis, H. The Quality of Natural Groundwaters in Saskatchewan; Saskatchewan Research Council: Saskatoon, SK, Canada, 2008. [Google Scholar]
- Hassan, M.M.; Atkins, P.J. Application of geostatistics with indicator kriging for analyzing spatial variability of groundwater arsenic concentrations in Southwest Bangladesh. J. Environ. Sci. Health Part A 2011, 46, 1185–1196. [Google Scholar] [CrossRef] [PubMed]
- Yu, W.H.; Harvey, C.M.; Harvey, C.F. Arsenic in groundwater in Bangladesh: A geostatistical and epidemiological framework for evaluating health effects and potential remedies. Water Resour. Res. 2003, 39, 1146. [Google Scholar] [CrossRef]
- Kim, D.; Miranda, M.L.; Tootoo, J.; Bradley, P.; Gelfand, A.E. Spatial modeling for groundwater arsenic levels in North Carolina. Environ. Sci. Technol. 2011, 45. [Google Scholar] [CrossRef] [PubMed]
- Van Geen, A.; Zheng, Y.; Versteeg, R.; Stute, M.; Horneman, A.; Dhar, R.; Steckler, M.; Gelman, A.; Small, C.; Ahsan, H.; et al. Spatial variability of arsenic in 6000 tube wells in a 25 km2 area of Bangladesh. Water Resour. Res. 2003, 39, 1140. [Google Scholar] [CrossRef]
- Rothman, K.J. Induction and latent periods. Am. J. Epidemiol. 1981, 114, 253–259. [Google Scholar] [CrossRef] [PubMed]
- Armstrong, B.K.; White, E.; Saracci, R. Principles of Exposure Measurement in Epidemiology; Oxford University Press: Oxford, UK, 1992; ISBN 0-19-262020-7. [Google Scholar]
- Sanders, A.P.; Messier, K.P.; Shehee, M.; Rudo, K.; Serre, M.L.; Fry, R.C. Arsenic in North Carolina: Public health implications. Environ. Int. 2012, 38, 10–16. [Google Scholar] [CrossRef] [PubMed]



| Samples | Mean | SD | Median | P95 | Max | SK Standard | Exceedances | Below DL | |
|---|---|---|---|---|---|---|---|---|---|
| (n) | (mg/L) | (mg/L) | (mg/L) | (mg/L) | (mg/L) | (mg/L) | Percent of Samples | Percent of Samples | |
| Health standards | |||||||||
| Arsenic | 4732 | 0.003 | 0.007 | 0.001 | 0.014 | 0.098 | 0.01 | 6.9 | 22.9 |
| Barium | 4485 | 0.05 | 0.10 | 0.02 | 0.18 | 2.40 | 1 | 0.04 | 2.8 |
| Boron | 4116 | 0.36 | 0.50 | 0.24 | 1.20 | 6.00 | 5 | 0.2 | 5.5 |
| Lead | 4569 | 0.0019 | 0.0078 | 0.0005 | 0.0070 | 0.4100 | 0.01 | 2.5 | 67.3 |
| Nitrate | 9562 | 11.6 | 20.5 | 3.0 | 42.0 | 933.0 | 45 | 4.1 | 31.4 |
| Selenium | 4527 | 0.001 | 0.006 | 0.001 | 0.004 | 0.140 | 0.01 | 1.9 | 72.2 |
| Uranium | 4617 | 0.006 | 0.011 | 0.003 | 0.023 | 0.180 | 0.02 | 7.3 | 16.9 |
| Aesthetic objectives | SK Objective | ||||||||
| Alkalinity | 5404 | 408 | 154 | 408 | 674 | 2451 | 500 | 22.0 | 0 |
| Chloride | 5435 | 48.5 | 86.9 | 18.0 | 233.4 | 1803.0 | 250 | 4.2 | 3.8 |
| Copper | 4497 | 0.084 | 0.290 | 0.018 | 0.310 | 6.200 | 1 | 1.2 | 6.8 |
| Hardness | 4162 | 536 | 341 | 489 | 1107 | 7800 | 800 | 20.7 | 0.2 |
| Iron | 4587 | 0.30 | 1.33 | 0.06 | 1.08 | 46.00 | 0.3 | 18.8 | 5.9 |
| Magnesium | 3120 | 55.5 | 37.4 | 49.0 | 125.0 | 449.0 | 200 | 0.002 | 4.3 |
| Manganese | 4614 | 0.26 | 1.58 | 0.07 | 0.98 | 101.00 | 0.05 | 53.5 | 7.2 |
| Sodium | 4353 | 162 | 190 | 80 | 585 | 1868 | 300 | 18.8 | 0.1 |
| Sulfate | 4284 | 403 | 367 | 326 | 1045 | 9000 | 500 | 32.5 | 2.5 |
| TDS | 4290 | 1283 | 661 | 1199 | 2453 | 6687 | 1500 | 34.6 | 0 |
| Zinc | 4481 | 0.03 | 0.24 | 0.01 | 0.08 | 11.00 | 5 | 0.04 | 25.4 |
| Samples | Mean | SD | Median | P95 | Max | SK Standard | Exceedances | Below DL | |
|---|---|---|---|---|---|---|---|---|---|
| (n) | (mg/L) | (mg/L) | (mg/L) | (mg/L) | (mg/L) | (mg/L) | Percent of Samples | Percent of Samples | |
| Health Standards | |||||||||
| Arsenic | 4082 | 0.005 | 0.012 | 0.001 | 0.023 | 0.210 | 0.01 | 13.5 | 21.3 |
| Barium | 4082 | 0.08 | 0.14 | 0.03 | 0.26 | 2.19 | 1 | 0.4 | 0.3 |
| Boron | 4082 | 0.33 | 0.54 | 0.15 | 1.40 | 7.10 | 5 | 0.2 | 1.8 |
| Lead | 4082 | 0.0007 | 0.0043 | 0.0005 | 0.0014 | 0.2100 | 0.01 | 0.7 | 72.9 |
| Nitrate | 3996 | 24.5 | 73.5 | 1.20 | 126.0 | 1300.0 | 45 | 12.2 | 27.4 |
| Selenium | 4076 | 0.008 | 0.036 | 0.001 | 0.033 | 0.840 | 0.01 | 11.2 | 41.1 |
| Uranium | 4076 | 0.012 | 0.021 | 0.005 | 0.044 | 0.400 | 0.02 | 17.8 | 11.9 |
| Aesthetic Objectives | SK Objective | ||||||||
| Alkalinity | 4019 | 416 | 148 | 399 | 671 | 1620 | 500 | 21.8 | n/a |
| Chloride | 4019 | 69.8 | 178.0 | 21.0 | 257.0 | 4090.0 | 250 | 5.2 | 1.7 |
| Copper | 4080 | 0.011 | 0.037 | 0.003 | 0.044 | 1.100 | 1 | 0.02 | 24.1 |
| Hardness | 4019 | 695 | 569 | 557 | 1760 | 6810 | 800 | 30.7 | 0.3 |
| Iron | 4091 | 1.24 | 2.81 | 0.12 | 6.00 | 40.00 | 0.3 | 40.5 | 1.2 |
| Magnesium | 4019 | 81.0 | 84.4 | 60.0 | 220.0 | 1450.0 | 200 | 6.1 | 0.3 |
| Manganese | 4091 | 0.44 | 0.68 | 0.18 | 1.70 | 11.00 | 0.05 | 68.2 | 2.5 |
| Sodium | 4019 | 181 | 237 | 84 | 653 | 2710 | 300 | 20.8 | 0 |
| Sulfate | 4019 | 546 | 618 | 354 | 1680 | 7690 | 500 | 39.1 | 0.15 |
| TDS | 4019 | 1560 | 1030 | 1330 | 3450 | 11300 | 1500 | 42.7 | n/a |
| Zinc | 4081 | 0.19 | 1.00 | 0.02 | 0.76 | 31.00 | 5 | 0.4 | 15.8 |
| Mean Predicted Concentration | Number of Samples per Site | ||||||||||
|---|---|---|---|---|---|---|---|---|---|---|---|
| Sites | Mean | SD | Median | P95 | Max | SK Standard | Exceed | Min | Median | Max | |
| (n) | (mg/L) | (mg/L) | (mg/L) | (mg/L) | (mg/L) | (mg/L) | Percent of Sites | (n) | (n) | (n) | |
| Health Standards | |||||||||||
| Arsenic | 492 | 0.002 | 0.003 | 0.001 | 0.007 | 0.039 | 0.01 | 2.0 | 1 | 9 | 59 |
| Barium | 491 | 0.04 | 0.07 | 0.02 | 0.13 | 0.74 | 1 | 0 | 1 | 9 | 28 |
| Boron | 477 | 0.35 | 0.41 | 0.23 | 1.13 | 3.03 | 5 | 0 | 1 | 9 | 26 |
| Lead | 491 | 0.0006 | 0.00004 | 0.0006 | 0.0007 | 0.0007 | 0.01 | 0 | 1 | 9 | 28 |
| Nitrate | 497 | 2.67 | 6.24 | 1.03 | 10.42 | 95.18 | 45 | 0.2 | 1 | 11 | 366 |
| Selenium | 492 | 0.001 | 0.001 | 0.0003 | 0.002 | 0.012 | 0.01 | 0.2 | 1 | 9 | 28 |
| Uranium | 491 | 0.005 | 0.006 | 0.003 | 0.016 | 0.076 | 0.02 | 2.6 | 1 | 9 | 33 |
| Aesthetic Objectives | SK Objective | ||||||||||
| Alkalinity | 503 | 400 | 127 | 400 | 612 | 900 | 500 | 18.1 | 1 | 10 | 36 |
| Chloride | 499 | 42.9 | 64.2 | 19.8 | 173.7 | 489.8 | 250 | 2.4 | 1 | 10 | 257 |
| Copper | 492 | 0.024 | 0.025 | 0.015 | 0.075 | 0.170 | 1 | 0 | 1 | 9 | 28 |
| Hardness | 501 | 492 | 296 | 457 | 10497 | 14827 | 800 | 15.2 | 1 | 8 | 32 |
| Iron | 482 | 0.10 | 0.12 | 0.060 | 0.29 | 1.18 | 0.3 | 4.1 | 1 | 9 | 34 |
| Magnesium | 483 | 52.3 | 34.0 | 46.4 | 116.1 | 191.9 | 200 | 0 | 1 | 6 | 26 |
| Manganese | 483 | 0.12 | 0.19 | 0.06 | 0.45 | 1.84 | 0.05 | 52.6 | 1 | 9 | 34 |
| Sodium | 488 | 160 | 176 | 87 | 561 | 883 | 300 | 18.0 | 1 | 8 | 34 |
| Sulfate | 480 | 383 | 318 | 304 | 995 | 1930 | 500 | 30.0 | 1 | 8 | 34 |
| TDS | 487 | 1277 | 590 | 1189 | 2355 | 3467 | 1500 | 33.1 | 1 | 8 | 34 |
| Zinc | 491 | 0.01 | 0.01 | 0.01 | 0.02 | 0.10 | 5 | 0 | 1 | 9 | 28 |
| Public Water Supplies | Private Wells | ||||||
|---|---|---|---|---|---|---|---|
| Health Standards | |||||||
| PC1 | PC2 | PC3 | PC1 | PC2 | PC3 | ||
| Arsenic | −0.121 | 0.142 | 0.808 | −0.341 | −0.091 | 0.474 | |
| Barium | 0.047 | −0.818 | −0.141 | −0.041 | 0.893 | 0.100 | |
| Boron | −0.062 | 0.903 | −0.123 | −0.195 | −0.818 | 0.168 | |
| Lead | 0.472 | 0.092 | 0.171 | 0.156 | 0.026 | 0.893 | |
| Nitrate | 0.768 | −0.071 | −0.164 | 0.770 | 0.275 | −0.110 | |
| Selenium | 0.867 | −0.220 | 0.019 | 0.853 | −0.007 | 0.074 | |
| Uranium | 0.387 | −0.290 | 0.576 | 0.772 | −0.013 | −0.049 | |
| Eigenvalue | 2.127 | 1.275 | 1.059 | 2.290 | 1.381 | 1.057 | |
| Cumulative variance (%) | 30.4 | 48.6 | 63.7 | 32.7 | 52.5 | 67.6 | |
| Aesthetic Objectives | |||||||
| PC1 | PC2 | PC3 | PC4 | PC1 | PC2 | PC3 | |
| Alkalinity | 0.755 | 0.111 | 0.164 | −0.198 | 0.687 | −0.023 | 0.217 |
| Chloride | 0.753 | −0.193 | 0.002 | 0.226 | 0.779 | 0.043 | −0.195 |
| Copper | 0.127 | 0.012 | −0.200 | 0.714 | 0.030 | 0.223 | −0.757 |
| Hardness | 0.009 | 0.973 | 0.066 | 0.042 | 0.067 | 0.960 | 0.038 |
| Iron | 0.138 | −0.089 | 0.901 | 0.053 | 0.117 | 0.121 | 0.784 |
| Magnesium | −0.014 | 0.961 | 0.055 | 0.038 | 0.103 | 0.951 | 0.020 |
| Manganese | 0.188 | 0.452 | 0.711 | −0.065 | 0.062 | 0.468 | 0.663 |
| Sodium | 0.914 | −0.199 | 0.136 | 0.026 | 0.922 | −0.116 | 0.118 |
| Sulfate | 0.663 | 0.517 | 0.018 | 0.116 | 0.609 | 0.555 | 0.076 |
| Total Dissolved Solids | 0.920 | 0.288 | 0.121 | −0.016 | 0.907 | 0.325 | 0.082 |
| Zinc | −0.089 | 0.078 | 0.237 | 0.763 | −0.091 | 0.396 | −0.375 |
| Eigenvalue | 3.746 | 2.362 | 1.264 | 1.181 | 3.775 | 2.184 | 1.779 |
| Cumulative variance (%) | 34.1 | 55.5 | 67.0 | 77.8 | 34.3 | 54.2 | 70.4 |
| Variable | Number of Sites | Lag Distance (km) | Number of Lags | Large Scale Trend |
|---|---|---|---|---|
| Public Supplies | ||||
| Arsenic | 480 | 13.03 | 31 | 2nd order |
| PC1health | 459 | 13.44 | 30 | 2nd order |
| PC2health | 459 | 13.44 | 30 | 2nd order |
| PC3health | 459 | 13.44 | 30 | 2nd order |
| PC1aesthetic | 435 | 13.84 | 29 | 2nd order |
| PC2aesthetic | 435 | 13.84 | 29 | 2nd order |
| PC3aesthetic | 435 | 13.84 | 29 | 2nd order |
| PC4aesthetic | 435 | 13.84 | 29 | 1st order |
| Private Supplies | ||||
| Arsenic | 4073 | 2.52 | 100 | 1st order |
| PC1health | 3970 | 2.55 | 100 | 2nd order |
| PC2health | 3970 | 2.55 | 100 | 2nd order |
| PC3health | 3970 | 2.55 | 100 | 2nd order |
| PC1aesthetic | 3999 | 2.54 | 100 | 2nd order |
| PC2aesthetic | 3999 | 2.54 | 100 | 2nd order |
| PC3aesthetic | 3999 | 2.54 | 100 | 1st order |
| Ordinary | Universal | Bayesian | |
|---|---|---|---|
| Municipal Systems | |||
| Arsenic | 1.0115 | 1.2634 | 1.0180 |
| PC1health | 0.9730 | 1.0300 | 0.9734 |
| PC2health | 0.9510 | 3.5363 | 0.9586 |
| PC3health | 0.8987 | 1.0865 | 0.8925 |
| PC1aesthetic | 0.9276 | 1.0293 | 0.9268 |
| PC2aesthetic | 0.8899 | 0.9567 | 0.9013 |
| PC3aesthetic | 0.9993 | 6.2933 | 0.9822 |
| PC4aesthetic | 1.0204 | 1.0239 | 1.0232 |
| Private Wells | |||
| Arsenic | 1.5949 | 1.6081 | 1.5593 |
| PC1health | 0.9130 | 212.78 | 0.9090 |
| PC2health | 0.8388 | 0.9111 | 0.8200 |
| PC3health | 0.9536 | 1.0299 | 0.9626 |
| PC1aesthetic | 0.8234 | 211.46 | 0.8091 |
| PC2aesthetic | 0.8618 | 0.8918 | 0.8020 |
| PC3aesthetic | 0.9630 | 0.9724 | 0.9606 |
© 2017 by the authors. Licensee MDPI, Basel, Switzerland. This article is an open access article distributed under the terms and conditions of the Creative Commons Attribution (CC BY) license (http://creativecommons.org/licenses/by/4.0/).
Share and Cite
McLeod, L.; Bharadwaj, L.; Epp, T.; Waldner, C.L. Use of Principal Components Analysis and Kriging to Predict Groundwater-Sourced Rural Drinking Water Quality in Saskatchewan. Int. J. Environ. Res. Public Health 2017, 14, 1065. https://doi.org/10.3390/ijerph14091065
McLeod L, Bharadwaj L, Epp T, Waldner CL. Use of Principal Components Analysis and Kriging to Predict Groundwater-Sourced Rural Drinking Water Quality in Saskatchewan. International Journal of Environmental Research and Public Health. 2017; 14(9):1065. https://doi.org/10.3390/ijerph14091065
Chicago/Turabian StyleMcLeod, Lianne, Lalita Bharadwaj, Tasha Epp, and Cheryl L. Waldner. 2017. "Use of Principal Components Analysis and Kriging to Predict Groundwater-Sourced Rural Drinking Water Quality in Saskatchewan" International Journal of Environmental Research and Public Health 14, no. 9: 1065. https://doi.org/10.3390/ijerph14091065
APA StyleMcLeod, L., Bharadwaj, L., Epp, T., & Waldner, C. L. (2017). Use of Principal Components Analysis and Kriging to Predict Groundwater-Sourced Rural Drinking Water Quality in Saskatchewan. International Journal of Environmental Research and Public Health, 14(9), 1065. https://doi.org/10.3390/ijerph14091065
