Association of Geography and Ambient Air Pollution with Urine Metal Concentrations in Six US Cities: The Multi-Ethnic Study of Atherosclerosis
Abstract
:1. Introduction
2. Materials and Methods
2.1. Study Population
2.2. Statistical Analysis
3. Results
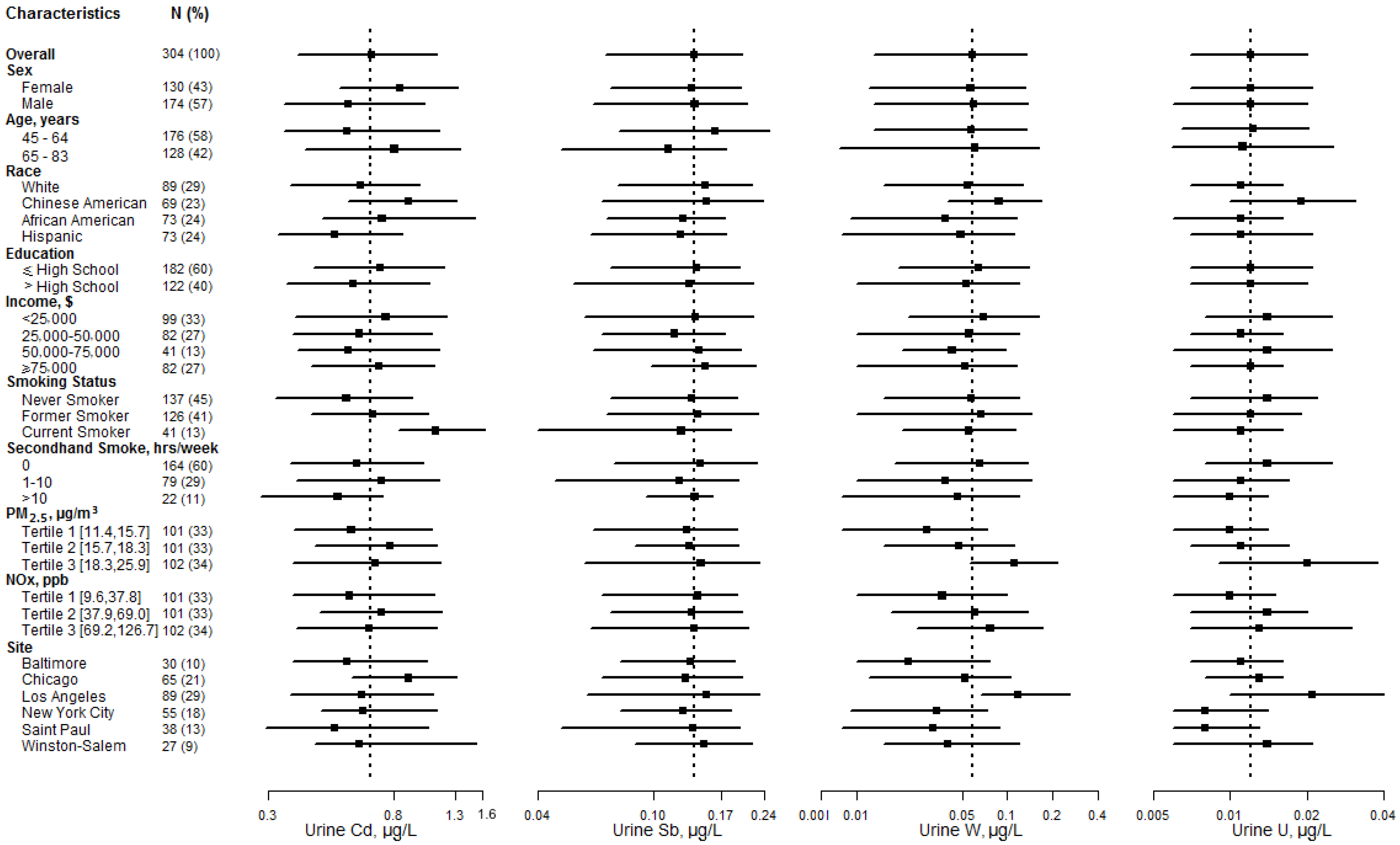
3.1. Metal Levels in Urine
3.2. Urinary Metals and Study Sites
3.3. Urinary Metals and Ambient Air Pollution
4. Discussion
4.1. Cadmium
4.2. Tungsten and Uranium
4.3. Limitations and Strengths
5. Conclusions
Acknowledgments
Author Contributions
Conflicts of Interest
Abbreviations
| BMI | Body Mass Index |
| Egfr | Estimated Glomerular Filtration Rate |
| GM | Geometric Mean |
| LOD | Limit of Detection |
| NOx | Oxides of Nitrogen |
| PM2.5 | Fine Particulate Matter |
Appendix
| Cadmium | Model 1 b | Model 2 c |
|---|---|---|
| Winston-Salem | 1.00 (Reference) | 1.00 (Reference) |
| Baltimore | 0.71 (0.29,1.77) | 0.61 (0.38,0.99) |
| Chicago | 0.80 (0.36,1.79) | 0.82 (0.52,1.30) |
| Los Angeles | 0.90 (0.41,1.98) | 0.81 (0.52,1.26) |
| New York City | 0.91 (0.41,1.98) | 0.73 (0.47,1.15) |
| Saint Paul | 0.88 (0.33,2.35) | 0.80 (0.49,1.32) |
| Study Site | Model 1 a | Model 2 b | Model 3 c | Model 4 d |
|---|---|---|---|---|
| Antimony | ||||
| Winston-Salem | 0.13 (0.07, 0.22) | 0.12 (0.07, 0.21) | 0.12 (0.07, 0.21) | 0.12 (0.06, 0.24) |
| Baltimore | 0.08 (0.06, 0.12) | 0.08 (0.06, 0.12) | 0.09 (0.06, 0.13) | 0.08 (0.06, 0.12) |
| Chicago | 0.11 (0.07, 0.19) | 0.12 (0.07, 0.20) | 0.12 (0.07, 0.21) | 0.12 (0.07, 0.20) |
| Los Angeles | 0.10 (0.07, 0.13) | 0.10 (0.07, 0.13) | 0.09 (0.05, 0.16) | 0.10 (0.07, 0.14) |
| New York City | 0.11 (0.07, 0.16) | 0.11 (0.07, 0.16) | 0.11 (0.07, 0.16) | 0.11 (0.07, 0.17) |
| Saint Paul | 0.11 (0.07, 0.19) | 0.11 (0.07, 0.19) | 0.13 (0.05, 0.30) | 0.11 (0.06, 0.22) |
| Cadmium | ||||
| Winston-Salem | 0.80 (0.54, 1.17) | 0.84 (0.58, 1.23) | 0.86 (0.59, 1.26) | 0.94 (0.59, 1.49) |
| Baltimore | 0.57 (0.39, 0.81) | 0.52 (0.36, 0.74) | 0.55 (0.38, 0.80) | 0.53 (0.37, 0.76) |
| Chicago | 0.62 (0.47, 0.80) | 0.61 (0.47, 0.79) | 0.63 (0.48, 0.83) | 0.62 (0.48, 0.80) |
| Los Angeles | 0.57 (0.46, 0.70) | 0.59 (0.49, 0.73) | 0.51 (0.34, 0.76) | 0.56 (0.44, 0.72) |
| New York City | 0.62 (0.47, 0.80) | 0.63 (0.48, 0.82) | 0.64 (0.50, 0.84) | 0.58 (0.42, 0.80) |
| Saint Paul | 0.64 (0.45, 0.91) | 0.59 (0.43, 0.84) | 0.74 (0.42, 1.30) | 0.67 (0.43, 1.05) |
| Tungsten | ||||
| Winston-Salem | 0.034 (0.018, 0.063) | 0.033 (0.018, 0.064) | 0.036 (0.019, 0.069) | 0.046 (0.021, 0.099) |
| Baltimore | 0.033 (0.018, 0.059) | 0.032 (0.017, 0.058) | 0.039 (0.020, 0.073) | 0.035 (0.019, 0.067) |
| Chicago | 0.034 (0.022, 0.052) | 0.034 (0.022, 0.052) | 0.038 (0.024, 0.060) | 0.035 (0.023, 0.056) |
| Los Angeles | 0.11 (0.077, 0.15) | 0.11 (0.08, 0.16) | 0.066 (0.033, 0.13) | 0.093 (0.061, 0.14) |
| New York City | 0.032 (0.021, 0.050) | 0.033 (0.021, 0.051) | 0.036 (0.023, 0.056) | 0.033 (0.015, 0.045) |
| Saint Paul | 0.024 (0.014, 0.042) | 0.023 (0.013, 0.041) | 0.046 (0.018, 0.12) | 0.033 (0.015, 0.071) |
| Uranium | ||||
| Winston-Salem | 0.013 (0.009, 0.018) | 0.013 (0.010, 0.018) | 0.013 (0.010, 0.019) | 0.014 (0.010, 0.021) |
| Baltimore | 0.012 (0.009, 0.016) | 0.012 (0.009, 0.017) | 0.012 (0.009, 0.017) | 0.013 (0.009, 0.017) |
| Chicago | 0.012 (0.009, 0.015) | 0.012 (0.009, 0.015) | 0.012 (0.009, 0.015) | 0.012 (0.009, 0.015) |
| Los Angeles | 0.019 (0.016, 0.023) | 0.019 (0.016, 0.023) | 0.018 (0.011, 0.026) | 0.018 (0.015, 0.023) |
| New York City | 0.011 (0.009, 0.013) | 0.011 (0.008, 0.013) | 0.011 (0.009, 0.013) | 0.010 (0.008, 0.013) |
| Saint Paul | 0.008 (0.006, 0.011) | 0.009 (0.006, 0.012) | 0.009 (0.006, 0.015) | 0.010 (0.006, 0.014) |
| PM2.5 | N | Model 1 b | Model 2 c | Model 3 d | Model 4 e |
|---|---|---|---|---|---|
| Antimony | |||||
| <15.7 µg/m3 | 101 | 1.00 (Reference) | 1.00 (Reference) | 1.00 (Reference) | 1.00 (Reference) |
| 15.7–18.3 µg/m3 | 101 | 0.93 (0.62, 1.39) | 0.92 (0.62, 1.38) | 0.94 (0.58, 1.54) | 0.68 (0.28, 1.66) |
| ≥18.3 µg/m3 | 102 | 0.98 (0.74, 1.29) | 0.97 (0.73, 1.28) | 1.00 (0.69, 1.46) | 1.03 (0.51, 2.08) |
| Per 5 µg/m3f | 304 | 1.09 (0.74, 1.60) | 1.08 (0.73, 1.59) | 1.09 (0.72, 1.65) | 1.14 (0.72, 1.81) |
| p for trend | 0.63 | 0.63 | 0.61 | 0.69 | |
| Cadmium | |||||
| <15.7 µg/m3 | 101 | 1.00 (Reference) | 1.00 (Reference) | 1.00 (Reference) | 1.00 (Reference) |
| 15.7–18.3 µg/m3 | 101 | 1.01 (0.77, 1.33) | 1.08 (0.83, 1.40) | 1.15 (0.84, 1.58) | 1.47 (0.83, 2.61) |
| ≥18.3 µg/m3 | 102 | 0.97 (0.80, 1.17) | 1.03 (0.86, 1.23) | 1.08 (0.85, 1.38) | 1.08 (0.69, 1.70) |
| Per 5 µg/m3 | 304 | 1.01 (0.77, 1.31) | 1.01 (0.78, 1.30) | 1.04 (0.79, 1.36) | 0.93 (0.69, 1.25) |
| p for trend | 0.95 | 0.54 | 0.37 | 0.29 | |
| Tungsten | |||||
| <15.7 µg/m3 | 101 | 1.00 (Reference) | 1.00 (Reference) | 1.00 (Reference) | 1.00 (Reference) |
| 15.7–18.3 µg/m3 | 101 | 1.70 (1.09, 2.66) | 1.70 (1.09, 2.66) | 1.63 (1.02, 2.61) | 1.72 (1.02, 2.89) |
| ≥18.3 µg/m3 | 102 | 3.54 (2.24, 5.58) | 3.60 (2.27, 5.69) | 3.28 (1.88, 5.73) | 0.85 (0.31, 2.32) |
| Per 5 µg/m3 | 304 | 2.53 (1.84, 3.48) | 2.59 (1.88, 3.56) | 2.74 (1.79, 4.18) | 1.57 (0.71, 3.48) |
| p for trend | <0.001 | <0.001 | <0.001 | 0.90 | |
| Uranium | |||||
| <15.7 µg/m3 | 101 | 1.00 (Reference) | 1.00 (Reference) | 1.00 (Reference) | 1.00 (Reference) |
| 15.7–18.3 µg/m3 | 101 | 1.18 (0.94, 1.48) | 1.18 (0.94, 1.48) | 1.18 (0.93, 1.50) | 1.08 (0.82, 1.40) |
| ≥18.3 µg/m3 | 102 | 1.72 (1.36, 2.17) | 1.70 (1.34, 2.15) | 1.69 (1.27, 2.25) | 0.85 (0.51, 1.42) |
| Per 5 µg/m3 | 304 | 1.51 (1.29, 1.78) | 1.50 (1.28, 1.77) | 1.61 (1.29, 1.99) | 0.98 (0.66, 1.47) |
| p for trend | <0.001 | <0.001 | <0.001 | 0.76 | |
| NOx | N | Model 1 b | Model 2 c | Model 3 d | Model 4 e |
|---|---|---|---|---|---|
| Antimony | |||||
| <37.9 ppb | 101 | 1.00 (Reference) | 1.00 (Reference) | 1.00 (Reference) | 1.00 (Reference) |
| 37.9–69.0 ppb | 101 | 0.95 (0.63, 1.43) | 0.97 (0.64, 1.46) | 1.00 (0.64, 1.56) | 1.19 (0.69, 2.04) |
| ≥69.0 ppb | 102 | 1.04 (0.68, 1.59) | 1.05 (0.68, 1.62) | 1.11 (0.64, 1.93) | 1.36 (0.66, 2.80) |
| Per 45 ppb f | 304 | 0.93 (0.76, 1.13) | 0.98 (0.81, 1.19) | 0.93 (0.72, 1.21) | 1.06 (0.77, 1.46) |
| p for trend | 0.38 | 0.74 | 0.52 | 0.93 | |
| Cadmium | |||||
| <37.9 ppb | 101 | 1.00 (Reference) | 1.00 (Reference) | 1.00 (Reference) | 1.00 (Reference) |
| 37.9–69.0 ppb | 101 | 0.82 (0.62, 1.08) | 0.82 (0.63, 1.07) | 0.78 (0.58, 1.04) | 0.83 (0.59, 1.19) |
| ≥69.0 ppb | 102 | 0.86 (0.64, 1.15) | 0.92 (0.70, 1.22) | 0.84 (0.59, 1.19) | 0.94 (0.59, 1.49) |
| Per 45 ppb | 304 | 0.93 (0.76, 1.13) | 0.98 (0.81, 1.19) | 0.93 (0.72, 1.21) | 1.06 (0.77, 1.46) |
| p for trend | 0.80 | 0.77 | 0.65 | 0.42 | |
| Tungsten | |||||
| <37.9 ppb | 101 | 1.00 (Reference) | 1.00 (Reference) | 1.00 (Reference) | 1.00 (Reference) |
| 37.9–69.0 ppb | 101 | 1.51 (0.94, 2.42) | 1.51 (0.94, 2.44) | 0.95 (0.57, 1.58) | 1.03 (0.76, 1.41) |
| ≥69.0 ppb | 102 | 2.63 (1.59, 4.33) | 2.69 (1.62, 4.46) | 1.13 (0.61, 2.10) | 1.05 (0.69, 1.59) |
| Per 45 ppb | 304 | 1.84 (1.31, 2.59) | 1.87 (1.32, 2.65) | 0.90 (0.57, 1.43) | 1.37 (0.78, 2.40) |
| p for trend | <0.001 | <0.001 | 0.64 | 0.04 | |
| Uranium | |||||
| <37.9 ppb | 101 | 1.00 (Reference) | 1.00 (Reference) | 1.00 (Reference) | 1.00 (Reference) |
| 37.9–69.0 ppb | 101 | 1.15 (0.90, 1.47) | 1.15 (0.90, 1.47) | 0.90 (0.70, 1.17) | 1.03 (0.76, 1.41) |
| ≥69.0 ppb | 102 | 1.33 (1.03, 1.72) | 1.31 (1.01, 1.70) | 0.84 (0.61, 1.15) | 1.05 (0.69, 1.59) |
| Per 45 ppb | 304 | 1.28 (1.07, 1.52) | 1.26 (1.06, 1.51) | 0.90 (0.71, 1.14) | 1.10 (0.82, 1.46) |
| p for trend | 0.026 | 0.038 | 0.30 | 0.68 | |
| Study site | Model 1 a | Model 2 b | Model 3 c | Model 4 d |
|---|---|---|---|---|
| Tungsten | ||||
| Winston-Salem | 0.067 (0.044, 0.10) | 0.065 (0.042, 0.10) | 0.068 (0.044, 0.10) | 0.097 (0.058, 0.16) |
| Baltimore | 0.058 (0.039, 0.086) | 0.057 (0.038, 0.085) | 0.065 (0.042, 0.098) | 0.064 (0.043, 0.095) |
| Chicago | 0.080 (0.060, 0.11) | 0.081 (0.061, 0.11) | 0.088 (0.065, 0.12) | 0.086 (0.065, 0.12) |
| Los Angeles | 0.15 (0.12, 0.19) | 0.15 (0.12, 0.19) | 0.11 (0.068, 0.17) | 0.12 (0.093, 0.16) |
| New York City | 0.071 (0.053, 0.096) | 0.073 (0.054, 0.097) | 0.077 (0.057, 0.10) | 0.054 (0.038, 0.077) |
| Saint Paul | 0.11 (0.073, 0.15) | 0.10 (0.069, 0.15) | 0.16 (0.085, 0.30) | 0.16 (0.096, 0.26) |
| Uranium | ||||
| Winston-Salem | 0.021 (0.016, 0.028) | 0.022 (0.017, 0.030) | 0.022 (0.017, 0.030) | 0.024 (0.017, 0.034) |
| Baltimore | 0.018 (0.014, 0.024) | 0.018 (0.014, 0.024) | 0.018 (0.013, 0.024) | 0.018 (0.014, 0.024) |
| Chicago | 0.017 (0.014, 0.021) | 0.017 (0.014, 0.020) | 0.017 (0.014, 0.020) | 0.017 (0.014, 0.021) |
| Los Angeles | 0.030 (0.025, 0.034) | 0.030 (0.025, 0.034) | 0.031 (0.023, 0.042) | 0.028 (0.024, 0.034) |
| New York City | 0.015 (0.013, 0.018) | 0.015 (0.013, 0.018) | 0.015 (0.012, 0.018) | 0.014 (0.011, 0.018) |
| Saint Paul | 0.020 (0.015, 0.025) | 0.020 (0.015, 0.025) | 0.019 (0.012, 0.028) | 0.021 (0.015, 0.030) |
| PM2.5 | N | Model 1 b | Model 2 c | Model 3 d | Model 4 e |
|---|---|---|---|---|---|
| Tungsten | |||||
| <15.7 µg/m3 | 101 | 1.00 (Reference) | 1.00 (Reference) | 1.00 (Reference) | 1.00 (Reference) |
| 15.7–18.3 µg/m3 | 101 | 1.16 (0.79, 1.70) | 1.16 (0.79, 1.70) | 1.08 (0.71, 1.65) | 1.54 (0.99, 2.39) |
| ≥18.3 µg/m3 | 102 | 2.50 (1.70, 3.67) | 2.58 (1.75, 3.80) | 2.24 (1.39, 3.60) | 1.74 (0.68, 4.40) |
| Per 5 µg/m3f | 304 | 1.87 (1.40, 2.51) | 1.94 (1.44, 2.61) | 1.74 (1.20, 2.54) | 1.63 (0.78, 3.44) |
| p for trend | <0.001 | <0.001 | <0.001 | 0.12 | |
| Uranium | |||||
| <15.7 µg/m3 | 101 | 1.00 (Reference) | 1.00 (Reference) | 1.00 (Reference) | 1.00 (Reference) |
| 15.7–18.3 µg/m3 | 101 | 0.95 (0.72, 1.25) | 0.95 (0.72, 1.26) | 0.99 (0.73, 1.34) | 0.98 (0.73, 1.31) |
| ≥18.3 µg/m3 | 102 | 1.51 (1.11, 2.06) | 1.52 (1.11, 2.08) | 1.64 (1.12, 2.40) | 0.74 (0.41, 1.31) |
| Per 5 µg/m3 | 304 | 1.64 (1.33, 2.01) | 1.67 (1.36, 2.05) | 1.80 (1.39, 2.32) | 0.85 (0.52, 1.37) |
| p for trend | <0.001 | <0.001 | <0.001 | 0.43 | |
| NOx | N | Model 1 b | Model 2 c | Model 3 d | Model 4 e |
|---|---|---|---|---|---|
| Tungsten | |||||
| <37.9 ppb | 101 | 1.00 (Reference) | 1.00 (Reference) | 1.00 (Reference) | 1.00 (Reference) |
| 37.9–69.0 ppb | 101 | 1.11 (0.75, 1.63) | 1.11 (0.76, 1.64) | 0.88 (0.57, 1.35) | 1.14 (0.69, 1.89) |
| ≥69.0 ppb | 102 | 2.02 (1.33, 3.06) | 2.10 (1.38, 3.21) | 1.35 (0.78, 2.32) | 1.73 (0.85, 3.53) |
| Per 45 ppb f | 304 | 1.79 (1.31, 2.45) | 1.85 (1.35, 2.55) | 1.34 (0.88, 2.03) | 1.77 (1.08, 2.88) |
| p for trend | 0.002 | 0.001 | 0.23 | 0.05 | |
| Uranium | |||||
| <37.9 ppb | 101 | 1.00 (Reference) | 1.00 (Reference) | 1.00 (Reference) | 1.00 (Reference) |
| 37.9–69.0 ppb | 101 | 0.37 (0.65, 1.26) | 0.89 (0.64, 1.23) | 0.73 (0.51, 1.04) | 0.88 (0.61, 1.25) |
| ≥69.0 ppb | 102 | 1.18 (0.88, 1.60) | 1.17 (0.86, 1.59) | 0.82 (0.56, 1.20) | 1.01 (0.65, 1.55) |
| Per 45 ppb | 304 | 1.37 (1.09, 1.73) | 1.38 (1.10, 1.74) | 0.99 (0.74, 1.31) | 1.05 (0.76, 1.45) |
| p for trend | 0.015 | 0.016 | 0.97 | 0.62 | |
| Study Site | Model 1 a | Model 2 b | Model 3 c | Model 4 d |
|---|---|---|---|---|
| Antimony | ||||
| Winston-Salem | 0.11 (0.05, 0.25) | 0.10 (0.043, 0.25) | 0.11 (0.05, 0.26) | 0.15 (0.05, 0.38) |
| Baltimore | 0.06 (0.03, 0.15) | 0.06 (0.03, 0.14) | 0.07 (0.03, 0.17) | 0.06 (0.03, 0.15) |
| Chicago | 0.09 (0.05, 0.15) | 0.09 (0.05, 0.15) | 0.10 (0.06, 0.18) | 0.09 (0.06, 0.16) |
| Los Angeles | 0.11 (0.08, 0.16) | 0.11 (0.08, 0.17) | 0.07 (0.03, 0.17) | 0.09 (0.06, 0.15) |
| New York City | 0.09 (0.05, 0.18) | 0.10 (0.05, 0.18) | 0.11 (0.06, 0.21) | 0.07 (0.04, 0.15) |
| Saint Paul | 0.10 (0.05, 0.20) | 0.10 (0.05, 0.19) | 0.20 (0.05, 0.75) | 0.15 (0.06, 0.37) |
| Cadmium | ||||
| Winston-Salem | 0.73 (0.40, 1.31) | 0.72 (0.41, 1.28) | 0.74 (0.41, 1.31) | 0.75 (0.39, 1.42) |
| Baltimore | 0.54 (0.30, 0.98) | 0.46 (0.26, 0.81) | 0.49 (0.27, 0.87) | 0.46 (0.26, 0.81) |
| Chicago | 0.56 (0.40, 0.79) | 0.54 (0.39, 0.76) | 0.58 (0.40, 0.82) | 0.55 (0.39, 0.76) |
| Los Angeles | 0.48 (0.37, 0.63) | 0.51 (0.04, 0.66) | 0.42 (0.24, 0.75) | 0.50 (0.37, 0.68) |
| New York City | 0.45 (0.29, 0.68) | 0.47 (0.32, 0.71) | 0.50 (0.32, 0.76) | 0.46 (0.29, 0.73) |
| Saint Paul | 0.57 (0.35, 0.91) | 0.53 (0.34, 0.84) | 0.71 (0.30, 1.70) | 0.56 (0.31, 1.01) |
| Tungsten | ||||
| Winston-Salem | 0.046 (0.018, 0.12) | 0.047 (0.018, 0.12) | 0.050 (0.019, 0.13) | 0.062 (0.021, 0.18) |
| Baltimore | 0.030 (0.012, 0.077) | 0.029 (0.011, 0.073) | 0.033 (0.013, 0.088) | 0.029 (0.011, 0.076) |
| Chicago | 0.033 (0.019, 0.058) | 0.033 (0.019, 0.057) | 0.038 (0.021, 0.069) | 0.035 (0.020, 0.060) |
| Los Angeles | 0.11 (0.074, 0.17) | 0.11 (0.075, 0.17) | 0.069 (0.027, 0.18) | 0.097 (0.059, 0.16) |
| New York City | 0.027 (0.014, 0.052) | 0.027 (0.014, 0.11) | 0.031 (0.015, 0.063) | 0.022 (0.010, 0.047) |
| Saint Paul | 0.018 (0.008, 0.038) | 0.017 (0.008, 0.037) | 0.037 (0.0090.16) | 0.025 (0.009, 0.067) |
| Uranium | ||||
| Winston-Salem | 0.013 (0.008, 0.021) | 0.013 (0.008, 0.022) | 0.013 (0.008, 0.022) | 0.013 (0.008, 0.024) |
| Baltimore | 0.011 (0.007, 0.019) | 0.011 (0.007, 0.019) | 0.011 (0.007, 0.019) | 0.011 (0.007, 0.019) |
| Chicago | 0.011 (0.009, 0.015) | 0.012 (0.009, 0.015) | 0.011 (0.008, 0.015) | 0.011 (0.009, 0.015) |
| Los Angeles | 0.018 (0.015, 0.022) | 0.018 (0.014, 0.022) | 0.020 (0.012, 0.033) | 0.018 (0.014, 0.023) |
| New York City | 0.011 (0.008, 0.016) | 0.011 (0.008, 0.016) | 0.011 (0.008, 0.016) | 0.011 (0.007, 0.017) |
| Saint Paul | 0.007 (0.005, 0.017) | 0.007 (0.005, 0.011) | 0.006 (0.003, 0.014) | 0.008 (0.005, 0.013) |
| Study site | Model 1 a | Model 2 b | Model 3 c | Model 4 d |
|---|---|---|---|---|
| Antimony | ||||
| Winston-Salem | 0.12 (0.06, 0.26) | 0.11 (0.05, 0.24) | 0.11 (0.05, 0.24) | 0.06 (0.02, 0.17) |
| Baltimore | 0.07 (0.04, 0.15) | 0.07 (0.04, 0.14) | 0.07 (0.04, 0.14) | 0.07 (0.03, 0.13) |
| Chicago | 0.15 (0.07, 0.29) | 0.15 (0.08, 0.30) | 0.14 (0.07, 0.29) | 0.12 (0.06, 0.25) |
| Los Angeles | 0.08 (0.05, 0.14) | 0.08 (0.04, 0.14) | 0.10 (0.04, 0.28) | 0.11 (0.06, 0.24) |
| New York City | 0.12 (0.07, 0.20) | 0.12 (0.07, 0.21) | 0.12 (0.07, 0.20) | 0.19 (0.09, 0.41) |
| Saint Paul | 0.14 (0.06, 0.32) | 0.15 (0.07, 0.36) | 0.11 (0.03, 0.40) | 0.08 (0.02, 0.24) |
| Cadmium | ||||
| Winston-Salem | 0.84 (0.50, 1.39) | 0.91 (0.56, 1.48) | 0.88 (0.54, 1.43) | 0.79 (0.39, 1.60) |
| Baltimore | 0.57 (0.36, 0.90) | 0.54 (0.35, 0.83) | 0.48 (0.30, 0.77) | 0.51 (0.32, 0.82) |
| Chicago | 0.63 (0.40, 0.99) | 0.68 (0.44, 1.05) | 0.66 (0.43, 1.02) | 0.67 (0.43, 1.04) |
| Los Angeles | 0.78 (0.54, 0.89) | 0.82 (0.58, 1.17) | 1.11 (0.59, 2.09) | 0.89 (0.56, 1.42) |
| New York City | 0.82 (0.58, 1.16) | 0.80 (0.58, 1.11) | 0.78 (0.56, 1.08) | 0.88 (0.55, 1.41) |
| Saint Paul | 0.99 (0.58, 1.71) | 0.81 (0.48, 1.39) | 0.58 (0.26, 1.29) | 0.71 (0.33, 1.50) |
| Tungsten | ||||
| Winston-Salem | 0.022 (0.009, 0.054) | 0.023 (0.009, 0.057) | 0.024 (0.009, 0.060) | 0.024 (0.006, 0.089) |
| Baltimore | 0.028 (0.013, 0.062) | 0.028 (0.012, 0.062) | 0.031 (0.013, 0.075) | 0.028 (0.011, 0.069) |
| Chicago | 0.034 (0.015, 0.076) | 0.035 (0.016, 0.079) | 0.036 (.016, 0.082) | 0.035 (0.015, 0.080) |
| Los Angeles | 0.13 (0.007, 0.25) | 0.13 (0.07, 0.25) | 0.098 (0.030, 0.33) | 0.13 (0.005, 0.30) |
| New York City | 0.035 (0.019, 0.065) | 0.035 (0.019, 0.065) | 0.036 (0.019, 0.067) | 0.034 (0.014, 0.083) |
| Saint Paul | 0.045 (0.017, 0.12) | 0.043 (0.016, 0.12) | 0.060 (0.013, 0.27) | 0.045 (0.011, 0.19) |
| Uranium | ||||
| Winston-Salem | 0.014 (0.009, 0.022) | 0.014 (0.009, 0.021) | 0.014 (0.009, 0.022) | 0.015 (0.008, 0.030) |
| Baltimore | 0.012 (0.008, 0.018) | 0.012 (0.008, 0.018) | 0.012 (0.008, 0.019) | 0.013 (0.008, 0.020) |
| Chicago | 0.013 (0.009, 0.020) | 0.013 (0.009, 0.020) | 0.013 (0.009, 0.020) | 0.013 (0.009, 0.020) |
| Los Angeles | 0.023 (0.017, 0.032) | 0.023 (0.017, 0.032) | 0.023 (0.013, 0.041) | 0.021 (0.014, 0.033) |
| New York City | 0.010 (0.007, 0.014) | 0.010 (0.008, 0.014) | 0.010 (0.007, 0.014) | 0.009 (0.006, 0.014) |
| Saint Paul | 0.009 (0.005, 0.014) | 0.009 (0.005, 0.015) | 0.009 (0.004, 0.019) | 0.010 (0.005, 0.020) |
| PM2.5 | N | Model 1 b | Model 2 c | Model 3 d | Model 4 e |
|---|---|---|---|---|---|
| Antimony | |||||
| <15.7 µg/m3 | 58 | 1.00 (Reference) | 1.00 (Reference) | 1.00 (Reference) | 1.00 (Reference) |
| 15.7–18.3 µg/m3 | 52 | 1.45 (0.83, 2.52) | 1.45 (0.83, 2.52) | 1.34 (0.74, 2.42) | 1.56 (0.81, 3.03) |
| ≥18.3 µg/m3 | 64 | 1.28 (0.75, 2.19) | 1.29 (0.75, 2.21) | 1.11 (0.58, 2.15) | 0.36 (0.08, 1.53) |
| Per 5 µg/m3f | 174 | 1.24 (0.86, 1.78) | 1.25 (0.86, 1.80) | 1.14 (0.69, 1.89) | 1.92 (0.65, 5.70) |
| p for trend | 0.56 | 0.54 | 0.98 | 0.43 | |
| Cadmium | |||||
| <15.7 µg/m3 | 58 | 1.00 (Reference) | 1.00 (Reference) | 1.00 (Reference) | 1.00 (Reference) |
| 15.7–18.3 µg/m3 | 52 | 1.17 (0.80, 1.71) | 1.15 (0.80, 1.65) | 1.22 (0.83, 1.80) | 1.15 (0.74, 1.78) |
| ≥18.3 µg/m3 | 64 | 1.02 (0.70, 1.48) | 1.07 (0.75, 1.53) | 1.19 (0.78, 1.83) | 1.48 (0.57, 3.83) |
| Per 5 µg/m3 | 174 | 0.96 (0.75, 1.23) | 1.01 (0.79, 1.28) | 1.10 (0.79, 1.52) | 1.27 (0.62, 2.57) |
| p for trend | 0.93 | 0.79 | 0.54 | 0.29 | |
| Tungsten | |||||
| <15.7 µg/m3 | 58 | 1.00 (Reference) | 1.00 (Reference) | 1.00 (Reference) | 1.00 (Reference) |
| 15.7–18.3 µg/m3 | 52 | 2.07 (1.12, 3.82) | 2.06 (1.12, 3.82) | 1.95 (1.01, 3.76) | 1.78 (0.86, 3.66) |
| ≥18.3 µg/m3 | 64 | 4.49 (2.48, 8.16) | 4.55 (2.49, 8.29) | 4.10 (1.98, 8.50) | 0.46 (0.10, 2.22) |
| Per 5 µg/m3 | 174 | 2.96 (1.99, 4.39) | 3.00 (2.01, 4.48) | 3.36 (1.94, 5.80) | 1.69 (0.52, 5.55) |
| p for trend | <0.001 | <0.001 | <0.001 | 0.6 | |
| Uranium | |||||
| <15.7 µg/m3 | 58 | 1.00 (Reference) | 1.00 (Reference) | 1.00 (Reference) | 1.00 (Reference) |
| 15.7–18.3 µg/m3 | 52 | 1.07 (0.77, 1.49) | 1.07 (0.77, 1.49) | 1.01 (0.71, 1.43) | 0.84 (0.57, 1.23) |
| ≥18.3 µg/m3 | 64 | 1.60 (1.16, 2.20) | 1.59 (1.15, 2.19) | 1.41 (0.96, 2.08) | 0.50 (0.22, 1.16) |
| Per 5 µg/m3 | 174 | 1.53 (1.23, 1.88) | 1.52 (1.23, 1.88) | 1.54 (1.15, 2.07) | 0.90 (0.48, 1.68) |
| p for trend | 0.002 | 0.003 | 0.047 | 0.084 | |
| PM2.5 | N | Model 1 b | Model 2 c | Model 3 d | Model 4 e |
|---|---|---|---|---|---|
| Antimony | |||||
| <15.7 µg/m3 | 43 | 1.00 (Reference) | 1.00 (Reference) | 1.00 (Reference) | 1.00 (Reference) |
| 15.7–18.2 µg/m3 | 49 | 0.83 (0.46, 1.48) | 0.80 (0.44, 1.43) | 0.87 (0.47, 1.64) | 0.92 (0.45, 1.87) |
| ≥18.2 µg/m3 | 38 | 0.69 (0.36, 1.33) | 0.68 (0.35, 1.30) | 0.82 (0.37, 1.85) | 1.00 (0.29, 3.43) |
| Per 5 µg/m3f | 130 | 0.69 (0.43, 1.11) | 0.68 (0.42, 1.09) | 0.75 (0.41, 1.36) | 0.64 (0.23, 1.74) |
| p for trend | 0.32 | 0.28 | 0.72 | 0.95 | |
| Cadmium | |||||
| <15.7 µg/m3 | 43 | 1.00 (Reference) | 1.00 (Reference) | 1.00 (Reference) | 1.00 (Reference) |
| 15.7–18.2 µg/m3 | 49 | 0.73 (0.50, 1.08) | 0.75 (0.52, 1.08) | 0.75 (0.50, 1.11) | 0.61 (0.40, 0.96) |
| ≥18.2 µg/m3 | 38 | 0.93 (0.61, 1.44) | 1.02 (0.68, 1.55) | 1.03 (0.62, 1.70) | 0.95 (0.44, 2.03) |
| Per 5 µg/m3 | 130 | 0.94 (0.68, 1.29) | 1.01 (0.75, 1.37) | 1.02 (0.69, 1.50) | 0.70 (0.37, 1.31) |
| p for trend | 0.99 | 0.65 | 0.59 | 0.68 | |
| Tungsten | |||||
| <15.7 µg/m3 | 43 | 1.00 (Reference) | 1.00 (Reference) | 1.00 (Reference) | 1.00 (Reference) |
| 15.7–18.2 µg/m3 | 49 | 1.31 (0.65, 2.64) | 1.33 (0.66, 2.70) | 1.37 (0.64, 2.92) | 1.81 (0.78, 4.21) |
| ≥18.2 µg/m3 | 38 | 3.09 (1.42, 6.74) | 3.17 (1.44, 6.99) | 3.37 (1.27, 8.90) | 1.18 (0.27, 5.05) |
| Per 5 µg/m3 | 130 | 2.17 (1.23, 3.82) | 2.21 (1.24, 3.94) | 2.34 (1.12, 4.86) | 1.24 (0.37, 4.14) |
| p for trend | 0.009 | 0.008 | 0.034 | 0.89 | |
| Uranium | |||||
| <15.7 µg/m3 | 43 | 1.00 (Reference) | 1.00 (Reference) | 1.00 (Reference) | 1.00 (Reference) |
| 15.7–18.2 µg/m3 | 49 | 1.35 (0.95, 1.90) | 1.34 (0.95, 1.90) | 1.42 (0.98, 2.07) | 1.33 (0.88, 2.02) |
| ≥18.2 µg/m3 | 38 | 1.95 (1.33, 2.87) | 1.92 (1.30, 2.83) | 2.17 (1.34, 3.50) | 1.06 (0.52, 2.19) |
| Per 5 µg/m3 | 130 | 1.59 (1.20, 2.11) | 1.57 (1.18, 2.09) | 1.74 (1.21, 2.49) | 0.97 (0.54, 1.76) |
| p for trend | 0.001 | 0.001 | 0.001 | 0.57 | |
| NOx | N | Model 1 b | Model 2 c | Model 3 d | Model 4 e |
|---|---|---|---|---|---|
| Antimony | |||||
| <37.8 ppb | 62 | 1.00 (Reference) | 1.00 (Reference) | 1.00 (Reference) | 1.00 (Reference) |
| 37.8–69.0 ppb | 59 | 1.21 (0.69, 2.10) | 1.21 (0.69, 2.11) | 1.18 (0.63, 2.18) | 1.64 (0.82, 3.27) |
| ≥69.0 ppb | 53 | 1.63 (0.90, 2.96) | 1.68 (0.92, 3.06) | 1.60 (0.75, 3.44) | 2.65 (1.04, 6.73) |
| Per 45 ppb f | 174 | 1.27 (0.85, 1.89) | 1.29 (0.86, 1.94) | 1.20 (0.68, 2.10) | 1.52 (0.82, 2.83) |
| p for trend | 0.102 | 0.088 | 0.21 | 0.045 | |
| Cadmium | |||||
| <37.8 ppb | 62 | 1.00 (Reference) | 1.00 (Reference) | 1.00 (Reference) | 1.00 (Reference) |
| 37.8–69.0 ppb | 59 | 0.87 (0.59, 1.27) | 0.86 (0.60, 1.24) | 0.82 (0.55, 1.23) | 0.93 (0.59, 1.47) |
| ≥69.0 ppb | 53 | 0.82 (0.54, 1.23) | 0.90 (0.61, 1.33) | 0.82 (0.50, 1.35) | 1.02 (0.55, 1.88) |
| Per 45 ppb | 174 | 0.86 (0.65, 1.13) | 0.93 (0.72, 1.22) | 0.86 (0.59, 1.24) | 1.01 (0.67, 1.52) |
| p for trend | 0.32 | 0.61 | 0.46 | 0.99 | |
| Tungsten | |||||
| <37.8 ppb | 62 | 1.00 (Reference) | 1.00 (Reference) | 1.00 (Reference) | 1.00 (Reference) |
| 37.8–69.0 ppb | 59 | 1.55 (0.82, 2.95) | 1.55 (0.81, 2.96) | 0.83 (0.42, 1.64) | 1.44 (0.68, 3.07) |
| ≥69.0 ppb | 53 | 3.05 (1.54, 6.06) | 3.13 (1.56, 6.28) | 1.03 (0.45, 2.39) | 2.42 (0.87, 6.70) |
| Per 45 ppb | 174 | 2.19 (1.39, 3.45) | 2.24 (1.41, 3.56) | 0.92 (0.50, 1.71) | 1.60 (0.81, 3.15) |
| p for trend | 0.001 | 0.001 | 0.82 | 0.081 | |
| Uranium | |||||
| <37.8 ppb | 62 | 1.00 (Reference) | 1.00 (Reference) | 1.00 (Reference) | 1.00 (Reference) |
| 37.8–69.0 ppb | 59 | 1.17 (0.84, 1.64) | 1.17 (0.84, 1.64) | 0.92 (0.64, 1.32) | 0.98 (0.65, 1.47) |
| ≥69.0 ppb | 53 | 1.51 (1.05, 2.16) | 1.49 (1.03, 2.14) | 0.96 (0.61, 1.50) | 1.03 (0.59, 1.77) |
| Per 45 ppb | 174 | 1.42 (1.13, 1.80) | 1.41 (1.11, 1.80) | 1.05 (0.76, 1.46) | 1.14 (0.80, 1.63) |
| p for trend | 0.018 | 0.024 | 0.99 | 0.78 | |
| NOx | N | Model 1 b | Model 2 c | Model 3 d | Model 4 e |
|---|---|---|---|---|---|
| Antimony | |||||
| <37.9 ppb | 39 | 1.00 (Reference) | 1.00 (Reference) | 1.00 (Reference) | 1.00 (Reference) |
| 37.9–68.5 ppb | 42 | 0.79 (0.41, 1.52) | 0.82 (0.42, 1.59) | 0.90 (0.45, 1.80) | 0.76 (0.28, 2.04) |
| ≥69.0 ppb | 49 | 0.65 (0.34, 1.24) | 0.66 (0.34, 1.29) | 0.84 (0.37, 1.93) | 0.51 (0.14, 1.78) |
| Per 45 ppb f | 130 | 0.67 (0.43, 1.05) | 0.69 (0.44, 1.08) | 0.77 (0.42, 1.42) | 0.36 (0.14, 0.92) |
| p for trend | 0.21 | 0.23 | 0.68 | 0.27 | |
| Cadmium | |||||
| <37.9 ppb | 39 | 1.00 (Reference) | 1.00 (Reference) | 1.00 (Reference) | 1.00 (Reference) |
| 37.9–68.5 ppb | 42 | 0.71 (0.46, 1.10) | 0.71 (0.47, 1.07) | 0.69 (0.45, 1.07) | 0.57 (0.30, 1.05) |
| ≥69.0 ppb | 49 | 0.84 (0.55, 1.30) | 0.87 (0.57, 1.32) | 0.82 (0.49, 1.39) | 0.51 (0.23, 1.12) |
| Per 45 ppb | 130 | 1.01 (0.74, 1.36) | 1.02 (0.76, 1.36) | 1.02 (0.69, 1.51) | 0.82 (0.45, 1.50) |
| p for trend | 0.65 | 0.81 | 0.72 | 0.24 | |
| Tungsten | |||||
| <37.9 ppb | 39 | 1.00 (Reference) | 1.00 (Reference) | 1.00 (Reference) | 1.00 (Reference) |
| 37.9-68.5 ppb | 42 | 1.44 (0.65, 3.20) | 1.42 (0.63, 3.21) | 1.12 (0.48, 2.58) | 1.83 (0.56, 5.94) |
| ≥69.0 ppb | 49 | 2.07 (0.93, 4.59) | 2.05 (0.91, 4.65) | 1.12 (0.41, 3.07) | 1.91 (0.43, 8.59) |
| Per 45 ppb | 130 | 1.47 (0.85, 2.56) | 1.45 (0.83, 2.55) | 0.80 (0.38, 1.69) | 0.77 (0.25, 2.40) |
| p for trend | 0.066 | 0.072 | 0.64 | 0.67 | |
| Uranium | |||||
| <37.9 ppb | 39 | 1.00 (Reference) | 1.00 (Reference) | 1.00 (Reference) | 1.00 (Reference) |
| 37.9–68.5 ppb | 42 | 1.18 (0.79, 1.77) | 1.18 (0.78, 1.78) | 0.97 (0.64, 1.46) | 1.24 (0.69, 2.22) |
| ≥69.0 ppb | 49 | 1.22 (0.81, 1.82) | 1.20 (0.79, 1.81) | 0.73 (0.45, 1.20) | 1.06 (0.51, 2.23) |
| Per 45 ppb | 130 | 1.15 (0.87, 1.52) | 1.14 (0.86, 1.51) | 0.76 (0.53, 1.08) | 0.95 (0.54, 1.66) |
| p for trend | 0.4 | 0.47 | 0.14 | 0.89 | |
| NOx | N | Model 1 b | Model 2 c | Model 3 d | Model 4 e |
|---|---|---|---|---|---|
| Antimony | |||||
| <37.9 ppb | 101 | 1.00 (Reference) | 1.00 (Reference) | 1.00 (Reference) | 1.00 (Reference) |
| 37.9–69.0 ppb | 101 | 0.95 (0.63, 1.42) | 0.97 (0.64, 1.45) | 1.00 (0.64, 1.56) | 1.19 (0.69, 2.04) |
| ≥69.0 ppb | 102 | 1.04 (0.68, 1.59) | 1.05 (0.68, 1.62) | 1.11 (0.64, 1.93) | 1.36 (0.66, 2.79) |
| Per 45 ppb f | 304 | 0.94 (0.71, 1.26) | 0.94 (0.70, 1.27) | 0.92 (0.62, 1.38) | 0.95 (0.58, 1.56) |
| p for trend | 0.82 | 0.79 | 0.66 | 0.42 | |
| Cadmium | |||||
| <37.9 ppb | 101 | 1.00 (Reference) | 1.00 (Reference) | 1.00 (Reference) | 1.00 (Reference) |
| 37.9–69.0 ppb | 101 | 0.82 (0.62, 1.08) | 0.82 (0.63, 1.06) | 0.78 (0.58, 1.04) | 0.83 (0.59, 1.18) |
| ≥69.0 ppb | 102 | 0.86 (0.64, 1.14) | 0.92 (0.70, 1.22) | 0.84 (0.59, 1.20) | 0.93 (0.59, 1.48) |
| Per 45 ppb | 304 | 0.93 (0.76, 1.13) | 0.98 (0.81, 1.19) | 0.93 (0.72, 1.21) | 1.06 (0.77, 1.46) |
| p for trend | 0.38 | 0.74 | 0.52 | 0.99 | |
| Tungsten | |||||
| <37.9 ppb | 101 | 1.00 (Reference) | 1.00 (Reference) | 1.00 (Reference) | 1.00 (Reference) |
| 37.9–69.0 ppb | 101 | 1.48 (0.92, 2.38) | 1.49 (0.92, 2.40) | 0.94 (0.57, 1.57) | 1.51 (0.82, 2.78) |
| ≥69.0 ppb | 102 | 2.61 (1.58, 4.32) | 2.69 (1.62, 4.48) | 1.15 (0.62, 2.15) | 2.40 (1.07, 5.41) |
| Per 45 ppb | 304 | 1.84 (1.31, 2.59) | 1.87 (1.32, 2.65) | 0.90 (0.57, 1.43) | 1.37 (0.78, 2.40) |
| p for trend | <0.001 | <0.001 | 0.56 | 0.036 | |
| Uranium | |||||
| <37.9 ppb | 101 | 1.00 (Reference) | 1.00 (Reference) | 1.00 (Reference) | 1.00 (Reference) |
| 37.9–69.0 ppb | 101 | 1.15 (0.90, 1.47) | 1.15 (0.90, 1.47) | 0.90 (0.70, 1.17) | 1.03 (0.76, 1.41) |
| ≥69.0 ppb | 102 | 1.33 (1.03, 1.72) | 1.31 (1.01, 1.70) | 0.84 (0.61, 1.15) | 1.05 (0.69, 1.58) |
| Per 45 ppb | 304 | 1.28 (1.07, 1.52) | 1.26 (1.06, 1.51) | 0.90 (0.71, 1.14) | 1.10 (0.82, 1.46) |
| p for trend | 0.031 | 0.044 | 0.30 | 0.85 | |
References
- Hu, H. Exposure to metals. Prim. Care 2000, 2, 983–996. [Google Scholar] [CrossRef]
- Navas-Acien, A.; Silbergeld, E.K.; Sharrett, R.; Calderon-Aranda, E.; Selvin, E.; Guallar, E. Metals in urine and peripheral arterial disease. Environ. Health Perspect. 2005, 113, 164–169. [Google Scholar] [CrossRef] [PubMed]
- Navas-Acien, A.; Guallar, E.; Silbergeld, E.K.; Rothenberg, S.J. Lead exposure and cardiovascular disease—A systematic review. Environ. Health Perspect. 2007, 115, 472–482. [Google Scholar] [CrossRef] [PubMed]
- Tellez-Plaza, M.; Navas-Acien, A.; Menke, A.; Crainiceanu, C.M.; Pastor-Barriuso, R.; Guallar, E. Cadmium exposure and all-cause and cardiovascular mortality in the U.S. general population. Environ. Health Perspect. 2012, 120, 1017–1022. [Google Scholar] [CrossRef] [PubMed]
- Sponder, M.; Fritzer-Szekeres, M.; Marculescu, R.; Mittlböck, M.; Uhl, M.; Köhler-Vallant, B.; Strametz-Juranek, J. Blood and urine levels of heavy metal pollutants in female and male patients with coronary artery disease. Vasc. Health Risk Manag. 2014, 10, 311–317. [Google Scholar] [CrossRef] [PubMed]
- Agarwal, S.; Zaman, T.; Tuzcu, E.M.; Kapadia, S.R. Heavy metals and cardiovascular disease: Results from the National Health and Nutrition Examination Survey (NHANES) 1999–2006. Angiology 2011, 62, 422–429. [Google Scholar] [CrossRef] [PubMed]
- Menke, A.; Guallar, E.; Cowie, C.C. Metals in Urine and Diabetes in U.S. Adults. Diabetes 2016, 65, 164–171. [Google Scholar] [PubMed]
- Craft, E.; Abu-Qare, A.; Flaherty, M.; Garofolo, M.; Rincavage, H.; Abou-Donia, M. Depleted and natural uranium: Chemistry and toxicological effects. J. Toxicol. Environ. Health B Crit. Rev. 2004, 7, 297–317. [Google Scholar] [CrossRef] [PubMed]
- Brugge, D.; Buchner, V. Health effects of uranium: New research findings. Rev. Environ. Health 2011, 26, 231–249. [Google Scholar] [CrossRef] [PubMed]
- ATSDR (Agency for Toxic Substances and Disease Registry). Toxicological Profile for Antimony; U.S. Department of Health and Human Services, Public Health Service: Atlanta, GA, USA, 1992.
- ATSDR (Agency for Toxic Substances and Disease Registry). Toxicological Profile for Tungsten; U.S. Department of Health and Human Services, Public Health Service: Atlanta, GA, USA, 2005.
- ATSDR (Agency for Toxic Substances and Disease Registry). Toxicological Profile for Cadmium; U.S. Department of Health and Human Services, Public Health Service: Atlanta, GA, USA, 2012.
- ATSDR (Agency for Toxic Substances and Disease Registry). Toxicological Profile for Uranium; U.S. Department of Health and Human Services, Public Health Service: Atlanta, GA, USA, 2013.
- Tellez-Plaza, M.; Navas-Acien, A.; Caldwell, K.L.; Menke, A.; Muntner, P.; Guallar, E. Reduction in cadmium exposure in the United States population, 1988–2008: The contribution of declining smoking rates. Environ. Health Perspect. 2012, 120, 204–209. [Google Scholar] [CrossRef] [PubMed]
- CDC (Centers for Disease Control and Prevention). State-specific prevalence of current cigarette smoking among adults, and policies and attitudes about secondhand smoke—United States, 2000. MMWR Morb. Mortal. Wkly. Rep. 2001, 50, 1101–1106. [Google Scholar]
- EPA (Environmental Protection Agency). Environmental Radiation Data; Report 92; Agency USEP: Washington, DC, USA, 1997. Available online: http://www.epa.gov/narel/radnet/erd/erd92.pdf (accessed on 15 April 2015).
- EPA (Environmental Protection Agency). Emerging Contaminant-Tungsten, 2008. Available online: https://clu-in.org/download/contaminantfocus/epa505f09007.pdf (accessed on 15 April 2015).
- EPA (Environmental Protection Agency). Technical Fact Sheet-Tungsten, 2014. Available online: http://www2.epa.gov/sites/production/files/2014-03/documents/ffrrofactsheet_contaminant_tungsten_january2014_final.pdf (accessed on 15 April 2015).
- Belova, A.; Greco, S.L.; Riederer, A.M.; Olsho, L.E.; Corrales, M.A. A method to screen U.S. environmental biomonitoring data for race/ethnicity and income-related disparity. Environ. Health 2013, 12. [Google Scholar] [CrossRef] [PubMed]
- Riederer, A.M.; Belova, A.; George, B.J.; Anastas, P.T. Urinary cadmium in the 1999–2008 U.S. National Health and Nutrition Examination Survey (NHANES). Environ. Sci. Technol. 2013, 47, 1137–1147. [Google Scholar] [CrossRef] [PubMed]
- Brook, R.D.; Rajagopalan, S.; Pope, C.A., 3rd; Brook, J.R.; Bhatnagar, A.; Diez-Roux, A.V.; Holguin, F.; Hong, Y.; Luepker, R.V.; Mittleman, M.A.; et al. Particulate matter air pollution and cardiovascular disease: An update to the scientific statement from the American Heart Association. Circulation 2010, 121, 2331–2378. [Google Scholar] [CrossRef] [PubMed]
- Health Effects Institute. Traffic Related Air Pollution: A Critical Review of the Literature on Emissions, Exposure, and Health Effects; Health Effects Institute: Boston, MA, USA, 2010; Available online: http://pubs.healtheffects.org/getfile.php?u=553 (accessed on 15 April 2015).
- Wilhelm, M.; Eberwein, G.; Holzer, J.; Begerow, J.; Sugiri, D.; Gladtke, D.; Ranft, U. Human biomonitoring of cadmium and lead exposure of child-mother pairs from Germany living in the vicinity of industrial sources (hot spot study NRW). J. Trace Elem. Med. Biol. 2005, 19, 83–90. [Google Scholar] [CrossRef] [PubMed]
- Yu, R.C.; Sherwood, R.J. The relationships between urinary elimination, airborne concentration, and radioactive hand contamination for workers exposed to uranium. Am. Ind. Hyg. Assoc. J. 1996, 57, 615–620. [Google Scholar] [CrossRef] [PubMed]
- CDC (Centers for Disease Control and Prevention). State smoke-free laws for worksites, restaurants, and bars—United States, 2000–2010. MMWR Morb. Mortal. Wkly. Rep. 2011, 60, 472–475. [Google Scholar]
- Bild, D.E.; Bluemke, D.A.; Burke, G.L.; Detrano, R.; Diez Roux, A.V.; Folsom, A.R.; Greenland, P.; Jacob, D.R., Jr.; Kronmal, R.; Liu, K.; et al. Multi-Ethnic Study of Atherosclerosis: Objectives and design. Am. J. Epidemiol. 2002, 156, 871–881. [Google Scholar] [CrossRef] [PubMed]
- Scheer, J.; Findenig, S.; Goessler, W.; Francesconi, K.A.; Howard, B.; Umans, J.G.; Pollak, J.; Tellez-Plaza, M.; Silbergeld, E.K.; Guallar, E.; et al. Arsenic species and selected metals in human urine: Validation of HPLC/ICPMS and ICPMS procedures for a long-term population-based epidemiological study. Anal. Methods 2012, 4, 406–413. [Google Scholar] [CrossRef] [PubMed]
- Suwazono, Y.; Akesson, A.; Alfven, T.; Jarup, L.; Vahter, M. Creatinine versus specific gravity-adjusted urinary cadmium concentrations. Biomarkers 2005, 10, 117–126. [Google Scholar] [CrossRef] [PubMed]
- Levey, A.S.; Stevens, L.A.; Schmid, C.H.; Zhang, Y.L.; Castro, A.F., 3rd; Feldman, H.I.; Kusek, J.W.; Eggers, P.; Van Lente, F.; Greene, T.; et al. A new equation to estimate glomerular filtration rate. Ann. Intern. Med. 2009, 150, 604–612. [Google Scholar] [CrossRef] [PubMed]
- Kaufman, J.D.; Adar, S.D.; Allen, R.W.; Barr, R.G.; Budoff, M.J.; Burke, G.L.; Casillas, A.M.; Cohen, M.A.; Curl, C.L.; Daviglus, M.L.; et al. Prospective study of particulate air pollution exposures, subclinical atherosclerosis, and clinical cardiovascular disease: The Multi-Ethnic Study of Atherosclerosis and Air Pollution (MESA Air). Am. J. Epidemiol. 2012, 176, 825–837. [Google Scholar] [CrossRef] [PubMed]
- Szpiro, A.A.; Lumley, T.; Sampson, P.D.; Adar, S.D.; Sheppard, L.; Kaufman, J. Predicting intra-urban variation in air pollution concentrations with complex spatio-temporal dependencies. Environmetrics 2010, 21, 606–631. [Google Scholar] [CrossRef] [PubMed]
- Sampson, P.D.; Lindstom, J.; Szpiro, A.A.; Sheppard, L.; Kaufman, J.D. Pragmatic estimation of a spatio-temporal air quality model with irregular monitoring data. Atmos. Environ. 2011, 45, 6593–6606. [Google Scholar] [CrossRef]
- Cohen, M.A.; Adar, S.D.; Allen, R.W.; Avol, E.; Curl, C.L.; Gould, T.; Hardie, D.; Ho, A.; Kinney, P.; Larson, T.V.; et al. Approach to estimating participant pollutant exposures in the Multi-Ethnic Study of Atherosclerosis and Air Pollution (MESA Air). Environ. Sci. Technol. 2009, 43, 4687–4693. [Google Scholar] [CrossRef] [PubMed]
- Nettleton, J.A.; Steffen, L.M.; Mayer-Davis, E.J.; Jenny, N.S.; Jiang, R.; Herrington, D.M.; Jacobs, D.R., Jr. Dietary patterns are associated with biochemical markers of inflammation and endothelial activation in the Multi-Ethnic Study of Atherosclerosis (MESA). Am. J. Clin. Nutr. 2006, 83, 1369–1379. [Google Scholar] [PubMed]
- FDA (Food and Drug Administration). Total Diet Study; Food and Drug Administration: Hyattsville, MD, USA, 2010. Available online: http://www.cfsan.fda.gov/~comm/tdstoc.html (accessed on 15 April 2015).
- Quraishi, S.M.; Adams, S.V.; Shafer, M.; Meliker, J.R.; Li, W.; Luo, J.; Neuhouser, M.L.; Newcomb, P.A. Urinary cadmium and estimated dietary cadmium in the Women’s Health Initiative. J. Expo. Sci. Environ. Epidemiol. 2015, 5. [Google Scholar] [CrossRef] [PubMed]
- Royston, P. Multiple imputation of missing values. Stata J. 2004, 4, 227–241. [Google Scholar]
- USGS (US Geological Survey). Geochemical and Mineralogical Maps for Soils of the Conterminous United States: U.S. Geological Survey Open-File Report 2014; U.S. Geological Survey: Denver, CO, USA, 2014; Available online: http://dx.doi.org/10.3133/ofr20141082 (accessed on 15 April 2015).
- Sauve, J.F.; Levesque, M.; Huard, M.; Drolet, D.; Lavoue, J.; Tardif, R.; Truchon, G. Creatinine and specific gravity normalization in biological monitoring of occupational exposures. J. Occup. Environ. Hyg. 2015, 12, 123–129. [Google Scholar] [CrossRef] [PubMed]
- Gunier, R.B.; Horn-Ross, P.L.; Canchola, A.J.; Duffy, C.N.; Reynolds, P.; Hertz, A.; Garcia, E.; Rull, R.P. Determinants and within-person variability of urinary cadmium concentrations among women in northern California. Environ. Health Perspect. 2013, 121, 643–649. [Google Scholar] [CrossRef] [PubMed]

| No. of Participants | Baltimore | Chicago | Los Angeles | New York City | Saint Paul | Winston-Salem |
|---|---|---|---|---|---|---|
| 30 | 65 | 89 | 55 | 38 | 27 | |
| Sex, % | ||||||
| Men | 60.0 | 67.7 | 66.7 | 41.8 | 62.5 | 40.0 |
| Women | 40.0 | 32.3 | 33.3 | 58.2 | 37.5 | 60.0 |
| Age, y, mean (SD) | 60.2 (9.9) | 61.8 (9.6) | 62.4 (10.1) | 63.4 (8.6) | 58.5 (8.6) | 58.6 (9.4) |
| Race, % | ||||||
| White | 50.0 | 23.1 | 16.7 | 27.3 | 37.5 | 50.0 |
| Chinese American | -- | 53.8 | 38.8 | -- | -- | -- |
| African American | 50.0 | 23.1 | 16.7 | 27.3 | -- | 50.0 |
| Hispanic | -- | -- | 27.8 | 45.4 | 62.5 | -- |
| Education, % | ||||||
| ≤High School | 46.7 | 50.8 | 65.2 | 69.1 | 65.8 | 51.9 |
| >High School | 53.3 | 49.2 | 34.8 | 30.9 | 34.2 | 48.1 |
| Family income, % | ||||||
| <$25,000 | 30.0 | 23.1 | 47.8 | 38.2 | 22.5 | 13.3 |
| $25,000–50,000 | 23.3 | 21.5 | 26.7 | 30.9 | 37.5 | 23.3 |
| $50,000–75,000 | 13.3 | 6.2 | 6.7 | 14.5 | 25.0 | 30.0 |
| ≥$75,000 | 33.4 | 49.2 | 18.8 | 16.4 | 15.0 | 33.4 |
| BMI, kg/m2, mean (SD) | 28.4 (4.8) | 24.8 (4.6) | 26.5 (4.6) | 29.3 (5.5) | 29.6 (5.4) | 28.4 (6.3) |
| Smoking, % | ||||||
| Never Smoker | 40.0 | 52.3 | 51.1 | 47.3 | 22.5 | 43.3 |
| Former Smoker | 33.3 | 32.3 | 38.9 | 40.0 | 60.0 | 53.3 |
| Current Smoker | 26.7 | 15.4 | 10.0 | 12.7 | 17.5 | 3.4 |
| Secondhand smoke, % | ||||||
| 0 h/week | 50.0 | 51.8 | 83.3 | 61.2 | 44.1 | 53.9 |
| 1–10 h/week | 45.5 | 35.7 | 14.1 | 32.7 | 38.2 | 34.6 |
| >10 h/week | 4.5 | 12.5 | 2.6 | 6.1 | 17.7 | 11.5 |
| Air pollution exposure, GM (95% CI) | ||||||
| PM2.5 concentration, µg/m3 | 15.7 (14.0, 17.4) | 16.2 (13.7, 18.8) | 21.3 (19.0, 23.6) | 16.5 (13.3, 19.7) | 12.9 (11.6, 14.2) | 16.5 (15.2, 17.9) |
| NOx concentration, ppb | 39.6 (17.0, 62.2) | 42.4 (21.4, 63.5) | 75.6 (28.1, 123.1) | 80.9 (55.0, 106.7) | 23.2 (13.6, 32.8) | 24.7 (7.7, 41.7) |
| Study Site | Model 1 a | Model 2 b | Model 3 c | Model 4 d |
|---|---|---|---|---|
| Antimony | ||||
| Winston-Salem | 0.13 (0.07, 0.22) | 0.12 (0.07, 0.21) | 0.12 (0.07, 0.21) | 0.12 (0.06, 0.24) |
| Baltimore | 0.08 (0.06, 0.12) | 0.08 (0.06, 0.12) | 0.08 (0.06, 0.13) | 0.08 (0.06, 0.12) |
| Chicago | 0.11 (0.07, 0.19) | 0.12 (0.07, 0.20) | 0.12 (0.07, 0.21) | 0.12 (0.07, 0.20) |
| Los Angeles | 0.10 (0.07, 0.13) | 0.10 (0.07, 0.13) | 0.09 (0.05, 0.16) | 0.10 (0.07, 0.14) |
| New York City | 0.11 (0.07, 0.16) | 0.11 (0.07, 0.16) | 0.11 (0.07, 0.16) | 0.11 (0.07, 0.17) |
| Saint Paul | 0.11 (0.07, 0.19) | 0.11 (0.07, 0.19) | 0.13 (0.06, 0.30) | 0.11 (0.06, 0.22) |
| Cadmium | ||||
| Winston-Salem | 0.79 (0.54, 1.16) | 0.84 (0.57, 1.22) | 0.85 (0.58, 1.25) | 0.92 (0.59, 1.46) |
| Baltimore | 0.56 (0.39, 0.80) | 0.51 (0.36, 0.72) | 0.54 (0.37, 0.78) | 0.53 (0.37, 0.75) |
| Chicago | 0.61 (0.47, 0.79) | 0.60 (0.47, 0.78) | 0.62 (0.48, 0.82) | 0.61 (0.47, 0.79) |
| Los Angeles | 0.61 (0.47, 0.79) | 0.60 (0.49, 0.73) | 0.51 (0.34, 0.77) | 0.56 (0.44, 0.72) |
| New York City | 0.62 (0.47, 0.81) | 0.63 (0.49, 0.82) | 0.65 (0.50, 0.85) | 0.59 (0.43, 0.81) |
| Saint Paul | 0.66 (0.47, 0.93) | 0.61 (0.44, 0.85) | 0.74 (0.42, 1.31) | 0.68 (0.44, 1.07) |
| Tungsten | ||||
| Winston-Salem | 0.032 (0.017, 0.061) | 0.032 (0.017, 0.061) | 0.034 (0.018, 0.065) | 0.043 (0.020, 0.094) |
| Baltimore | 0.031 (0.017, 0.057) | 0.030 (0.017, 0.055) | 0.036 (0.019, 0.068) | 0.033 (0.018, 0.061) |
| Chicago | 0.032 (0.021, 0.050) | 0.033 (0.021, 0.050) | 0.036 (0.023, 0.057) | 0.034 (0.022, 0.053) |
| Los Angeles | 0.11 (0.078, 0.16) | 0.11 (0.079, 0.16) | 0.070 (0.035, 0.14) | 0.096 (0.063, 0.15) |
| New York City | 0.033 (0.021, 0.051) | 0.033 (0.021, 0.052) | 0.036 (0.023, 0.057) | 0.027 (0.016, 0.047) |
| Saint Paul | 0.026 (0.015, 0.046) | 0.025 (0.014, 0.044) | 0.047 (0.018, 0.12) | 0.035 (0.016, 0.074) |
| Uranium | ||||
| Winston-Salem | 0.013 (0.009, 0.018) | 0.013 (0.009, 0.018) | 0.013 (0.010, 0.018) | 0.014 (0.010, 0.021) |
| Baltimore | 0.012 (0.009, 0.016) | 0.012 (0.009, 0.016) | 0.012 (0.009, 0.017) | 0.012 (0.009, 0.017) |
| Chicago | 0.012 (0.009, 0.014) | 0.012 (0.009, 0.014) | 0.012 (0.009, 0.015) | 0.012 (0.009, 0.015) |
| Los Angeles | 0.019 (0.016, 0.023) | 0.019 (0.016, 0.023) | 0.019 (0.013, 0.026) | 0.018 (0.015, 0.023) |
| New York City | 0.011 (0.009, 0.013) | 0.011 (0.009, 0.013) | 0.011 (0.009, 0.014) | 0.010 (0.008, 0.013) |
| Saint Paul | 0.009 (0.006, 0.012) | 0.009 (0.007, 0.012) | 0.009 (0.006, 0.015) | 0.010 (0.007, 0.014) |
| PM2.5 | N | Model 1 b | Model 2 c | Model 3 d | Model 4 e |
|---|---|---|---|---|---|
| Antimony | |||||
| <15.7 µg/m3 | 101 | 1.00 (Reference) | 1.00 (Reference) | 1.00 (Reference) | 1.00 (Reference) |
| 15.7–18.3 µg/m3 | 101 | 1.08 (0.73, 1.60) | 1.07 (0.73, 1.58) | 1.09 (0.72, 1.64) | 1.14 (0.72, 1.80) |
| ≥18.3 µg/m3 | 102 | 0.93 (0.62, 1.38) | 0.92 (0.62, 1.38) | 0.94 (0.58, 1.54) | 0.68 (0.28, 1.64) |
| Per 5 µg/m3f | 304 | 0.98 (0.74, 1.29) | 0.97 (0.73, 1.28) | 1.00 (0.69, 1.46) | 1.03 (0.51, 2.08) |
| p for trend | 0.61 | 0.6 | 0.69 | 0.51 | |
| Cadmium | |||||
| <15.7 µg/m3 | 101 | 1.00 (Reference) | 1.00 (Reference) | 1.00 (Reference) | 1.00 (Reference) |
| 15.7–18.3 µg/m3 | 101 | 1.00 (0.77, 1.30) | 1.00 (0.78, 1.28) | 1.03 (0.79, 1.35) | 0.93 (0.69, 1.25) |
| ≥18.3 µg/m3 | 102 | 1.01 (0.77, 1.32) | 1.08 (0.83, 1.40) | 1.15 (0.84, 1.58) | 1.43 (0.81, 2.52) |
| Per 5 µg/m3 | 304 | 0.97 (0.80, 1.17) | 1.03 (0.86, 1.23) | 1.08 (0.85, 1.38) | 1.08 (0.69, 1.70) |
| p for trend | 0.95 | 0.54 | 0.35 | 0.32 | |
| Tungsten | |||||
| <15.7 µg/m3 | 101 | 1.00 (Reference) | 1.00 (Reference) | 1.00 (Reference) | 1.00 (Reference) |
| 15.7–18.3 µg/m3 | 101 | 1.64 (1.05, 2.56) | 1.64 (1.05, 2.56) | 1.57 (0.98, 2.52) | 1.71 (1.02, 2.88) |
| ≥18.3 µg/m3 | 102 | 3.47 (2.20, 5.49) | 3.55 (2.24, 5.63) | 3.25 (1.86, 5.69) | 0.77 (0.29, 2.09) |
| Per 5 µg/m3 | 304 | 2.53 (1.84, 3.48) | 2.59 (1.88, 3.56) | 2.74 (1.79, 4.18) | 1.57 (0.71, 3.48) |
| p for trend | <0.001 | <0.001 | <0.001 | 0.99 | |
| Uranium | |||||
| <15.7 µg/m3 | 101 | 1.00 (Reference) | 1.00 (Reference) | 1.00 (Reference) | 1.00 (Reference) |
| 15.7–18.3 µg/m3 | 101 | 1.18 (0.94, 1.47) | 1.18 (0.94, 1.48) | 1.17 (0.92, 1.49) | 1.08 (0.82, 1.40) |
| ≥18.3 µg/m3 | 102 | 1.71 (1.36, 2.16) | 1.70 (1.34, 2.14) | 1.69 (1.27, 2.25) | 0.84 (0.51, 1.40) |
| Per 5 µg/m3 | 304 | 1.51 (1.29, 1.78) | 1.50 (1.28, 1.77) | 1.61 (1.29, 1.99) | 0.98 (0.66, 1.47) |
| p for trend | <0.001 | <0.001 | <0.001 | 0.63 | |
© 2016 by the authors; licensee MDPI, Basel, Switzerland. This article is an open access article distributed under the terms and conditions of the Creative Commons by Attribution (CC-BY) license (http://creativecommons.org/licenses/by/4.0/).
Share and Cite
Pang, Y.; Jones, M.R.; Tellez-Plaza, M.; Guallar, E.; Vaidya, D.; Post, W.S.; Kaufman, J.D.; Delaney, J.A.; Navas-Acien, A. Association of Geography and Ambient Air Pollution with Urine Metal Concentrations in Six US Cities: The Multi-Ethnic Study of Atherosclerosis. Int. J. Environ. Res. Public Health 2016, 13, 324. https://doi.org/10.3390/ijerph13030324
Pang Y, Jones MR, Tellez-Plaza M, Guallar E, Vaidya D, Post WS, Kaufman JD, Delaney JA, Navas-Acien A. Association of Geography and Ambient Air Pollution with Urine Metal Concentrations in Six US Cities: The Multi-Ethnic Study of Atherosclerosis. International Journal of Environmental Research and Public Health. 2016; 13(3):324. https://doi.org/10.3390/ijerph13030324
Chicago/Turabian StylePang, Yuanjie, Miranda R. Jones, Maria Tellez-Plaza, Eliseo Guallar, Dhananjay Vaidya, Wendy S. Post, Joel D. Kaufman, Joseph A. Delaney, and Ana Navas-Acien. 2016. "Association of Geography and Ambient Air Pollution with Urine Metal Concentrations in Six US Cities: The Multi-Ethnic Study of Atherosclerosis" International Journal of Environmental Research and Public Health 13, no. 3: 324. https://doi.org/10.3390/ijerph13030324
APA StylePang, Y., Jones, M. R., Tellez-Plaza, M., Guallar, E., Vaidya, D., Post, W. S., Kaufman, J. D., Delaney, J. A., & Navas-Acien, A. (2016). Association of Geography and Ambient Air Pollution with Urine Metal Concentrations in Six US Cities: The Multi-Ethnic Study of Atherosclerosis. International Journal of Environmental Research and Public Health, 13(3), 324. https://doi.org/10.3390/ijerph13030324

