The Relationship of PM Variation with Visibility and Mixing-Layer Height under Hazy/Foggy Conditions in the Multi-Cities of Northeast China
Abstract
:1. Introduction
2. Materials and Methods
3. Results and Discussion
3.1. Annual Average of Visibility, PM Mass Concentration and MLH in the Four Sites
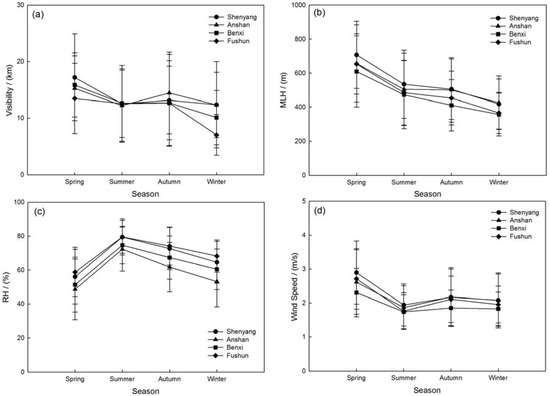
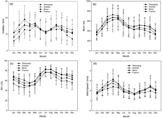
3.2. Monthly and Seasonal Variations of Visibility, MLH and Meteorology in the Four Sites
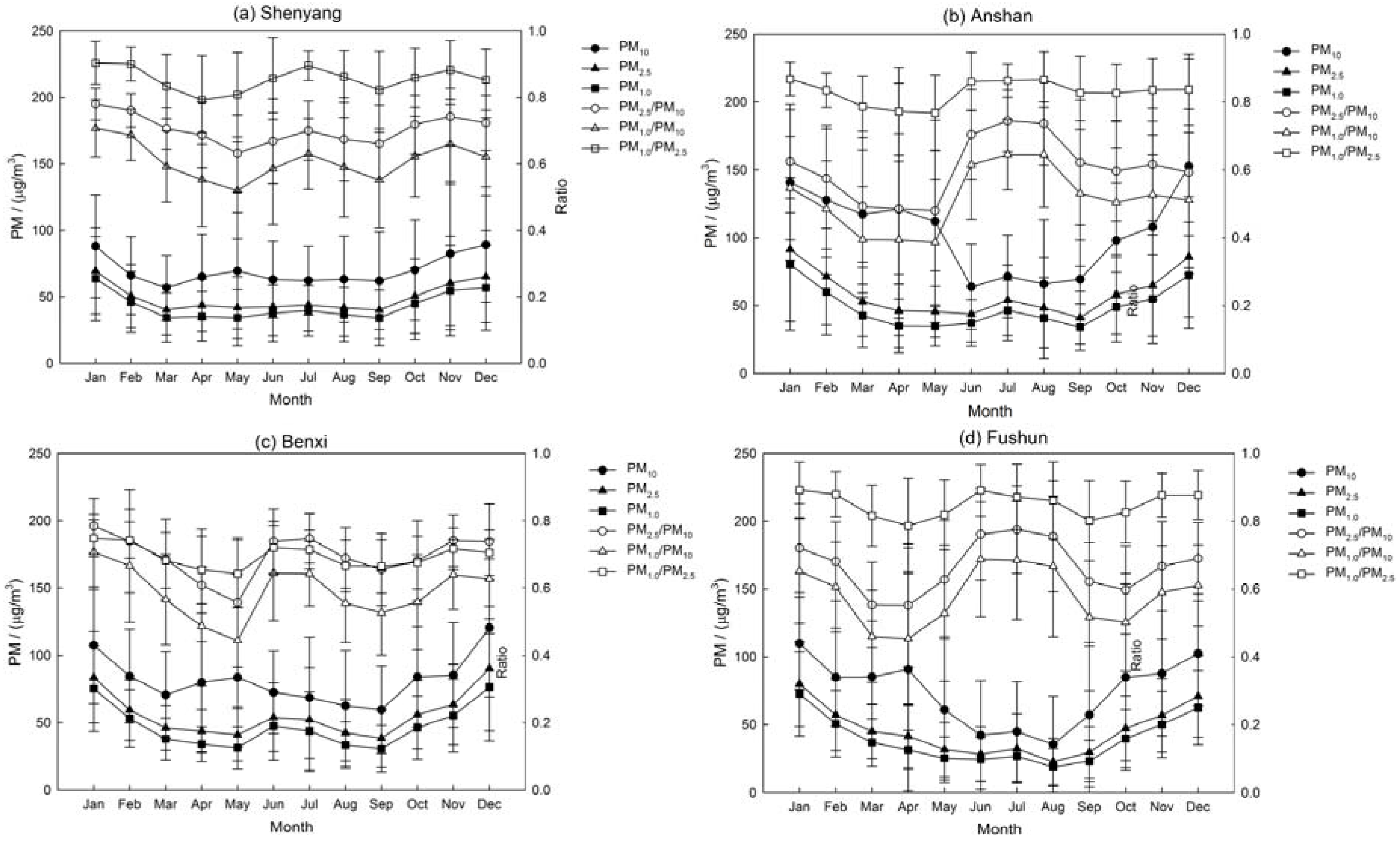
3.3. Monthly Variations of Coarse and Fine Mode Particles Mass Concentration in the Four Sites
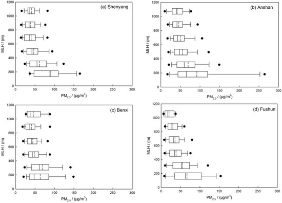
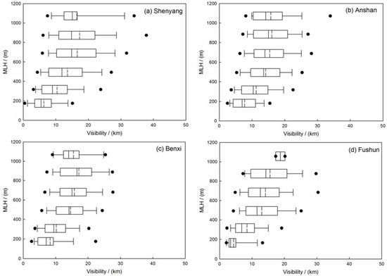
3.4. Relationship between Visibility, PM-Mass Concentration and MLH
3.5. Variations in Visibility and PM during Pollution Episodes
4. Conclusions
- (1)
- The lower annual mean visibility in the multi-cities of central Liaoning suggests a poor atmospheric quality in Northeast China. The pollution load (PM × MLH) shows the higher PM concentration in the near-surface with a weaker vertical diffusion in Anshan. The highest pollution load (PM × MLH) in Shenyang may be due to the contributions of pollutant transportation and local emission sources.
- (2)
- The monthly variation of MLH may be related to the seasonal radiation flux during the year that affects visibility by vertical pollutant diffusion. The increased fine-particle concentration from September to November and even into January in the next year was partially attributed to the biomass-burning emissions and heating sources under lower MLH in winter.
- (3)
- The MLH may have more effect on fine mode particles than coarse mode particles.
- (4)
- The MLH on the non-hazy/foggy days was about 1.2 and 1.5 times higher than that on hazy and foggy days. This indicates that the MLH during fog events shows a more declining trend than during haze events, a fact that indicates the relatively large impact of dynamic effects on fog pollution in the multi-cities of central Liaoning.
Acknowledgments
Author Contributions
Conflicts of Interest
References
- Sloane, C.S. Meteorological adjusted air quality trends: Visibility. Atmos. Environ. 1984, 18, 1217–1229. [Google Scholar] [CrossRef]
- Schichtel, B.A.; Husar, R.B.; Falke, S.R.; Wilson, W.E. Haze trends over the United States, 1980–1995. Atmos. Environ. 2001, 35, 5205–5210. [Google Scholar] [CrossRef]
- Watson, J.G. Visibility: Science and Regulation. J. Air Waste Manag. Assoc. 2002, 52, 628–713. [Google Scholar] [PubMed]
- Molnár, A.; Mészáros, E.; Imre, K.; Rüll, A. Trends in visibility over Hungary between 1996 and 2002. Atmos. Environ. 2008, 42, 2621–2629. [Google Scholar] [CrossRef]
- Chan, Y.C.; Simpson, R.W.; Mctainsh, G.H.; Vowles, P.D.; Cohen, D.D.; Bailey, G.M. Source apportionment of visibility degradation problems in Brisbane (Australia) using the multiple linear regression techniques. Atmos. Environ. 1999, 33, 3237–3250. [Google Scholar]
- Sloane, C.S.; Watson, J.; Chow, J.; Pritchett, L.; Willard, R.L. Size-segregated fine particle measurements by chemical species and their impact on visibility impairment in Denver. Atmos. Environ. Part A Gen. Top. 1991, 25, 1013–1024. [Google Scholar]
- Kim, Y.J.; Kim, K.W.; Kim, S.D.; Lee, B.K.; Han, J.S. Fine Particulate Matter Characteristics and Its Impact on Visibility Impairment at Two Urban Sites in Korea: Seoul and Incheon. Atmos. Environ. 2006, 40, S593–S605. [Google Scholar]
- Elias, T.; Haeffelin, M.; Drobinski, P.; Gomes, L.; Rangognio, J.; Bergot, T.; Chazette, P.; Raut, J.C.; Colomb, M. Particulate Contribution to Extinction of Visible Radiation: Pollution, Haze and Fog. Atmos. Res. 2009, 92, 443–454. [Google Scholar] [CrossRef]
- Ghim, Y.S.; Moon, K.C.; Lee, S.Y.; Kim, Y.P. Visibility trends in Korea during the past two decades. J. Air Waste Manag. Assoc. 2005, 55, 73–82. [Google Scholar] [PubMed]
- Pope, C.R.; Burnett, R.; Thun, M.J.; Calle, E.E.; Krewski, D.; Ito, K.; Thurston, G.D. Lungcancer, cardiopulmonary mortality, and long-term exposure to fine particulate air pollution. JAMA 2002, 287, 1132–1141. [Google Scholar] [CrossRef] [PubMed]
- Tsai, Y.I. Atmospheric visibility trends in an urban area in Taiwan 1961–2003. Atmos. Environ. 2005, 39, 5555–5567. [Google Scholar] [CrossRef]
- Wilson, W.E.; Suh, H.H. Fine particles and coarse particles: Concentration relationships relevant to epidemiological studies. J. Air Waste Manag. Assoc. 1997, 47, 1238–1249. [Google Scholar] [CrossRef] [PubMed]
- Husar, R.B.; Holloway, J.M.; Patterson, D.E.; Wilson, W.E. Spatial and temporal pattern of eastern US haziness: A summary. Atmos. Environ. 1981, 15, 1919–1928. [Google Scholar] [CrossRef]
- Gurjar, B.R.; Lelieveld, J. New directions: Megacities and global change. Atmos. Environ. 2005, 39, 391–393. [Google Scholar] [CrossRef]
- Tsai, Y.I.; Kuo, S.C.; Lee, W.J.; Chen, C.L.; Chen, P.T. Long-term visibility trends in one highly urbanized, one highly industrialized and two rural areas of Taiwan. Sci. Total Environ. 2007, 382, 324–341. [Google Scholar] [CrossRef] [PubMed]
- Lawrence, M.G.; Butler, T.M.; Steinkamp, J.; Gurjar, B.R.; Lelieveld, J. Regional pollution potentials of megacities and other major population centers. Atmos. Chem. Phys. 2007, 7, 3969–3987. [Google Scholar] [CrossRef]
- Doyle, M.; Dorling, S. Visibility trends in the UK 1950–1997. Atmos. Environ. 2002, 36, 3161–3172. [Google Scholar] [CrossRef]
- Donateo, A.; Contini, D.; Belosi, F.; Gambaro, A.; Santachiara, G.; Cesari, D.; Prodi, F. Characterisation of PM2.5 concentrations and turbulent fluxes on a island of the Venice lagoon using high temporal resolution measurements. Meteorol. Z. 2012, 21, 385–398. [Google Scholar] [CrossRef]
- Aron, R. Mixing height—An inconsistent indicator of potential air pollution concentrations. Atmos. Environ. 1983, 17, 2193–2197. [Google Scholar] [CrossRef]
- Stull, R.B. An Introduction to Boundary Layer Meteorology; Kluwer Academic Publishers: Dordrecht, The Netherlands, 1988. [Google Scholar]
- Subrahamanyam, D.B.; Ramchandran, R.; Sen, G.K.; Mandal, T.K. Variability of mixed layer heights over the Indian Ocean and central Arabian Sea during INDOEX, IFP-99. Bound. Layer Meteorol. 2003, 107, 683–695. [Google Scholar] [CrossRef]
- Alappattu, D.P.; Kunhikrishnan, P.K.; Aloysius, M.; Mohan, M. A case study of atmospheric boundary layer features during winter over a tropical inland station—Kharagpur (22.32° N, 87.32° E). J. Earth Syst. Sci. 2009, 118, 281–293. [Google Scholar] [CrossRef]
- Kompalli, S.K.; Babu, S.S.; Moorthy, K.K.; Manoj, M.R.; Kumar, N.K.; Shaeb, K.H.B.; Joshi, A.K. Aerosol black carbon characteristics over Central India: Temporal variation and its dependence on mixed layer height. Atmos. Res. 2014, 147, 27–37. [Google Scholar] [CrossRef]
- Oleniacz, R.; Bogacki, M.; Szulecka, A.; Rzeszutek, M.; Mazur, M. Assessing the impact of wind speed and mixing-layer height on air quality in Krakow (Poland) in the years 2014–2015. JCEEA 2016, 63, s315–s342. [Google Scholar] [CrossRef]
- Quan, J.; Gao, Y.; Zhang, Q.; Tie, X.; Cao, J.; Han, S.; Meng, J.; Chen, P.; Zhao, D. Evolution of Planetary Boundary Layer under Different Weather Conditions, and Its Impact on Aerosol Concentrations. Particuology 2013, 11, 34–40. [Google Scholar] [CrossRef]
- Zhang, Q.; Quan, J.; Tie, X.; Li, X.; Liu, Q.; Gao, Y.; Zhao, D. Effects of meteorology and secondary particle formation on visibility during heavy haze events in Beijing, China. Sci. Total Environ. 2105, 502, 578–584. [Google Scholar] [CrossRef] [PubMed]
- Tang, G.; Zhu, X.; Hu, B.; Xin, J.; Wang, L.; Münkel, C.; Mao, G.; Wang, Y. Impact of emission controls on air quality in Beijing during APEC 2014: Lidar ceilometer observations. Atmos. Chem. Phys. 2015, 15, 12667–12680. [Google Scholar] [CrossRef]
- Tang, G.; Zhang, J.; Zhu, X.; Song, T.; Münkel, C.; Hu, B.; Schäfer, K.; Liu, Z.; Zhang, J.; Wang, L.; et al. Mixing layer height and its implications for air pollution over Beijing, China. Atmos. Chem. Phys. 2016, 16, 2459–2475. [Google Scholar] [CrossRef]
- Chang, D.; Song, Y.; Liu, B. Visibility trends in six megacities in China 1973–2007. Atmos. Res. 2009, 94, 161–167. [Google Scholar] [CrossRef]
- Che, H.Z.; Zhang, X.Y.; Li, Y.; Zhou, Z.J.; Qu, J.J.; Hao, X.J. Haze trends over the capital cities of 31 provinces in China, 1981–2005. Theor. Appl. Climatol. 2009, 97, 235–242. [Google Scholar] [CrossRef]
- Ji, C.Y.; Lin, P.; Li, X.; Liu, Q.; Sun, D.; Wang, S. Monitoring urban expansion with remote sensing in China. Int. J. Remote Sens. 2001, 22, 1441–1455. [Google Scholar] [CrossRef]
- Weng, Q. Land use change analysis in the Zhujiang Delta of China using satellite remote sensing, GIS and stochastic modeling. J. Environ. Manag. 2002, 64, 273–284. [Google Scholar] [CrossRef]
- Zhang, Q.; Streets, D.G.; Carmichael, G.R.; He, K.B.; Huo, H.; Kannari, A.; Klimont, Z.; Park, I.S.; Reddy, S.; Fu, J.S.; et al. Asian emissions in 2006 for the NASAINTEX-B mission. Atmos. Chem. Phys. 2009, 9, 5131–5153. [Google Scholar] [CrossRef]
- Zhang, R.; Jing, J.; Tao, J.; Hsu, S.C.; Wang, G.; Cao, J.; Lee, C.S.L.; Zhu, L.; Chen, Z.; Zhao, Y.; et al. Chemical characterization and source apportionment of PM2.5 in Beijing: Seasonal perspective. Atmos. Chem. Phys. 2013, 13, 7053–7074. [Google Scholar] [CrossRef]
- Chan, C.K.; Yao, X. Air pollution in megacities in China. Atmos. Environ. 2008, 42, 1–42. [Google Scholar] [CrossRef]
- Tie, X.X.; Cao, J.J. Aerosol pollution in China: Present and future impact on environment. Particuology 2009, 7, 426–431. [Google Scholar] [CrossRef]
- Yao, L.; Lu, N.; Yue, X.F.; Du, J.; Yang, C.D. Comparison of hourly PM2.5 observations between urban and suburban areas in Beijing, China. Int. J. Environ. Res. Public Health 2015, 12, 12264–12276. [Google Scholar] [CrossRef] [PubMed]
- Zhang, T.H.; Liu, G.; Zhu, Z.M.; Gong, W.; Ji, Y.X.; Huang, Y.S. Real-time estimation of satellite-derived PM2.5 based on a semi-physical geographically weighted regression model. Int. J. Environ. Res. Public Health 2016, 13, 974. [Google Scholar] [CrossRef] [PubMed]
- Li, Y.; Tao, J.; Zhang, L.M.; Jia, X.F.; Wu, Y.F. High Contributions of Secondary Inorganic Aerosols to PM2.5 under Polluted Levels at a Regional Station in Northern China. Int. J. Environ. Res. Public Health 2016, 13, 1202. [Google Scholar] [CrossRef] [PubMed]
- Sun, Y.; Zhou, X.; Wai, K.; Yuan, Q.; Xu, Z.; Zhou, S.; Qi, Q.; Wang, W. Simultaneous Measurement of Particulate and Gaseous Pollutants in an Urban City in North China Plain during the Heating Period: Implication of Source Contribution. Atmos. Res. 2013, 134, 24–34. [Google Scholar] [CrossRef]
- Deng, J.J.; Wang, T.J.; Jiang, Z.Q.; Min, X.; Zhang, R.; Huang, X.; Zhu, J. Characterization of Visibility and Its Affecting Factors over Nanjing, China. Atmos. Res. 2011, 101, 681–691. [Google Scholar] [CrossRef]
- Yang, F.; Chen, H.; Du, J.; Yang, X.; Gao, S.; Chen, J.; Geng, F. Evolution of the Mixing State of Fine Aerosols during Haze Events in Shanghai. Atmos. Res. 2012, 104–105, 193–201. [Google Scholar] [CrossRef]
- Cheng, Z.; Wang, S.X.; Jiang, J.K.; Fu, Q.; Chen, C.; Xu, B.; Yu, J.; Fu, X.; Hao, J. Long-term Trend of Haze Pollution and Impact of Particulate Matter in the Yangtze River Delta, China. Environ. Pollut. 2013, 182, 101–110. [Google Scholar] [CrossRef] [PubMed]
- Yue, D.; Hu, M.; Wu, Z.; Guo, S.; Wen, M.; Nowak, A.; Wehner, B.; Wiedensohler, A.; Takegawa, N.; Kondo, Y.; et al. Variation of Particle Number Size Distributions and Chemical Compositions at the Urban and Downwind Regional Sites in the Pearl River Delta during Summertime Pollution Episodes. Atmos. Chem. Phys. 2010, 10, 9431–9439. [Google Scholar] [CrossRef]
- Zhang, X.; Wang, Y.; Niu, T.; Zhang, X.; Gong, S.; Zhang, Y.; Sun, J. Atmospheric Aerosol Compositions in China: Spatial/Temporal Variability, Chemical Signature, Regional Haze Distribution and Comparisons with Global Aerosols. Atmos. Chem. Phys. 2012, 12, 779–799. [Google Scholar] [CrossRef]
- Zhang, Y.H.; Zhu, X.L.; Slanina, S.; Shao, M.; Zeng, L.M.; Hu, M.; Bergin, M.; Salmon, S. Aerosol pollution in some Chinese cities. Pure Appl. Chem. 2004, 76, 1227–1239. [Google Scholar] [CrossRef]
- Che, H.Z.; Zhang, X.Y.; Li, Y.; Zhou, Z.J.; Qu, J.J. Horizontal visibility trends in China 1981–2005. Geophys. Res. Lett. 2007, 34, L24706–L24710. [Google Scholar] [CrossRef]
- Hu, X.; Ma, Z.; Lin, W.; Zhang, H.; Hu, J.; Wang, Y.; Xu, X.; Fuentes, J.D.; Xue, M. Impact of the Loess Plateau on the atmospheric boundary layer structure and air quality in the North China Plain: A case study. Sci. Total Environ. 2014, 499, 228–237. [Google Scholar] [CrossRef] [PubMed]
- Wang, S.; Hao, J. Air Quality Management in China: Issues, Challenges, and Options. J. Environ. Sci. 2012, 24, 2–13. [Google Scholar] [CrossRef]
- Zhao, H.; Che, H.; Zhang, X.; Ma, Y.; Wang, Y.; Wang, H.; Wang, Y. Characteristics of Visibility and Particulate Matter (PM) in an Urban Area of Northeast China. Atmos. Pollut. Res. 2013, 4, 427–434. [Google Scholar] [CrossRef]
- Zhao, H.; Che, H.; Ma, Y.; Xia, X.; Wang, Y.; Wang, P.; Wu, X. Temporal variability of the visibility, particulate matter mass concentration and aerosol optical properties over an urban site in Northeast China. Atmos. Res. 2015, 166, 204–212. [Google Scholar] [CrossRef]
- Li, Y.; Zhao, H.; Wu, Y. Characteristics of Particulate Matter during Haze and Fog (Pollution) Episodes over Northeast China, Autumn 2013. Aerosol Air Qual. Res. 2015, 15, 853–864. [Google Scholar] [CrossRef]
- Ministry of Environmental Protection. GB/T-13201-91 Technical Guidelines for Environmental Impact Assessment General Principle, Appendix B; Standards Press of China: Beijing, China, 1991; pp. 13–14.
- Ministry of Environmental Protection. GB3095-2012 Ambient Air Quality Standard; China Environment Science Press: Beijing, China, 2012.
- He, G.X.; Yu, C.W.F.; Lu, C.; Deng, Q.H. The influence of synoptic pattern and atmosphere boundary layer on PM10 and urban heat island. Indoor Built Environ. 2013, 22, 796–807. [Google Scholar] [CrossRef]
- Li, M.; Tang, G.Q.; Huang, J.; Liu, Z.R.; An, J.L.; Wang, Y.S. Characteristics of winter atmospheric mixing layer height in Beijing-Tianjin-Hebei region and their relationship with the atmospheric pollution. Environ. Sci. 2015, 36, 1935–1943. (In Chinese) [Google Scholar]
- Hennigan, C.J.; Bergin, M.H.; Dibb, J.E.; Weber, R.J. Enhanced Secondary Organic Aerosol Formation Due to Water Uptake by Fine Particles. Geophys. Res. Lett. 2008, 35, 102. [Google Scholar] [CrossRef]
- Kamp, D.; McKendry, I. Diurnal and seasonal trends in convective mixed-layer heights estimated from two years of continuous ceilometer observations in Vancouver, BC. Bound. Layer Meteorol. 2010, 137, 459–475. [Google Scholar] [CrossRef]
- Muňoz, R.C.; Undurraga, A.A. Daytime mixed layer over the Santiago Basin: Description of two years of observations with a lidar ceilometer. J. Appl. Meteorol. Climatol. 2010, 49, 1728–1741. [Google Scholar] [CrossRef]
- Sun, Y.L. Physicochemical Characterizations of Airborne Particulate Matter in the Typical Regions of China and Its Impact on Regional Environment. Ph.D. Thesis, Beijing Normal University, Beijing, China, 2005. [Google Scholar]
- Xu, J.; Bergin, M.H.; Yu, X.; Liu, G.; Zhao, J.; Carrico, C.M.; Baumann, K. Measurement of aerosol chemical, physical and radiative properties in the Yangtze Delta region of China. Atmos. Environ. 2002, 36, 161–173. [Google Scholar] [CrossRef]
- Duan, F.K.; Liu, X.D.; Yu, T.; Cachier, H. Identification and estimate of biomass burning contribution to the urban aerosol organic carbon concentrations in Beijing. Atmos. Environ. 2004, 38, 1275–1282. [Google Scholar] [CrossRef]
- Zheng, X.Y.; Liu, X.D.; Zhao, F.H.; Duan, F.K.; Yu, T.; Cachier, H. Seasonal characteristics of biomass burning contribution to Beijing aerosol. Sci. China Ser. B Chem. 2005, 48, 481–488. [Google Scholar] [CrossRef]
- Sun, Y.L.; Zhuang, G.S.; Wang, Y.; Han, L.H.; Guo, J.H.; Dan, M.; Zhang, W.J.; Wang, Z.F.; Hao, Z.P. The air-borne particulate pollution in Beijing concentration, composition, distribution and sources. Atmos. Environ. 2004, 38, 5991–6004. [Google Scholar] [CrossRef]
- Guinot, B.; Cachier, H.; Sciare, J.; Tong, Y.; Wang, X.; Yu, J. Beijing aerosol: Atmospheric interactions and new trends. J. Geophys. Res. 2007, 112, 928–935. [Google Scholar] [CrossRef]
- Cao, J.J.; Lee, S.C.; Chow, J.C.; Watson, J.G.; Ho, K.F.; Zhang, R.J.; Jin, Z.D.; Shen, Z.X.; Chen, G.C.; Kang, Y.M.; et al. Spatial and seasonal distributions of carbonaceous aerosols over China. J. Geophys. Res. 2007, 112. [Google Scholar] [CrossRef]
- Cao, J.J.; Zhu, C.S.; Chow, J.C.; Watson, J.G.; Han, Y.M.; Wang, G.H.; Shen, Z.X.; An, Z.S. Black carbon relationships with emissions and meteorology in Xi’an China. Atmos. Res. 2009, 94, 194–202. [Google Scholar] [CrossRef]
- Gomez, B.; Smith, C.G. Visibility at Oxford 1926–1985. Weather 1987, 39, 379–384. [Google Scholar] [CrossRef]
- Du, H.; Kong, L.; Cheng, T.; Chen, J.; Du, J.; Li, L.; Xia, X.; Leng, C.; Hang, G. Insights into Summertime Haze Pollution Events over Shanghai Based on Online Water-soluble Ionic Composition of Aerosols. Atmos. Environ. 2011, 45, 5131–5137. [Google Scholar] [CrossRef]
- Shi, Y.; Chen, J.M.; Hu, D.W.; Wang, L.; Yang, X.; Wang, X.M. Airborne submicron particulate (PM1) pollution in Shanghai, China: Chemical variability, formation/dissociation of associated semi-volatile components and the impacts on visibility. Sci. Total Environ. 2014, 473–474, 199–206. [Google Scholar] [CrossRef] [PubMed]
- Dinoi, A.; Donateo, A.; Belosi, F.; Conte, M.; Contini, D. Comparison of atmospheric particle concentration measurements using different optical detectors: Potentiality and limits for air quality applications. Measurement 2016. [Google Scholar] [CrossRef]













| Sites | Visibility (km) | PM10 (μg/m3) | PM2.5 (μg/m3) | PM1.0 (μg/m3) |
| Shenyang | 13.7 ± 7.8 | 69.8 ± 37.6 | 49.1 ± 27.3 | 43.1 ± 26.2 |
| Anshan | 13.5 ± 6.5 | 102.0 ± 63.3 | 58.8 ± 36.3 | 49.2 ± 31.8 |
| Benxi | 12.8 ± 6.1 | 81.8 ± 45.3 | 56.4 ± 33.1 | 47.5 ± 29.2 |
| Fushun | 11.5 ± 6.8 | 71.8 ± 55.2 | 43.9 ± 28.9 | 37.2 ± 25.5 |
| Sites | PM10 × MLH (mg/m2) | PM2.5 × MLH (mg/m2) | PM1.0 × MLH (mg/m2) | MLH (m) |
| Shenyang | 35.5 ± 21.3 | 24.5 ± 14.0 | 21.3 ± 12.9 | 535.8 ± 207.0 |
| Anshan | 51.7 ± 40.5 | 28.1 ± 17.2 | 23.3 ± 14.7 | 517.4 ± 212.7 |
| Benxi | 35.8 ± 23.5 | 23.8 ± 13.2 | 19.8 ± 11.5 | 457.6 ± 195.9 |
| Fushun | 33.7 ± 30.9 | 19.7 ± 12.7 | 16.5 ± 10.4 | 484.1 ± 191.0 |
| Site | PM10 vs. MLH | PM2.5 vs. MLH | PM1.0 vs. MLH | VIS vs. MLH |
|---|---|---|---|---|
| Shenyang | −0.24 | −0.31 | −0.33 | 0.32 |
| Anshan | −0.05 | −0.27 | −0.30 | 0.28 |
| Benxi | −0.20 | −0.33 | −0.35 | 0.42 |
| Fushun | −0.14 | −0.33 | −0.36 | 0.40 |
| Site | Shenyang | Anshan |
| VIS (km)/RH (%)/WS (m/s)/MLH (m) | ||
| Haze | 6.7 ± 2.1/74.4 ± 10.3/2.0 ± 0.8/467.7 ± 187.6 | 7.0 ± 2.1/66.8 ± 13.8/2.0 ± 0.9/449.3 ± 202.5 |
| Fog | 6.1 ± 2.6/94.1 ± 3.1/1.8 ± 0.6/379.5 ± 174.3 | 6.3 ± 2.3/94.2 ± 2.6/1.9 ± 0.7/427.0 ± 161.2 |
| Non hazy/foggy | 18.1 ± 6.8/63.3 ± 15.0/2.4 ± 0.9/585.5 ± 203.5 | 16.9 ± 5.3/54.7 ± 16.1/2.3 ± 0.9/555.0 ± 210.0 |
| PM10/PM2.5/PM1.0 (μg/m3) | ||
| Haze | 94.7 ± 38.9/70.8 ± 30.1/64.0 ± 28.7 | 126.9 ± 72.5/87.5 ± 44.3/75.2 ± 38.8 |
| Fog | 82.6 ± 66.2/53.5 ± 27.8/48.6 ± 26.2 | 85.1 ± 64.0/71.4 ± 52.1/61.7 ± 40.2 |
| Non haze-fog | 57.5 ± 26.4/38.4 ± 17.4/32.6 ± 16.8 | 92.2 ± 54.8/45.3 ± 19.7/36.9 ± 17.0 |
| Site | Benxi | Fushun |
| VIS (km)/RH (%)/WS (m/s)/MLH (m) | ||
| Haze | 6.9 ± 2.1/70.5 ± 11.2/1.8 ± 0.6/376.3 ± 171.5 | 6.4 ± 2.2/73.2 ± 10.0/2.0 ± 0.7/410.1 ± 175.4 |
| Fog | 6.1 ± 1.9/94.2 ± 2.9/1.4 ± 0.4/285.9 ± 104.8 | 6.0 ± 2.9/91.2 ± 1.0/1.5 ± 0.4/347.2 ± 117.6 |
| Non hazy/foggy | 16.4 ± 4.9/60.4 ± 14.7/2.0 ± 0.6/499.0 ± 193.6 | 16.9 ± 5.8/68.6 ± 12.8/2.2 ± 0.8/511.0 ± 189.0 |
| PM10/PM2.5/PM1.0 (μg/m3) | ||
| Haze | 106.5 ± 47.2/80.0 ± 36.2/68.7 ± 32.6 | 93.2 ± 57.8/64.2 ± 32.3/55.2 ± 28.9 |
| Fog | 100.0 ± 79.2/72.5 ± 49.9/58.6 ± 38.0 | 81.5 ± 105.1/51.4 ± 48.2/44.4 ± 41.0 |
| Non haze-fog | 71.7 ± 38.2/46.4 ± 24.4/38.5 ± 21.3 | 68.1 ± 50.6/40.3 ± 25.9/34.1 ± 23.0 |
© 2017 by the authors. Licensee MDPI, Basel, Switzerland. This article is an open access article distributed under the terms and conditions of the Creative Commons Attribution (CC BY) license (http://creativecommons.org/licenses/by/4.0/).
Share and Cite
Zhao, H.; Che, H.; Ma, Y.; Wang, Y.; Yang, H.; Liu, Y.; Wang, Y.; Wang, H.; Zhang, X. The Relationship of PM Variation with Visibility and Mixing-Layer Height under Hazy/Foggy Conditions in the Multi-Cities of Northeast China. Int. J. Environ. Res. Public Health 2017, 14, 471. https://doi.org/10.3390/ijerph14050471
Zhao H, Che H, Ma Y, Wang Y, Yang H, Liu Y, Wang Y, Wang H, Zhang X. The Relationship of PM Variation with Visibility and Mixing-Layer Height under Hazy/Foggy Conditions in the Multi-Cities of Northeast China. International Journal of Environmental Research and Public Health. 2017; 14(5):471. https://doi.org/10.3390/ijerph14050471
Chicago/Turabian StyleZhao, Hujia, Huizheng Che, Yanjun Ma, Yangfeng Wang, Hongbin Yang, Yuche Liu, Yaqiang Wang, Hong Wang, and Xiaoye Zhang. 2017. "The Relationship of PM Variation with Visibility and Mixing-Layer Height under Hazy/Foggy Conditions in the Multi-Cities of Northeast China" International Journal of Environmental Research and Public Health 14, no. 5: 471. https://doi.org/10.3390/ijerph14050471
APA StyleZhao, H., Che, H., Ma, Y., Wang, Y., Yang, H., Liu, Y., Wang, Y., Wang, H., & Zhang, X. (2017). The Relationship of PM Variation with Visibility and Mixing-Layer Height under Hazy/Foggy Conditions in the Multi-Cities of Northeast China. International Journal of Environmental Research and Public Health, 14(5), 471. https://doi.org/10.3390/ijerph14050471

