An Evaluation of Voluntary Varicella Vaccination Coverage in Zhejiang Province, East China
Abstract
:1. Introduction
2. Methods
2.1. Data Source
2.2. Definitions
2.3. Analysis Strategy
2.4. Ethical Considerations
3. Results
3.1. Overall Coverage of VarV
3.2. VarV Coverage across Subgroups
3.3. Coverage Difference between VarV and MCV
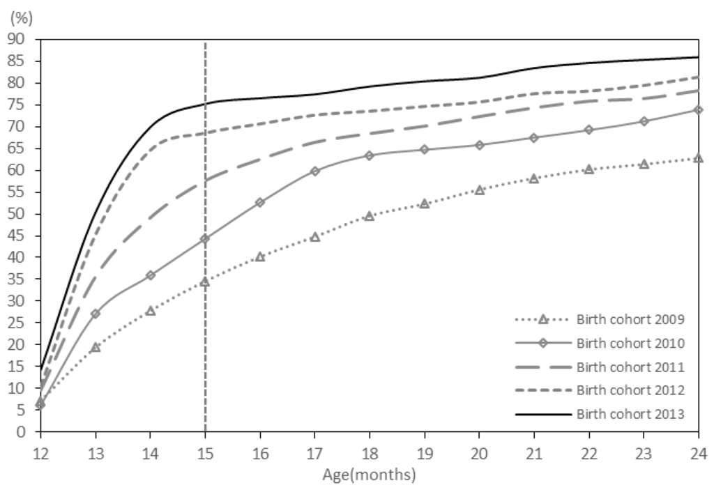
3.4. Age of Vaccinated Children
4. Discussion
5. Conclusions
Acknowledgments
Author contributions
Conflicts of Interest
References
- Seward, J.F.; Marin, M.; Vazquez, M. Varicella vaccine effectiveness in the US vaccination program: A review. J. Infect. Dis. 2008, 197 (Suppl. 2), S82–S89. [Google Scholar]
- Kuter, B.; Matthews, H.; Shinefield, H.; Black, S.; Dennehy, P.; Watson, B.; Reisinger, K.; Kim, L.L.; Lupinacci, L.; Hartzel, J.; et al. Ten year follow-up of healthy children who received one or two injections of varicella vaccine. Pediatr. Infect. Dis. J. 2004, 23, 132–137. [Google Scholar] [CrossRef] [PubMed]
- Li, Q.; Hu, Y.; Zhong, Y.; Chen, Y.; Tang, X.; Guo, J.; Shen, L. Using the Immunization Information System to determine vaccination coverage rates among children aged 1–7 years: A report from Zhejiang Province, China. Int. J. Environ. Res. Public Health 2014, 11, 2713–2728. [Google Scholar] [CrossRef] [PubMed]
- Lopez, A.S.; Cardemil, C.; Pabst, L.J.; Cullen, K.A.; Leung, J.; Bialek, S.R. Two-dose varicella vaccination coverage among children aged 7 years—Six sentinel sites, United States, 2006–2012. Morb. Mortal. Wkly Rep. (MMWR) 2014, 63, 174–177. [Google Scholar] [PubMed]
- Leung, J.; Lopez, A.S.; Blostein, J.; Thayer, N.; Zipprich, J.; Clayton, A.; Buttery, V.; Andersen, J.; Thomas, C.A.; Del Rosario, M.; et al. Impact of the US Two-dose Varicella Vaccination Program on the Epidemiology of Varicella Outbreaks: Data from Nine States, 2005–2012. Pediatr. Infect. Dis. J. 2015, 34, 1105–1109. [Google Scholar] [CrossRef] [PubMed]
- Thomas, C.A.; Shwe, T.; Bixler, D.; del Rosario, M.; Grytdal, S.; Wang, C.; Haddy, L.E.; Bialek, S.R. Two-dose varicella vaccine effectiveness and rash severity in outbreaks of varicella among public school students. Pediatr. Infect. Dis. J. 2014, 33, 1164–1168. [Google Scholar] [CrossRef] [PubMed]
- Chaves, S.S.; Gargiullo, P.; Zhang, J.X.; Civen, R.; Guris, D.; Mascola, L.; Seward, J.F. Loss of vaccine-induced immunity to varicella over time. N. Engl. J. Med. 2007, 356, 1121–1129. [Google Scholar] [CrossRef] [PubMed]
- Seward, J.F.; Zhang, J.X.; Maupin, T.J.; Mascola, L.; Jumaan, A.O. Contagiousness of varicella in vaccinated cases: A household contact study. JAMA 2004, 292, 704–708. [Google Scholar] [CrossRef] [PubMed]
- Hu, Y.; Luo, S.; Tang, X.; Lou, L.; Chen, Y.; Guo, J. Comparative assessment of immunization coverage of migrant children between national immunization program vaccines and non-national immunization program vaccines in East China. Hum. Vaccines Immunother. 2015, 11, 761–768. [Google Scholar] [CrossRef] [PubMed]
- Santoli, J.M.; Setia, S.; Rodewald, L.E.; O’Mara, D.; Gallo, B.; Brink, E. Immunization pockets of need: Science and practice. Am. J. Prev. Med. 2000, 19 (Suppl. 3), 89–98. [Google Scholar] [CrossRef]
- Hu, Y.; Li, Q.; Chen, E.; Chen, Y.; Qi, X. Determinants of childhood immunization uptake among socio-economically disadvantaged migrants in East China. Int. J. Environ. Res. Public Health 2013, 10, 2845–2856. [Google Scholar] [CrossRef] [PubMed]
- Averhoff, F.; Linton, L.; Peddecord, K.M.; Edwards, C.; Wang, W.; Fishbein, D. A middle school immunization law rapidly and substantially increases immunization coverage among adolescents. Am. J. Public Health 2004, 94, 978–984. [Google Scholar] [CrossRef] [PubMed]
- Blank, P.R.; Schwenkglenks, M.; Szucs, T.D. Vaccination coverage rates in eleven European countries during two consecutive influenza seasons. J. Infect. 2009, 58, 446–458. [Google Scholar] [CrossRef] [PubMed]


| City # | Coverage of VarV1 | p § | |||||||||
|---|---|---|---|---|---|---|---|---|---|---|---|
| Birth Cohort 2009 * | Birth Cohort 2010 * | Birth Cohort 2011 * | Birth Cohort 2012 * | Birth Cohort 2013 * | |||||||
| n/N | % | n/N | % | n/N | % | n/N | % | n/N | % | ||
| HZ | 78,821/87,784 | 89.8 | 85,349/94,079 | 90.7 | 97,873/106,238 | 92.1 | 111,272/121,288 | 91.7 | 104,740/115,606 | 90.6 | <0.01 |
| NB | 80,385/87,082 | 92.3 | 85,937/91,708 | 93.7 | 95,951/100,381 | 95.6 | 103,641/108,063 | 95.9 | 98,724/102,965 | 95.9 | <0.01 |
| WZ | 80,844/98,593 | 82.0 | 84,510/99,525 | 84.9 | 90,824/107,116 | 84.8 | 103,157/124,049 | 83.2 | 96,712/118,519 | 81.6 | <0.01 |
| JX | 30,922/39,661 | 78.0 | 36,063/45,009 | 80.1 | 38,802/46,667 | 83.1 | 47,190/56,486 | 83.5 | 44,869/53,859 | 83.3 | <0.01 |
| SX | 27,947/36,115 | 77.4 | 28,910/36,808 | 78.5 | 34,795/41,817 | 83.2 | 41,035/46,788 | 87.7 | 40,444/45,639 | 88.6 | <0.01 |
| JH | 56,105/73,589 | 76.2 | 60,180/74,791 | 80.5 | 67,601/80,547 | 83.9 | 79,048/92,846 | 85.1 | 76,178/89,505 | 85.1 | <0.01 |
| QZ | 15,509/18,220 | 85.1 | 13,909/16,055 | 86.6 | 16,661/19,090 | 87.3 | 19,462/22,368 | 87.0 | 18,398/21,217 | 86.7 | <0.01 |
| ZS | 6094/7102 | 85.8 | 6257/7298 | 85.7 | 6572/7655 | 85.9 | 7591/9034 | 84.0 | 7062/8393 | 84.1 | <0.01 |
| TZ | 60,269/67,403 | 89.4 | 61,264/67,565 | 90.7 | 65,859/72,124 | 91.3 | 73,101/81,595 | 89.6 | 68,500/77248 | 88.7 | <0.01 |
| LS | 16,917/19,612 | 86.3 | 15,423/17,609 | 87.6 | 19,279/21,329 | 90.4 | 20,470/22,557 | 90.7 | 19,450/21,627 | 89.9 | <0.01 |
| Total | 453,813/535,161 | 84.8 | 477,802/550,447 | 86.8 | 534,217/602,964 | 88.6 | 605,967/685,074 | 88.5 | 575,075/654,576 | 87.9 | <0.01 |
| City # | Coverage of VarV2 | p § | |||||
|---|---|---|---|---|---|---|---|
| Birth Cohort 2009 * | Birth Cohort 2010 * | Birth Cohort 2011 * | |||||
| n/N | % | n/N | % | n/N | % | ||
| HZ | 32,701/87,784 | 37.3 | 39,378/94,079 | 41.9 | 58,038/106,238 | 54.6 | <0.01 |
| NB | 52,631/87,082 | 60.4 | 42,102/91,708 | 45.9 | 75,853/100,381 | 75.6 | <0.01 |
| WZ | 13,625/98,593 | 13.8 | 16,375/99,525 | 16.5 | 27,300/107,116 | 25.5 | <0.01 |
| JX | 14,237/39,661 | 35.9 | 15,334/45,009 | 34.1 | 22,731/46,667 | 48.7 | <0.01 |
| SX | 7492/36115 | 20.7 | 7643/36,808 | 20.8 | 21,674/41,817 | 51.8 | <0.01 |
| JH | 12,808/73,589 | 17.4 | 21,307/74,791 | 28.5 | 33,361/80,547 | 41.4 | <0.01 |
| QZ | 6142/18,220 | 33.7 | 4981/16,055 | 31.0 | 8575/19,090 | 44.9 | <0.01 |
| ZS | 582/7102 | 8.2 | 1392/7298 | 19.1 | 3268/7655 | 42.7 | <0.01 |
| TZ | 23,513/67,403 | 34.9 | 23,342/67,565 | 34.5 | 31,867/72,124 | 44.2 | <0.01 |
| LS | 6348/19,612 | 32.4 | 6018/17,609 | 34.2 | 11,161/21,329 | 52.3 | <0.01 |
| Total | 170,079/535,161 | 31.8 | 177,872/550,447 | 32.3 | 293,828/602,964 | 48.7 | <0.01 |
| Birth Cohort | Coverage of VarV1 | Coverage of VarV2 | ||||||||
|---|---|---|---|---|---|---|---|---|---|---|
| Male | Female | p * | Male | Female | p * | |||||
| n/N | % | n/N | % | n/N | % | n/N | % | |||
| 2009 | 228,808/269,186 | 85.0 | 225,008/265,975 | 84.6 | >0.05 | 86,678/269,186 | 32.2 | 83,503/265,975 | 31.4 | >0.05 |
| 2010 | 243,835/279,627 | 87.2 | 233,953/270,820 | 86.4 | >0.05 | 91,158/279,627 | 32.6 | 86,636/270,820 | 32.0 | >0.05 |
| 2011 | 271,539/305,100 | 89.0 | 262,687/297,864 | 88.2 | >0.05 | 149,194/305,100 | 48.9 | 144,450/297,864 | 48.5 | >0.05 |
| 2012 | 305,485/345,962 | 88.3 | 300,806/339,112 | 88.7 | >0.05 | - | - | - | - | - |
| 2013 | 288,917/327,942 | 88.1 | 286,455/326,633 | 87.7 | >0.05 | - | - | - | - | - |
| Total | 1,338,584/1,527,818 | 87.6 | 1,308,909/1,500,404 | 87.2 | >0.05 | 327,030/853,913 | 38.3 | 314,589/834,659 | 37.7 | >0.05 |
| Birth Cohort | Coverage of VarV1 | Coverage of VarV1 | ||||||||
|---|---|---|---|---|---|---|---|---|---|---|
| Resident Children | Migrant Children | p * | Resident Children | Migrant Children | p * | |||||
| n/N | % | n/N | % | n/N | % | n/N | % | |||
| 2009 | 199,470/217,625 | 91.7 | 254,347/317,536 | 80.1 | <0.01 | 98,418/217,625 | 45.2 | 71,763/317,536 | 22.6 | <0.01 |
| 2010 | 208,419/219,120 | 95.1 | 269,369/331,327 | 81.3 | <0.01 | 100,927/219,120 | 46.1 | 76,868/331,327 | 23.2 | <0.01 |
| 2011 | 236,217/241,302 | 97.9 | 298,010/361,662 | 82.4 | <0.01 | 157,659/241,302 | 65.3 | 135,985/361,662 | 37.6 | <0.01 |
| 2012 | 267,962/271,974 | 98.5 | 338,329/413,100 | 81.9 | <0.01 | - | - | - | - | - |
| 2013 | 253,823/260,521 | 97.4 | 321,548/394,054 | 81.6 | <0.01 | - | - | - | - | - |
| Total | 1,165,891/1,210,542 | 96.3 | 1,481,602/1,817,679 | 81.5 | <0.01 | 357,003/678,047 | 52.7 | 284,616/1,010,525 | 28.2 | <0.01 |
| Birth Cohort | Coverage of the 1st Dose (%) | Coverage of the 2nd Dose (%) | ||||
|---|---|---|---|---|---|---|
| VarV | MCV | p * | VarV | MCV | p * | |
| 2009 | 84.8 | 96.3 | <0.01 | 31.8 | 95.5 | <0.01 |
| 2010 | 86.8 | 96.3 | <0.01 | 32.3 | 96.2 | <0.01 |
| 2011 | 88.6 | 97.8 | <0.01 | 48.7 | 96.4 | <0.01 |
| 2012 | 88.5 | 97.4 | <0.01 | - | - | - |
| 2013 | 87.9 | 96.8 | <0.01 | - | - | - |
| Total | 87.4 | 97.0 | <0.01 | 38.0 | 96.0 | <0.01 |
© 2016 by the authors; licensee MDPI, Basel, Switzerland. This article is an open access article distributed under the terms and conditions of the Creative Commons Attribution (CC-BY) license (http://creativecommons.org/licenses/by/4.0/).
Share and Cite
Hu, Y.; Chen, Y.; Zhang, B.; Li, Q. An Evaluation of Voluntary Varicella Vaccination Coverage in Zhejiang Province, East China. Int. J. Environ. Res. Public Health 2016, 13, 560. https://doi.org/10.3390/ijerph13060560
Hu Y, Chen Y, Zhang B, Li Q. An Evaluation of Voluntary Varicella Vaccination Coverage in Zhejiang Province, East China. International Journal of Environmental Research and Public Health. 2016; 13(6):560. https://doi.org/10.3390/ijerph13060560
Chicago/Turabian StyleHu, Yu, Yaping Chen, Bing Zhang, and Qian Li. 2016. "An Evaluation of Voluntary Varicella Vaccination Coverage in Zhejiang Province, East China" International Journal of Environmental Research and Public Health 13, no. 6: 560. https://doi.org/10.3390/ijerph13060560
APA StyleHu, Y., Chen, Y., Zhang, B., & Li, Q. (2016). An Evaluation of Voluntary Varicella Vaccination Coverage in Zhejiang Province, East China. International Journal of Environmental Research and Public Health, 13(6), 560. https://doi.org/10.3390/ijerph13060560
