Levels and Distribution of Pollutants in the Waters of an Aquatic Ecosystem in Northern Mexico
Abstract
:1. Introduction
2. Materials and Methods
2.1. Study Area
2.2. Materials and Reagents
2.3. Water Sample Collection
2.4. Sample Preparation and Extraction
2.5. Instrumental Analysis
2.6. Quality Assurance and Quality Control (QA/QC)
2.7. Statistical Analysis
3. Results
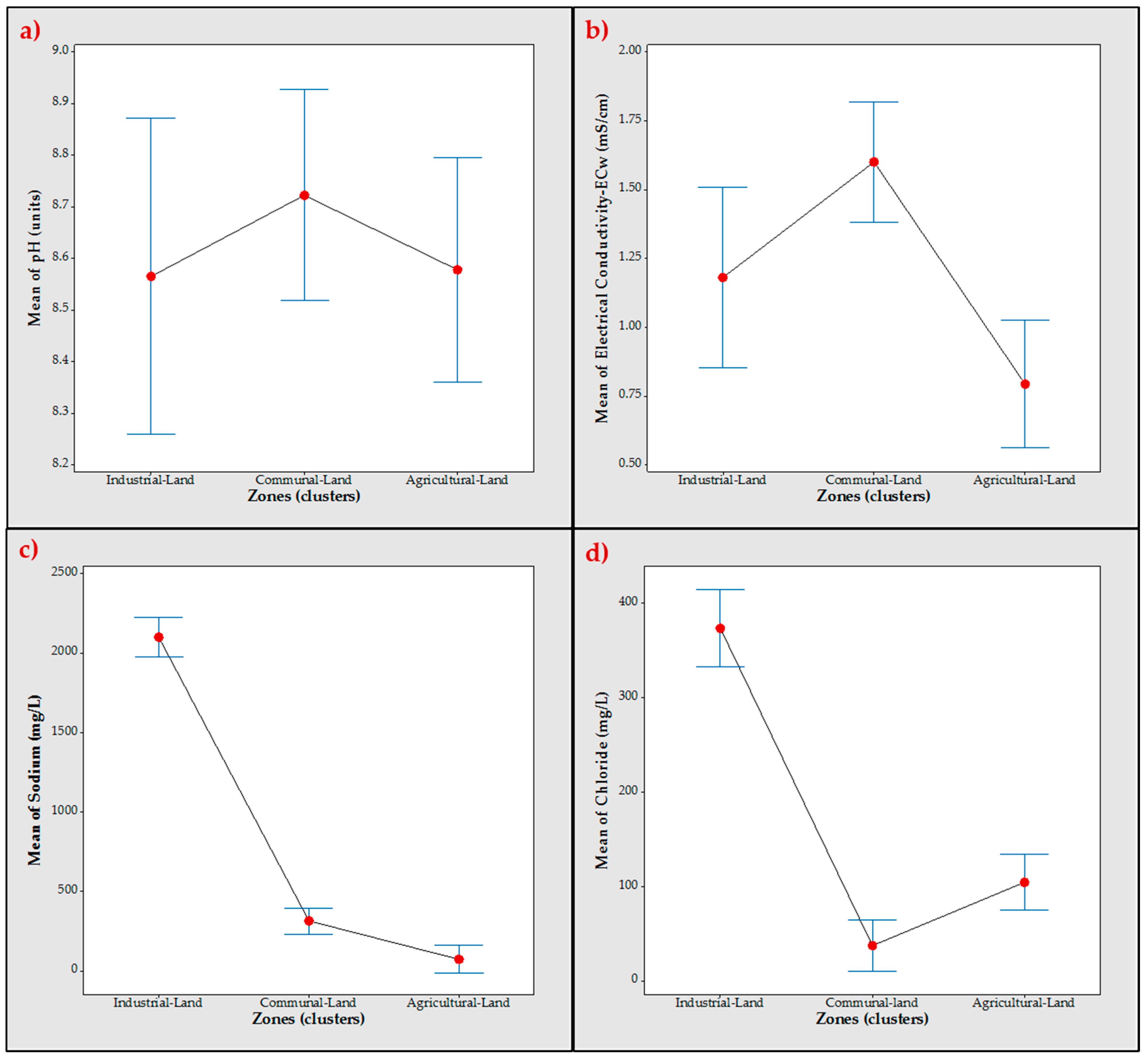
3.1. Physical-Chemical Parameters of the Water
3.2. Concentrations and Occurrence of DDT in Water
4. Discussion
5. Conclusions
Acknowledgments
Author Contributions
Conflicts of Interest
References
- Hassanli, A.M.; Ebrahimizadeh, M.A.; Beecham, S. The effects of irrigation methods with effluent and irrigation scheduling on water use efficiency and corn yields in an arid region. Agric. Water Manag. 2009, 96, 93–99. [Google Scholar] [CrossRef]
- Shrestha, S.; Kazama, F. Assessment of surface water quality using multivariate statistical techniques: A case study of the Fuji river basin, Japan. Environ. Model. Softw. 2007, 22, 464–475. [Google Scholar] [CrossRef]
- Sato, T.; Qadir, M.; Yamamoto, S.; Endo, T.; Zahoor, A. Global, regional, and country level need for data on wastewater generation, treatment, and use. Agric. Water Manag. 2013, 130, 1–13. [Google Scholar] [CrossRef]
- Ayers, R.S.; Westcot, D.W. Water Quality for Agriculture 3rd Reprinted; Food and Agriculture Organization of the United Nations: Rome, Italy, 1985. [Google Scholar]
- Bidleman, T.; Macdonald, R.; Stow, J. Sources, Occurrence, Trends and Pathways in the Physical Environment. Available online: http://caid.ca/CanArtCon5.2003.pdf (accessed on 23 April 2017).
- Wan, Y.; Hu, J.; Liu, J.; An, W.; Tao, S.; Jia, Z. Fate of DDT-related compounds in Bohai Bay and its adjacent Haihe Basin, North China. Mar. Pollut. Bull. 2005, 50, 439–445. [Google Scholar] [CrossRef] [PubMed]
- Agency for Toxic Substances and Disease Registry. DDT, DDE, DDD. Available online: https://www.atsdr.cdc.gov/substances/toxsubstance.asp?toxid=20 (accessed on 2 April 2017).
- Rasier, G.; Parent, A.S.; Gérard, A.; Denooz, R.; Lebrethon, M.C.; Charlier, C.; Bourguignon, J.P. Mechanisms of interaction of endocrine-disrupting chemicals with glutamate-evoked secretion of gonadotropin-releasing hormone. Toxicol. Sci. 2008, 102, 33–41. [Google Scholar] [CrossRef] [PubMed]
- Soto, A.M.; Sonnenschein, C. Endocrine disruptors: DDT, endocrine disruption and breast cancer. Nat. Rev. Endocrinol. 2015, 11, 507–508. [Google Scholar] [CrossRef] [PubMed]
- Karadeniz, H.; Yenisoy-Karakaş, S. Spatial distributions and seasonal variations of organochlorine pesticides in water and soil samples in Bolu, Turkey. Environ. Monit. Assess. 2015, 187. [Google Scholar] [CrossRef] [PubMed]
- Fang, Y.; Nie, Z.; Yang, Y.; Die, Q.; Liu, F.; He, J.; Huang, Q. Human health risk assessment of pesticide residues in market-sold vegetables and fish in a northern metropolis of China. Environ. Sci. Pollut. Res. 2015, 22, 6135–6143. [Google Scholar] [CrossRef] [PubMed]
- Caballero, M. Diagnostico Situacional del uso de DDT y el Control de la Malaria. Available online: http://www.cec.org/islandora/es/item/1755-diagnostico-situacional-del-uso-de-ddt-y-el-control-de-la-malaria-es.pdf (accessed on 19 February 2017). (In Spanish).
- Gallardo Díaz, E.G.; Borja, V.; Méndez, J.; Sánchez, G.; Olguín, H.; Ramírez, J. Situación Actual de la Malaria y el uso de DDT en México. Available online: http://www.bvsde.paho.org/bvsdepl/fulltext/DDT/MEX.pdf (accessed on 19 February 2017). (In Spanish).
- Carvalho, F.P.; Villeneuve, J.P.; Cattini, C.; Rendón, J.; De Oliveira, J.M. Pesticide and PCB residues in the aquatic ecosystems of Laguna de Terminos, a protected area of the coast of Campeche, Mexico. Chemosphere 2009, 74, 988–995. [Google Scholar] [CrossRef] [PubMed]
- Hernández-Romero, A.H.; Tovilla-Hernández, C.; Malo, E.A.; Bello-Mendoza, R. Water quality and presence of pesticides in a tropical coastal wetland in southern Mexico. Mar. Pollut. Bull. 2004, 48, 1130–1141. [Google Scholar] [CrossRef] [PubMed]
- Sánchez-Osorio, J.L.; Macías-Zamora, J.V.; Ramírez-Álvarez, N.; Bidleman, T.F. Organochlorine pesticides in residential soils and sediments within two main agricultural areas of northwest Mexico: Concentrations, enantiomer compositions and potential sources. Chemosphere 2017, 173, 275–287. [Google Scholar] [CrossRef] [PubMed]
- Carvalho, F.P.; Fowler, S.W.; Gonzalez-Farias, F.; Mee, L.D.; Readman, J.W. Agrochemical residues in the Altata-Ensenada del Pabellon coastal lagoon (Sinaloa, Mexico): A need for integrated coastal zone management. Int. J. Environ. Health Res. 1996, 6, 209–222. [Google Scholar] [CrossRef]
- Quintana-Martinez, R.M.; Espinoza-Prieto, J.R.; Frescas-Martinez, A.D.; Pinedo-Alvarez, C. The Importance of Assessing Water Quality in Laguna Bustillos, Chihuahua, Mexico. Available online: http://cmas.siu.buap.mx/portal_pprd/work/sites/rlac/resources/LocalContent/44/2/6(13)-15.pdf (accessed on 2 April 2017).
- Mireles Mireles, C.C. Uso Histórico y Actual de la Laguna de Bustillos, Chihuahua, por Aves Acuáticas Historic and Current Use of Laguna de Bustillos, Chihuahua, by Waterbirds. Available online: https://cicese.repositorioinstitucional.mx/jspui/handle/1007/605 (accessed on 19 February 2017). (In Spanish).
- Comision Para la Cooperacion Ambiental. Tareas Importantes Para la Conservacion de Las Aves de America del Norte: Directorio de 150 Sitios Relevantes. Available online: http://www3.cec.org/islandora/es/item/1664-north-american-important-bird-areas-directory-150-key-conservation-sites-es.pdf (accessed on 19 February 2017). (In Spanish).
- Avesmx. Available online: http://avesmx.conabio.gob.mx/FichaRegion.html#AICA_62 (accessed on 23 April 2017).
- Benavides, A.; Moreno, M.; Sosa, M.; Puga, S.; Alcalá, J.; Quintana, C. Evaluación de la Calidad del Agua en las Principales Lagunas del Estado de Chihuahua. Rev. Latinoam. Recursos Nat. 2008, 4, 84–88. (In Spanish) [Google Scholar]
- Rubio-Arias, H.; Saucedo, R.A.; Lara, C.R.; Wood, K.; Jiménez, J. Water quality in the Laguna de Bustillos of Chihuahua, México. WIT Trans. Ecol. Environ. 2005, 80, 155–160. [Google Scholar]
- Alvarez, J.P.A.; Franco, P.O. Producción de frijol bajo diferentes dosis de fertilización nitrogenada y fosfórica usando agua residual en Bustillos, Chih. TERRA 1999, 17, 337–343. (In Spanish) [Google Scholar]
- Alvarez, J.P.A.; Franco, P.O. Consecuencia de la fertilización nitrogenada y fosfórica sobre la producción de avena irrigada con agua residual. TERRA 2001, 19, 175–182. (In Spanish) [Google Scholar]
- Franco, P.O.; Alvarez, J.P.A. Uso del Agua de la Laguna de Bustillos para la Producción de Maíz. TERRA 2001, 19, 183–189. (In Spanish) [Google Scholar]
- Registro Público de Derechos de Agua, Memoria Documental. Available online: http://www.conagua.gob.mx/CONAGUA07/Contenido/Documentos/MemoriaDocumentalREPDA5_12_2012.pdf (accessed on 19 February 2017). (In Spanish).
- CONAGUA. Actualización de la Disponibilidad Media Anual de Agua en el acuífero Cuauhtémoc (0805), Estado de Chihuahua. Available online: https://www.gob.mx/cms/uploads/attachment/file/103566/DR_0805.pdf (accessed on 19 February 2017). (In Spanish).
- Amado Álvarez, J.P.; Pérez Cutillas, P.; Ramírez Valle, O.; Alarcón Cabañero, J.J. Water resources degradation in a semiarid environment. Bustillos and Los Mexicanos lagoons (Chihuahua, México). Geography Pap. 2016, 62, 107–118. [Google Scholar]
- Atlas Agroalimentario 2015. Available online: http://nube.siap.gob.mx/publicaciones_siap/pag/2015/Atlas-Agroalimentario-2015 (accessed on 19 February 2017). (In Spanish).
- Cuerpos Receptores—Muestreo. Diario Oficial de La Federación. Available online: http://legismex.mty.itesm.mx/normas/aa/aa014.pdf (accessed on 21 April 2017). (In Spanish).
- EPA. Method 8081B Organochlorine Pesticides by Gas Chromatography. Available online: https://www.epa.gov/sites/production/files/2015-12/documents/8081b.pdf (accessed on 5 September 2016).
- Gómez, N.; Donato, J.C.; Giorgi, A.; Guasch i Padró, H.; Mateo, P.; Sabater, S. La Biota de los Ríos: Los Microorganismos Autótrofos. Available online: http://www.fbbva.es/TLFU/microsites/ecologia_fluvial/pdf/cap_12.pdf (accessed on 2 April 2017). (In Spanish).
- Raposo Júnior, J.L.; Ré-Poppi, N. Determination of organochlorine pesticides in ground water samples using solid-phase microextraction by gas chromatography-electron capture detection. Talanta 2007, 72, 1833–1841. [Google Scholar] [CrossRef] [PubMed]
- Derouiche, A.; Driss, M.R.; Morizur, J.-P.; Taphanel, M.-H. Simultaneous analysis of polychlorinated biphenyls and organochlorine pesticides in water by headspace solid-phase microextraction with gas chromatography-tandem mass spectrometry. J. Chromatogr. 2007, 1138, 231–243. [Google Scholar] [CrossRef] [PubMed]
- Michalski, R. Application of IC–MS and IC–ICP-MS in Environmental Research. Available online: http://www.spectroscopyonline.com/application-ic-ms-and-ic-icp-ms-environmental-research (accessed on 2 April 2017).
- Pfaff, J.D. Method 300.0 Determination of Inorganic Anions by Ion Chromatography. Available online: https://www.epa.gov/sites/production/files/2015-08/documents/method_300-0_rev_2-1_1993.pdf (accessed on 19 February 2017).
- ASTM International. Standard Test Method for Determination of Dissolved Alkali and Alkaline Earth Cations and Ammonium in Water and Wastewater by Ion Chromatography. Available online: https://www.astm.org/DATABASE.CART/HISTORICAL/D6919-03.htm (accessed on 2 April 2017).
- Guerrero, M.T.; Reed, C.; Vegter, B. The forest industry in the Sierra Madre of Chihuahua: Social, Economic, and Ecological Impacts. Available online: http://www.texascenter.org/publications/forestry.pdf (accessed on 19 February 2017).
- Abu-Allaban, M.; El-Naqa, A.; Jaber, M.; Hammouri, N. Water scarcity impact of climate change in semi-arid regions: A case study in Mujib basin, Jordan. Arabian J. Geosci. 2015, 8, 951–959. [Google Scholar] [CrossRef]
- NOM-127-SSA1-1994. Diario Oficial de La Federación. Available online: http://www.salud.gob.mx/unidades/cdi/nom/127ssa14.html (accessed on 19 February 2017). (In Spanish)
- Feng, J.; Hu, P.; Zhang, F.; Sun, J. HCHs and DDTs in Yellow River of Henan section—A typical agricultural area in China: Levels, distributions and risks. Environ. Geochem. Health 2016, 38, 1241–1253. [Google Scholar] [CrossRef] [PubMed]
- Feng, K.; Yu, B.Y.; Ge, D.M.; Wong, M.H.; Wang, X.C.; Cao, Z.H. Organo-chlorine pesticide (DDT and HCH) residues in the Taihu Lake Region and its movement in soil-water system: I. Field survey of DDT and HCH residues in ecosystem of the region. Chemosphere 2003, 50, 683–687. [Google Scholar] [CrossRef]
- Fu, J.; Mai, B.; Sheng, G.; Zhang, G.; Wang, X.; Peng, P.A.; Wang, Z. Persistent organic pollutants in environment of the Pearl River Delta, China: An overview. Chemosphere 2003, 52, 1411–1422. [Google Scholar] [CrossRef]
- Varona, M.E.; Díaz, S.M.; Briceño, L.; Sánchez-Infante, C.I.; Torres, C.H.; Palma, R.M.; Groot, H.; Idrovo, A.J. Determinantes sociales de la intoxicación por plaguicidas entre cultivadores de arroz en Colombia. Rev. Salud Pública 2016, 18, 617–629. (In Spanish) [Google Scholar] [CrossRef]
- Baudino, O.M.; Suero, E.A.; Augusto, M.; Gimenez, M.E.; Flores, N. Monitoring organochlorine pesticides in surface and ground water in San Juan Argentina. J. Chil. Chem. Soc. 2003, 48, 7–12. [Google Scholar] [CrossRef]
- Chowdhury, A.Z.; Islam, M.N.; Moniruzzaman, M.; Gan, S.H.; Alam, M.K. Organochlorine insecticide residues are found in surface, irrigated water samples from several districts in Bangladesh. Bull. Environ. Contam. Toxicol. 2013, 90, 149–154. [Google Scholar] [CrossRef] [PubMed]



| Water Quality for Irrigation | FAO | |||
|---|---|---|---|---|
| Parameter | Zone 1 | Zone 2 | Zone 3 | Usual Range in Irrigation Water |
| pH | 7.8–8.98 | 8.65–8.84 | 8.2–9.3 | 6.5–8.5 |
| Na+ (mg/L) | 1678–2361 | 305–321 | 9–158 | 920 |
| Cl− (mg/L) | 326–453 | 34–38 | 49–165 | 1065 |
| SAR (meq/L) | 36–41 | nd | 0.06–1.1 | 0–15 |
| NO3− (mg/L) | <0.42 | <0.42 | <0.42–59 | 0–10 |
| SO42− (mg/L) | 233–932 | <2.085 | 40–136 | 960 |
| ECw (mS/cm) | 0.38–1.45 | 1.6 | 0.27–1.21 | 0–3 |
| Drinking water for livestock | Desired Level | |||
| Mg2+ (mg/L) | <0.0191 | <0.0191 | 270–279 | 250 cows (lactacting) 400 beef cattle |
| NO3− + NO2− (mg/L) | <0.78 | <0.78 | <0.78–71 | 100 |
| DDT Metabolites | Concentration ng/mL | ||
|---|---|---|---|
| Zone 1 | Zone 2 | Zone 3 | |
| 2,4′-DDE | 1.40 ± 0.014 | 1.44 ± 0.030 | 31.3 ± 46.81 |
| 4,4′-DDE | 1.13 ± 0.003 | 1.18 ± 0.058 | 67.7 ±108.23 |
| 2,4′-DDD | 0.77 ± 0.003 | 0.80 ± 0.035 | 168.2 ± 257.72 |
| 2,4′-DDT | 0.70 ± 0.004 | 0.75 ± 0.050 | 228.6 ± 349.43 |
| 4,4′-DDD | 1.55 ± 0.002 | 1.57 ± 0.018 | 119.8 ± 196.97 |
| 4,4′-DDT | 1.66 ± 0.001 | 1.68 ± 0.016 | 195.4± 310.50 |
| Total DDTs | 7.21 | 7.42 | 811 |
© 2017 by the authors. Licensee MDPI, Basel, Switzerland. This article is an open access article distributed under the terms and conditions of the Creative Commons Attribution (CC BY) license (http://creativecommons.org/licenses/by/4.0/).
Share and Cite
Ochoa-Rivero, J.M.; Reyes-Fierro, A.V.; Peralta-Pérez, M.D.R.; Zavala-Díaz de la Serna, F.J.; Ballinas-Casarrubias, L.; Salmerón, I.; Rubio-Arias, H.; Rocha-Gutiérrez, B.A. Levels and Distribution of Pollutants in the Waters of an Aquatic Ecosystem in Northern Mexico. Int. J. Environ. Res. Public Health 2017, 14, 456. https://doi.org/10.3390/ijerph14050456
Ochoa-Rivero JM, Reyes-Fierro AV, Peralta-Pérez MDR, Zavala-Díaz de la Serna FJ, Ballinas-Casarrubias L, Salmerón I, Rubio-Arias H, Rocha-Gutiérrez BA. Levels and Distribution of Pollutants in the Waters of an Aquatic Ecosystem in Northern Mexico. International Journal of Environmental Research and Public Health. 2017; 14(5):456. https://doi.org/10.3390/ijerph14050456
Chicago/Turabian StyleOchoa-Rivero, Jesús Manuel, Ana Victoria Reyes-Fierro, Ma. Del Rosario Peralta-Pérez, Francisco Javier Zavala-Díaz de la Serna, Lourdes Ballinas-Casarrubias, Ivan Salmerón, Héctor Rubio-Arias, and Beatriz A. Rocha-Gutiérrez. 2017. "Levels and Distribution of Pollutants in the Waters of an Aquatic Ecosystem in Northern Mexico" International Journal of Environmental Research and Public Health 14, no. 5: 456. https://doi.org/10.3390/ijerph14050456
APA StyleOchoa-Rivero, J. M., Reyes-Fierro, A. V., Peralta-Pérez, M. D. R., Zavala-Díaz de la Serna, F. J., Ballinas-Casarrubias, L., Salmerón, I., Rubio-Arias, H., & Rocha-Gutiérrez, B. A. (2017). Levels and Distribution of Pollutants in the Waters of an Aquatic Ecosystem in Northern Mexico. International Journal of Environmental Research and Public Health, 14(5), 456. https://doi.org/10.3390/ijerph14050456

