Enhanced Co-Worker Social Support in Isolated Work Groups and Its Mitigating Role on the Work-Family Conflict-Depression Loss Spiral
Abstract
:1. Introduction
1.1. Social Support and Work-Family Conflict among Remote Workers
1.2. Work-Family Conflict and Mental Health
1.3. The Social Support Buffer Hypothesis
1.4. Aims and Significance
2. Methods
2.1. Procedure and Participants
2.2. Measures
2.3. Data Analyses
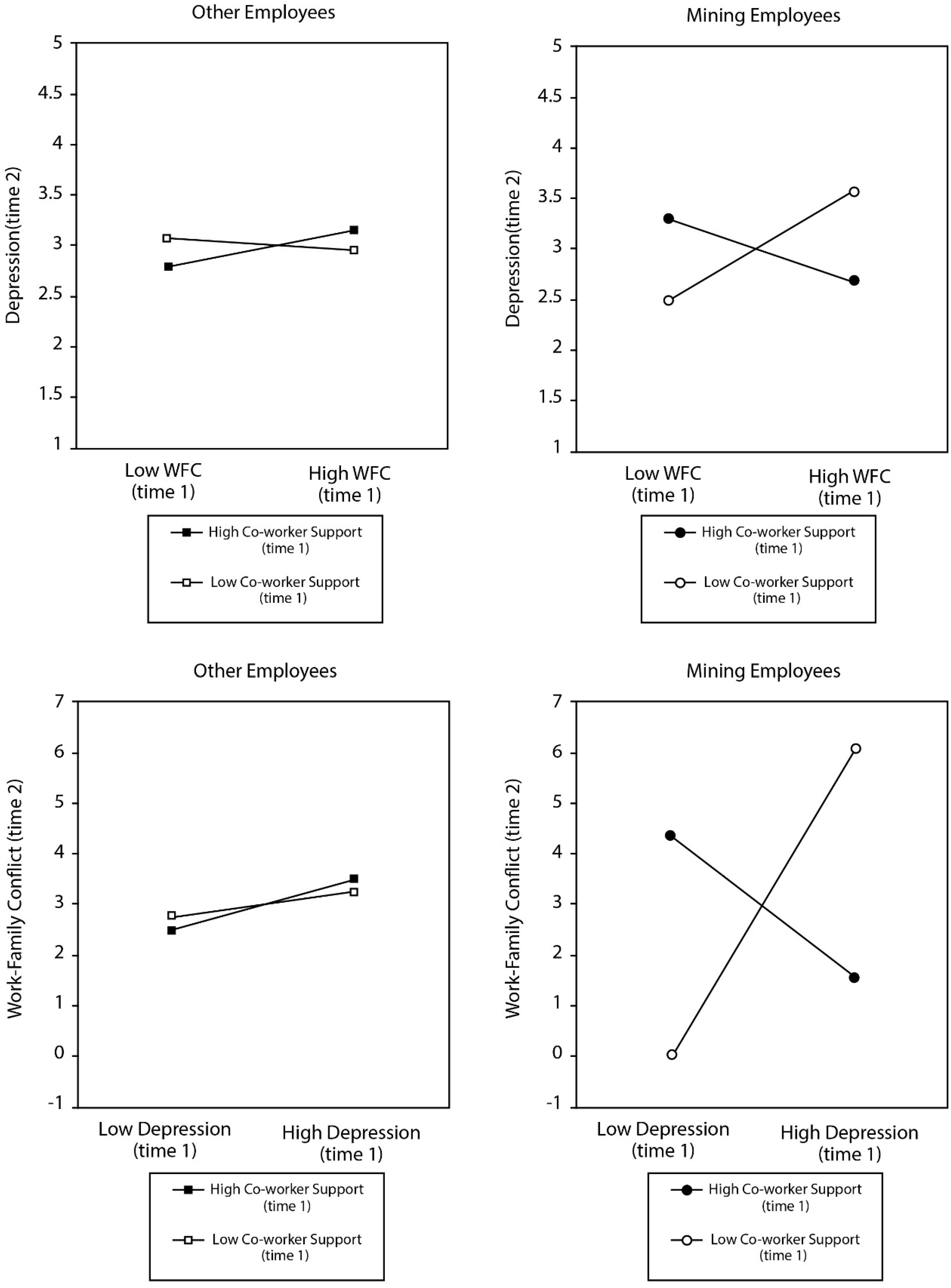
3. Results
3.1. Descriptives
3.2. Analysis
4. Discussion
5. Conclusions
Acknowledgments
Author Contributions
Conflicts of Interest
References
- Walen, H.R.; Lachman, M.E. Social support and strain from partner, family, and friends: Costs and benefits for men and women in adulthood. J. Soc. Pers. Relatsh. 2000, 17, 5–30. [Google Scholar] [CrossRef]
- Cohen, S.; Wills, T.A. Stress, social support, and the buffering hypothesis. Psychol. Bull. 1985, 98, 310–357. [Google Scholar] [CrossRef] [PubMed]
- Karasek, R.A.; Theorell, T. Healthy Work: Stress, Productivity and the Reconstruction of Working Life; Basic Books: New York, NY, USA, 1990. [Google Scholar]
- Bakker, A.B.; Demerouti, E. The job demands-resources model: State of the art. J. Manag. Psychol. 2007, 22, 309–328. [Google Scholar] [CrossRef]
- Pearlin, L.I.; Bierman, A. Current issues and future directions in research into the stress process. In Handbook of the Sociology of Mental Health; Springer: Dordrecht, The Netherlands, 2013; pp. 325–340. [Google Scholar]
- Wheaton, B.; Montazer, S. Stressors, stress, and distress. In A Handbook for the Study of Mental Health: Social Contexts, Theories, and Systems; Scheid, T.L., Brown, T.N., Eds.; Cambridge University Press: Cambridge, UK, 2010; pp. 171–199. [Google Scholar]
- Turner, R.J.; Brown, R.L. Social support and mental health. In A Handbook for the Study of Mental Health: Social Contexts, Theories, and Systems; Scheid, T.L., Brown, T.N., Eds.; Cambridge University Press: Cambridge, UK, 2010; pp. 200–212. [Google Scholar]
- Avison, W.R.; Ali, J.; Walters, D. Family structure, stress, and psychological distress: A demonstration of the impact of differential exposure. J. Health. Soc. Behav. 2007, 48, 301–317. [Google Scholar] [CrossRef] [PubMed]
- McLinton, S.S.; Bailey, T.S. AWB Benchmarks: PSC, demands, resources, health and productivity outcomes. In The Australian Workplace Barometer Project: Psychosocial Safety Climate and Working Conditions in Australia; Dollard, M.F., Bailey, T.S., Eds.; Australian Academic Press: Samford Valley, QLD, Australia, 2014; pp. 77–88. [Google Scholar]
- Frone, M.R.; Russell, M.; Cooper, M.L. Relation of work–family conflict to health outcomes: A four-year longitudinal study of employed parents. J. Occup. Organ. Psychol. 1997, 70, 325–335. [Google Scholar] [CrossRef]
- Kelloway, E.K.; Gottlieb, B.H.; Barham, L. The source, nature, and direction of work and family conflict: A longitudinal investigation. J. Occup. Health Psychol. 1999, 4, 337–346. [Google Scholar] [CrossRef] [PubMed]
- Hammer, L.B.; Cullen, J.C.; Neal, M.B.; Sinclair, R.R.; Shafiro, M.V. The longitudinal effects of work-family conflict and positive spillover on depressive symptoms among dual-earner couples. J. Occup. Health Psychol. 2005, 10, 138–154. [Google Scholar] [CrossRef] [PubMed]
- Grant-Vallone, E.J.; Donaldson, S.I. Consequences of work-family conflict on employee well-being over time. Work. Stress. 2001, 15, 214–226. [Google Scholar] [CrossRef]
- Tone Innstrand, S.; Melbye Langballe, E.; Arild Espnes, G.; Falkum, E.; Gjerløw Aasland, O. Positive and negative work–family interaction and burnout: A longitudinal study of reciprocal relations. Work Stress 2008, 22, 1–15. [Google Scholar] [CrossRef]
- Demerouti, E.; Bakker, A.B.; Bulters, A.J. The loss spiral of work pressure, work-home interference and exhaustion; Reciprocal relations in a three-wave study. J. Vocat. Behav. 2004, 64, 131–149. [Google Scholar] [CrossRef]
- Pearlin, L.I.; Menaghan, E.G.; Lieberman, M.A.; Mullan, J.T. The stress process. J. Health. Soc. Behav. 1981, 22, 337–356. [Google Scholar] [CrossRef] [PubMed]
- Allen, T.D.; Herst, D.E.; Bruck, C.S.; Sutton, M. Consequences associated with work-to-family conflict: A review and agenda for future research. J. Occup. Health Psychol. 1967, 5, 278–308. [Google Scholar] [CrossRef]
- Hobfoll, S.E. Conservation of resources: A new attempt at conceptualizing stress. Am. Psychol. 1989, 44, 513–524. [Google Scholar] [CrossRef] [PubMed]
- Leiter, M.P.; Durup, M.J. Work, home, and in-between: A longitudinal study of spillover. J. Appl. Behav. Sci. 1996, 32, 29–47. [Google Scholar] [CrossRef]
- Frese, M. Social support as a moderator of the relationship between work stressors and psychological dysfunctioning: A longitudinal study with objective measures. J. Occup. Health Psychol. 1999, 4, 179–192. [Google Scholar] [CrossRef] [PubMed]
- Marmaros, D.; Sacerdote, B. How do friendships form? Quart. J. Econ. 2006, 79–119. [Google Scholar]
- Priest, R.F.; Sawyer, J. Proximity and peership: Bases of balance in interpersonal attraction. Am. J. Sociol. 1967, 6, 633–649. [Google Scholar]
- Rubin, Z.; Shenker, S. Friendship, proximity, and self-disclosure. J. Personal. 1978, 46, 1–22. [Google Scholar] [CrossRef]
- Hassan, S.; Salgado, M.; Pavon, J. Friends forever: Social relationships with a fuzzy agent-based model. In Hybrid Artificial Intelligence Systems; Springer: Berlin, Germany, 2008; pp. 523–532. [Google Scholar]
- Turner, J.C.; Hogg, M.A.; Oakes, P.J.; Reicher, S.; Wetherell, M.S. Rediscovering the Social Group: A Self-Categorization Theory; Blackwell: Oxford, UK, 1987. [Google Scholar]
- Hogg, M.A.; Terry, D.I. Social identity and self-categorization processes in organizational contexts. Acad. Manag. Rev. 2000, 25, 121–140. [Google Scholar]
- Wessel, I.; Meeren, M.; Peeters, F.; Arntz, A.; Merckelbach, H. Correlates of autobiographical memory specificity: The role of depression, anxiety and childhood trauma. Behav. Res. Ther. 2001, 39, 409–421. [Google Scholar] [CrossRef]
- Raghunathan, R.; Pham, M.T. All negative moods are not equal: Motivational influences of anxiety and sadness on decision making. Organ. Behav. Hum. Decis. Process. 1999, 79, 56–77. [Google Scholar] [CrossRef] [PubMed]
- Safe Work Australia. Work-Related Traumatic Injury Fatalities; Australian Government-Safe Work Australia: Canberra, ACT, Australia, 2014. Available online: http://www.safeworkaustralia.gov.au/sites/ swa/about/publications/pages/work-related-traumatic-injury-fatalities-australia-2014 (accessed on 10 July 2015).
- LaMontagne, A.D.; Sanderson, K.; Cocker, F. Estimating the Economic Benefits of Eliminating Job Strain as a Risk Factor for Depression; Victorian Heath Promotion Foundation (VicHealth): Melbourne, VIC, Australia. Available online: http://www.vichealth.vic.gov.au/jobstrain (accessed on 15 January 2015).
- McTernan, W.P.; Dollard, M.F.; LaMontagne, A.D. Depression in the workplace: An economic cost analysis of depression-related productivity loss attributable to job strain and bullying. Work. Stress. 2013, 27, 321–338. [Google Scholar] [CrossRef]
- Kroenke, K.; Spitzer, R.L.; Williams, J.B. The PHQ-9. J. Gen. Int. Med. 2001, 16, 606–613. [Google Scholar] [CrossRef]
- Netemeyer, R.G.; Boles, J.S.; McMurrian, R. Development and validation of Work-Family Conflict and Family-Work Conflict scales. J. Appl. Psychol. 1996, 81, 400–410. [Google Scholar] [CrossRef]
- Karasek, R.; Brisson, C.; Kawakami, N.; Houtman, I.; Bongers, P.; Amick, B. The Job Content Questionnaire (JCQ): An instrument for internationally comparative assessments of psychosocial job characteristics. J. Occup. Health Psychol. 1998, 3, 322–355. [Google Scholar] [CrossRef]
- Muthén, L.K.; Muthén, B.O. Mplus User’s Guide; Muthén & Muthén: Los Angeles, CA, USA, 1998. [Google Scholar]
- Little, T.D.; Bovaird, J.A.; Widaman, K.F. On the merits of orthogonalizing powered and product terms: Implications for modeling interactions among latent variables. Struct. Equ. Model. 2006, 13, 497–519. [Google Scholar] [CrossRef]
- Kenny, D.A. Measuring Model Fit. Available online: http://davidakenny.net/cm/fit.htm (accessed on 15 March 2016).
- Greenglass, E.; Fiksenbaum, L.; Burke, R.J. Components of social support, buffering effects and burnout: Implications for psychological functioning. Anxiety Stress Coping 1996, 9, 185–197. [Google Scholar] [CrossRef]
- Terry, D.J.; Nielsen, M.; Perchard, L. Effects of work stress on psychological well-being and job satisfaction: The stress-buffering role of social support. Aust. J. Psychol. 1993, 45, 168–175. [Google Scholar] [CrossRef]
- Dekker, S.W.; Schafeli, W.B. The effects of job insecurity on psychological health and withdrawal: A longitudinal study. Aust. Psychol. 1995, 30, 57–63. [Google Scholar] [CrossRef]
- Ingledew, D.K.; Hardy, L.; Cooper, C.L. Do resources bolster coping and does coping buffer stress? An organizational study with longitudinal aspect and control for negative affectivity. J. Occup. Health Psychol. 1997, 2, 118–133. [Google Scholar] [CrossRef] [PubMed]
- Ystgaard, M.; Tambs, K.; Dalgard, O.S. Life stress, social support and psychological distress in late adolescence: A longitudinal study. Soc. Psychiatry. Psychiatr. Epidemiol. 1999, 34, 12–19. [Google Scholar] [CrossRef] [PubMed]
- Vojnovic, P.; Michelson, G.; Jackson, D.; Bahn, S. Adjustment, well-being and help-seeking: Among Australian FIFO Mining employees. Aust. Bull. Labour. 2014, 40, 242. [Google Scholar]



| Measure | Mean | SD | α |
|---|---|---|---|
| 1. Co-worker support 1 | 9.79 | 1.29 | 0.87 |
| 2. Co-worker support 2 | 9.70 | 1.20 | 0.88 |
| 3. WFC 1 | 14.51 | 6.94 | 0.90 |
| 4. WFC 2 | 14.41 | 6.64 | 0.90 |
| 5. Depression 1 | 3.46 | 3.72 | 0.81 |
| 6. Depression 2 | 3.21 | 3.50 | 0.82 |
| Measure | 1 | 2 | 3 | 4 | 5 |
|---|---|---|---|---|---|
| 1. Co-worker support 1 | − | ||||
| 2. Co-worker support 2 | 0.31 | − | |||
| 3. WFC 1 | −0.06 | NS | − | ||
| 4. WFC 2 | −0.05 | −0.05 | 0.60 | − | |
| 5. Depression 1 | −0.10 | −0.06 | 0.28 | 0.22 | − |
| 6. Depression 2 | −0.08 | −0.08 | 0.21 | 0.28 | 0.53 |
| Model | Main Effects | B | p | x2 | df | p | RMSEA | TLI | CFI |
|---|---|---|---|---|---|---|---|---|---|
| 1. Stability model | 2595.29 | 469 | <0.001 | 0.040 | 0.944 | 0.950 | |||
| 2. Model a | WFC → Depression | 0.01 | <0.001 | ||||||
| Co-worker Support → Depression | −0.02 | ns | |||||||
| Mining → Depression | 0.03 | ns | |||||||
| 2584.35 | 465 | <0.001 | 0.040 | 0.943 | 0.950 | ||||
| 3. Model b | Depression → WFC | 0.18 | 0.02 | ||||||
| Co-worker Support → WFC | −0.01 | ns | |||||||
| Mining → WFC | 0.26 | 0.03 | |||||||
| 2584.14 | 465 | <0.001 | 0.040 | 0.943 | 0.950 | ||||
| 4. Reciprocal model | WFC→ Depression | 0.01 | <0.001 | ||||||
| Co-worker Support → Depression | −0.02 | ns | |||||||
| Mining → Depression | 0.05 | ns | |||||||
| Depression → WFC | 0.17 | 0.02 | |||||||
| CoSupport → WFC | −0.02 | ns | |||||||
| Mining → WFC | 0.29 | 0.02 | |||||||
| 2573.59 | 462 | <0.001 | 0.040 | 0.943 | 0.950 |
© 2016 by the authors; licensee MDPI, Basel, Switzerland. This article is an open access article distributed under the terms and conditions of the Creative Commons by Attribution (CC-BY) license (http://creativecommons.org/licenses/by/4.0/).
Share and Cite
McTernan, W.P.; Dollard, M.F.; Tuckey, M.R.; Vandenberg, R.J. Enhanced Co-Worker Social Support in Isolated Work Groups and Its Mitigating Role on the Work-Family Conflict-Depression Loss Spiral. Int. J. Environ. Res. Public Health 2016, 13, 382. https://doi.org/10.3390/ijerph13040382
McTernan WP, Dollard MF, Tuckey MR, Vandenberg RJ. Enhanced Co-Worker Social Support in Isolated Work Groups and Its Mitigating Role on the Work-Family Conflict-Depression Loss Spiral. International Journal of Environmental Research and Public Health. 2016; 13(4):382. https://doi.org/10.3390/ijerph13040382
Chicago/Turabian StyleMcTernan, Wesley P., Maureen F. Dollard, Michelle R. Tuckey, and Robert J. Vandenberg. 2016. "Enhanced Co-Worker Social Support in Isolated Work Groups and Its Mitigating Role on the Work-Family Conflict-Depression Loss Spiral" International Journal of Environmental Research and Public Health 13, no. 4: 382. https://doi.org/10.3390/ijerph13040382
APA StyleMcTernan, W. P., Dollard, M. F., Tuckey, M. R., & Vandenberg, R. J. (2016). Enhanced Co-Worker Social Support in Isolated Work Groups and Its Mitigating Role on the Work-Family Conflict-Depression Loss Spiral. International Journal of Environmental Research and Public Health, 13(4), 382. https://doi.org/10.3390/ijerph13040382
