Degradation of Tetracyclines in Pig Manure by Composting with Rice Straw
Abstract
:1. Introduction
2. Materials and Methods
2.1. Chemicals and Composting Materials
2.2. TCs Degradation Experiments
2.3. Extraction and HPLC Analysis of TCs
2.4. Data Analysis
3. Results
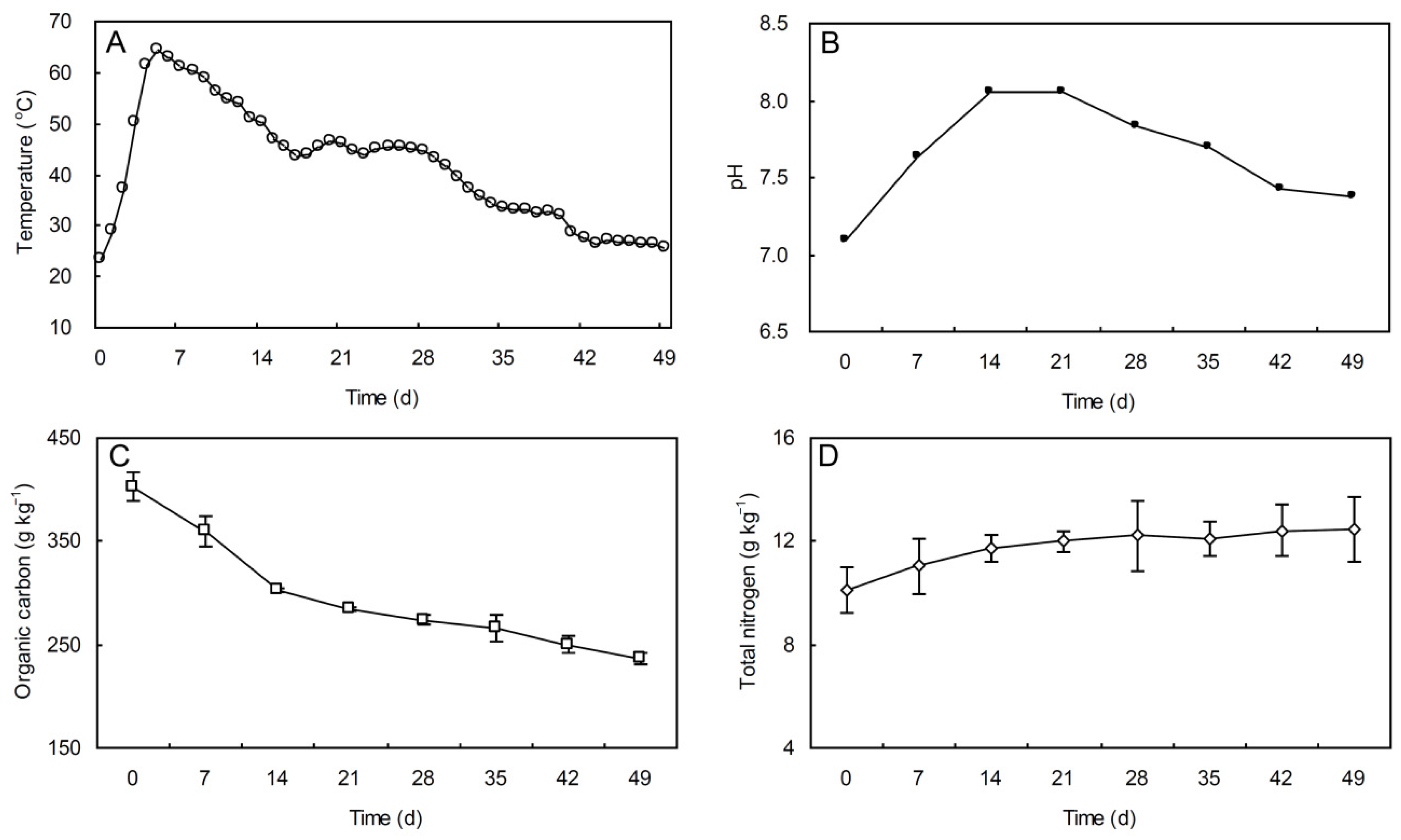
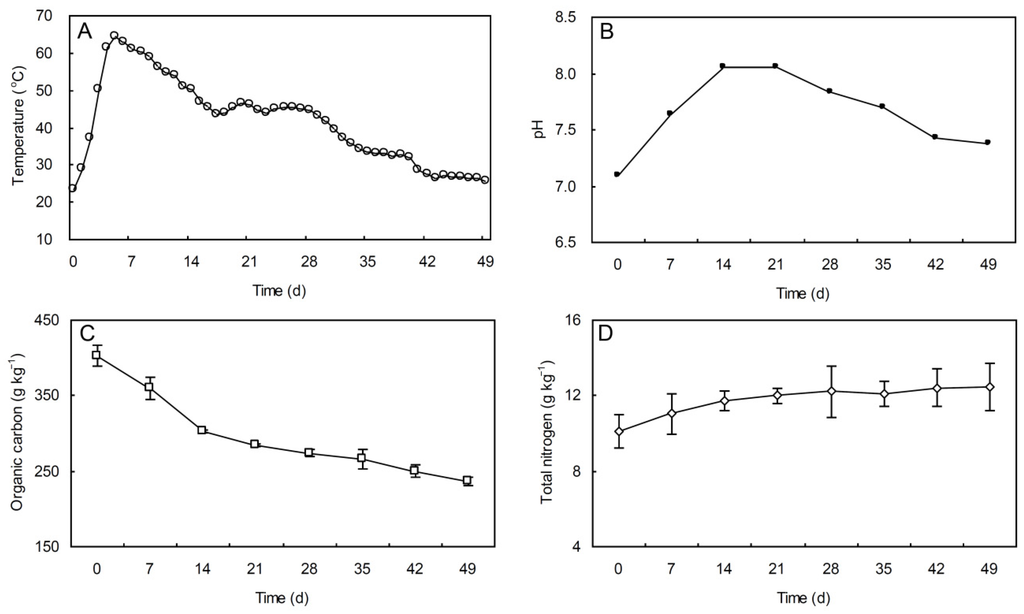
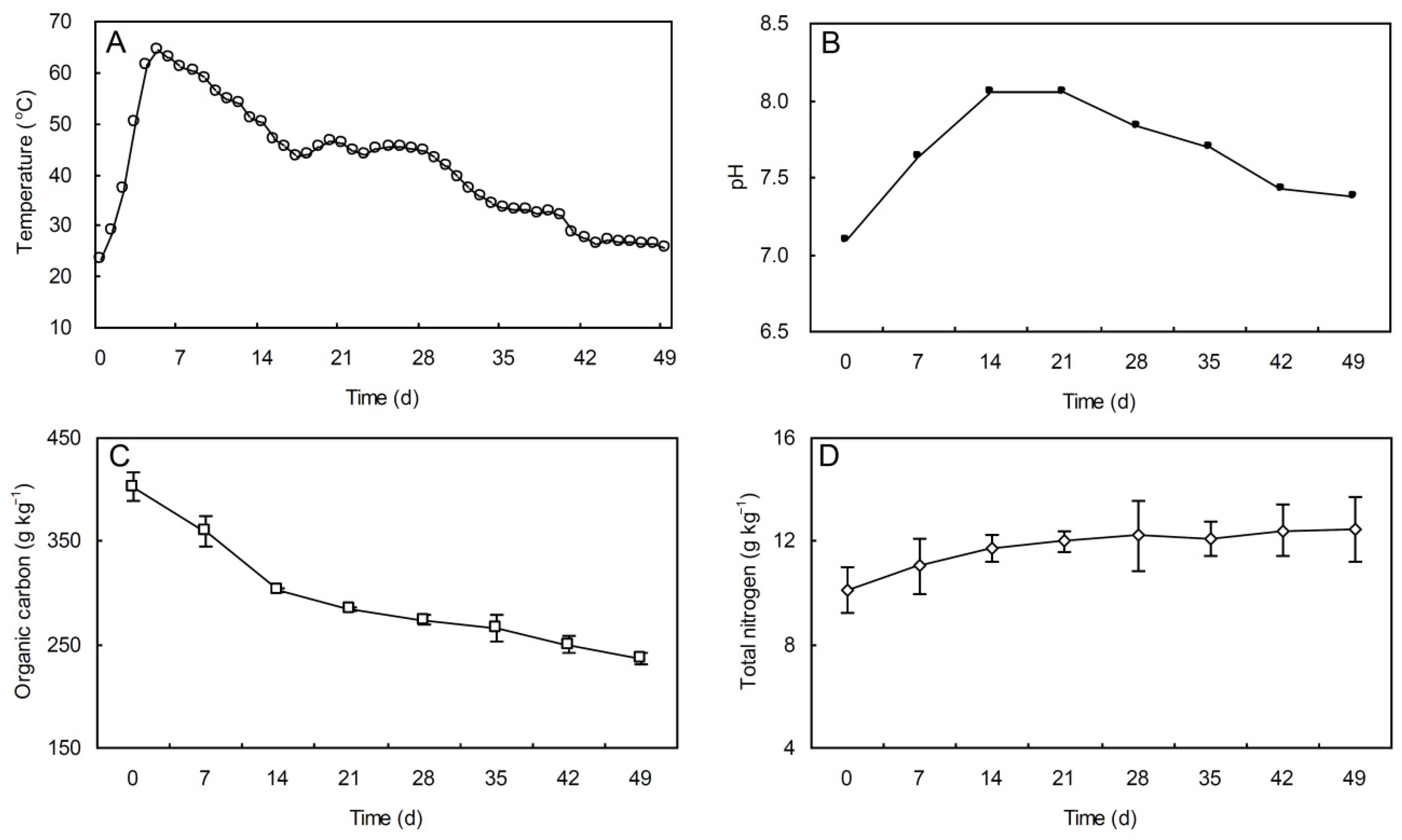
3.1. Evolution of Temperature during Composting
3.2. Evolution of pH, OC and TN During Composting
3.3. Degradation of TCs during Composting and Incubation
4. Discussion
5. Conclusions
Acknowledgments
Author Contributions
Conflicts of Interest
References
- Geng, W.; Hu, L.; Cui, J.Y.; Bu, M.D.; Zhang, B.B. Biogas energy potential for livestock manure and gross control of animal feeding in region level of China. Trans. Chin. Soc. Agric. Eng. 2013, 29, 171–179. (In Chinese) [Google Scholar]
- Tong, L.; Li, P.; Wang, Y.X.; Zhu, K.Z. Analysis of veterinary antibiotic residues in swine wastewater and environmental water samples using optimized SPE-LC/MS/MS. Chemosphere 2009, 74, 1090–1097. [Google Scholar] [CrossRef] [PubMed]
- Zhao, L.; Dong, Y.H.; Wang, H. Residues of veterinary antibiotics in manures from feedlot livestock in eight provinces of China. Sci. Total Environ. 2010, 408, 1069–1075. [Google Scholar] [CrossRef] [PubMed]
- Pan, X.; Qiang, Z.M.; Ben, W.W.; Chen, M.X. Residual veterinary antibiotics in swine manure from concentrated animal feeding operations in Shandong Province, China. Chemosphere 2011, 84, 695–700. [Google Scholar] [CrossRef] [PubMed]
- Qiao, M.; Chen, W.D.; Su, J.Q.; Zhang, B.; Zhang, C. Fate of tetracyclines in swine manure of three selected swine farms in China. J. Environ. Sci. 2012, 24, 1047–1052. [Google Scholar] [CrossRef]
- Kummerer, K. Antibiotics in the aquatic environment—A review—Part I. Chemosphere 2009, 75, 417–434. [Google Scholar] [CrossRef] [PubMed]
- Sarmah, A.K.; Meyer, M.T.; Boxall, A.B.A. A global perspective on the use, sales, exposure pathways, occurrence, fate and effects of veterinary antibiotics (VAs) in the environment. Chemosphere 2006, 65, 725–759. [Google Scholar] [CrossRef] [PubMed]
- Chen, Y.S.; Zhang, H.B.; Luo, Y.M.; Song, J. Occurrence and assessment of veterinary antibiotics in swine manures: A case study in East China. Chin. Sci. Bull. 2012, 57, 606–614. [Google Scholar] [CrossRef]
- Hu, X.G.; Zhou, Q.X.; Luo, Y. Occurrence and source analysis of typical veterinary antibiotics in manure, soil, vegetables and groundwater from organic vegetable bases, northern China. Environ. Pollut. 2010, 158, 2992–2998. [Google Scholar] [CrossRef] [PubMed]
- Wei, R.C.; Ge, F.; Huang, S.Y.; Chen, M.; Wang, R. Occurrence of veterinary antibiotics in animal wastewater and surface water around farms in Jiangsu Province, China. Chemosphere 2011, 82, 1408–1414. [Google Scholar] [CrossRef] [PubMed]
- Hou, J.; Wan, W.N.; Mao, D.Q.; Wang, C.; Mu, Q.H.; Qin, S.Y.; Luo, Y. Occurrence and distribution of sulfonamides, tetracyclines, quinolones, macrolides, and nitrofurans in livestock manure and amended soils of Northern China. Environ. Sci. Pollut. R. 2015, 22, 4545–4554. [Google Scholar] [CrossRef] [PubMed]
- Chee-Sanford, J.C.; Mackie, R.I.; Koike, S.; Krapac, I.G.; Lin, Y.F.; Yannarell, A.C.; Maxwell, S.; Aminov, R.I. Fate and transport of antibiotic residues and antibiotic resistance genes following land application of manure waste. J. Environ. Qual. 2009, 38, 1086–1108. [Google Scholar] [CrossRef] [PubMed]
- Knapp, C.W.; Dolfing, J.; Ehlert, P.A.I.; Graham, D.W. Evidence of increasing antibiotic resistance gene abundances in archived soils since 1940. Environ. Sci. Technol. 2010, 44, 580–587. [Google Scholar] [CrossRef] [PubMed]
- Heuer, H.; Schmitt, H.; Smalla, K. Antibiotic resistance gene spread due to manure application on agricultural fields. Curr. Opin. Microbiol. 2011, 14, 236–243. [Google Scholar] [CrossRef] [PubMed]
- Li, F.Y.; Wang, J.F. Estimation of carbon emission from burning and carbon sequestration from biochar producing using crop straw in China. Trans. Chin. Soc. Agric. Eng. 2013, 29, 1–7. (In Chinese) [Google Scholar]
- Qu, C.S.; Li, B.; Wu, H.S.; Giesy, J.P. Controlling air pollution from straw burning in China calls for efficient recycling. Environ. Sci. Technol. 2012, 46, 7934–7936. [Google Scholar] [CrossRef] [PubMed]
- Cao, G.L.; Zhang, X.Y.; Gong, S.L.; An, X.Q.; Wang, Y.Q. Emission inventories of primary particles and pollutant gases for China. Chin. Sci. Bull. 2011, 56, 781–788. [Google Scholar] [CrossRef]
- Jin, C.W.; Du, S.T.; Wang, Y.; Condon, J.; Lin, X.Y.; Zhang, Y.S. Carbon dioxide enrichment by composting in greenhouses and its effect on vegetable production. J. Plant Nutr. Soil Sci. 2009, 172, 418–424. [Google Scholar] [CrossRef]
- Du, J.; Lin, X.Y.; Zhang, Y.S. Affecting factors of CO2 evolution from biodegradation of agricultural organic wastes. Chin. J. Appl. Ecol. 2004, 15, 501–505. (In Chinese) [Google Scholar]
- Bao, S.D. Soil Agricultural Chemical Analysis; China Agriculture Press: Beijing, China, 2000. (In Chinese) [Google Scholar]
- Brinch, U.C.; Ekelund, F.; Jacobsen, C.S. Method for spiking soil samples with organic compounds. Appl. Environ. Microb. 2002, 68, 1808–1816. [Google Scholar] [CrossRef]
- Li, L.L.; Huang, L.D.; Chung, R.S.; Fok, K.H.; Zhang, Y.S. Sorption and dissipation of tetracyclines in soils and compost. Pedosphere 2010, 20, 807–816. [Google Scholar] [CrossRef]
- Ramaswamy, J.; Prasher, S.O.; Patel, R.M.; Hussain, S.A.; Barrington, S.F. The effect of composting on the degradation of a veterinary pharmaceutical. Bioresour. Technol. 2010, 101, 2294–2299. [Google Scholar] [CrossRef] [PubMed]
- Dolliver, H.; Gupta, S.; Noll, S. Antibiotic degradation during manure composting. J. Environ. Qual. 2008, 37, 1245–1253. [Google Scholar] [CrossRef] [PubMed]
- Arikan, O.A.; Mulbry, W.; Rice, C. Management of antibiotic residues from agricultural sources: Use of composting to reduce chlortetracycline residues in beef manure from treated animals. J. Hazard Mater. 2009, 164, 483–489. [Google Scholar] [CrossRef] [PubMed]
- Chang, B.V.; Hsu, F.Y.; Liao, H.Y. Biodegradation of three tetracyclines in swine wastewater. J. Environ. Sci. Health. B 2014, 49, 449–455. [Google Scholar] [CrossRef] [PubMed]
- Doi, A.M.; Stoskopf, M.K. The kinetics of oxytetracycline degradation in deionized water under varying temperature, pH, light, substrate, and organic matter. J. Aquat. Anim. Health 2000, 12, 246–253. [Google Scholar] [CrossRef]
- Wang, Q.Q.; Yates, S.R. Laboratory study of oxytetracycline degradation kinetics in animal manure and soil. J. Agric. Food Chem. 2008, 56, 1683–1688. [Google Scholar] [CrossRef] [PubMed]
- Yang, J.F.; Ying, G.G.; Zhou, L.J.; Liu, S.; Zhao, J.L. Dissipation of oxytetracycline in soils under different redox conditions. Environ. Pollut. 2009, 157, 2704–2709. [Google Scholar] [CrossRef] [PubMed]
- Bao, Y.Y.; Zhou, Q.X.; Guan, L.Z.; Wang, Y.Y. Depletion of chlortetracycline during composting of aged and spiked manures. Waste Manag. 2009, 29, 1416–1423. [Google Scholar] [CrossRef] [PubMed]
- Selvam, A.; Xu, D.L.; Zhao, Z.Y.; Wong, J.W.C. Fate of tetracycline, sulfonamide and fluoroquinolone resistance genes and the changes in bacterial diversity during composting of swine manure. Bioresour. Technol. 2012, 126, 383–390. [Google Scholar] [CrossRef] [PubMed]
- Ho, Y.B.; Zakaria, M.P.; Latif, P.A.; Saari, N. Degradation of veterinary antibiotics and hormone during broiler manure composting. Bioresour. Technol. 2013, 131, 476–484. [Google Scholar] [CrossRef] [PubMed]
- Arikan, O.A.; Sikora, L.J.; Mulbry, W.; Khan, S.U.; Foster, G.D. Composting rapidly reduces levels of extractable oxytetracycline in manure from therapeutically treated beef calves. Bioresour. Technol. 2007, 98, 169–176. [Google Scholar] [CrossRef] [PubMed]
- Wu, X.F.; Wei, Y.S.; Zheng, J.X.; Zhao, X.; Zhong, W.K. The behavior of tetracyclines and their degradation products during swine manure composting. Bioresour. Technol. 2011, 102, 5924–5931. [Google Scholar] [CrossRef] [PubMed]
- Liu, X.J.; Zhang, F.S. Nitrogen fertilizer induced greenhouse gas emissions in China. Curr. Opin. Environ. Sustain. 2011, 3, 407–413. [Google Scholar]
- Zhang, W.F.; Dou, Z.X.; He, P.; Ju, X.T.; Powlson, D.; Chadwick, D.; Norse, D.; Lu, Y.L.; Zhang, Y.; Wu, L.; et al. New technologies reduce greenhouse gas emissions from nitrogenous fertilizer in China. Proc. Natl. Acad. Sci. USA 2013, 110, 2375–2380. [Google Scholar] [CrossRef] [PubMed]
- Chen, X.P.; Cui, Z.L.; Fan, M.S.; Vitousek, P.; Zhao, M.; Ma, W.; Wang, Z.; Zhang, W.; Yan, X.; Yang, J.; et al. Producing more grain with lower environmental costs. Nature 2014, 514, 486–489. [Google Scholar] [CrossRef] [PubMed]



| Tetracyclines | pKa1 | pKa2 | pKa3 |
|---|---|---|---|
| Oxytetracycline | 3.27 | 7.32 | 9.11 |
| Tetracycline | 3.30 | 7.68 | 9.69 |
| Chlortetracycline | 3.30 | 7.44 | 9.27 |
| Characteristics | Materials | ||
|---|---|---|---|
| Pig Manure | Rice Straw | Mixture | |
| Moisture content (%) | 72.9 | 8.0 | 10.7 |
| Organic carbon (g·kg−1 DW) | 347 | 406 | 403 |
| Total nitrogen (g·kg−1 DW) | 25.3 | 9.4 | 10.1 |
| C:N | 13.7 | 43.2 | 39.8 |
| Tetracyclines | Pig Manure-Rice Straw Composting | Control | ||
|---|---|---|---|---|
| DT50 | DT90 | DT50 | DT90 | |
| Oxytetracycline | 5.5 | 18.4 | 29.3 | 97.3 |
| Tetracycline | 5.2 | 17.4 | 27.1 | 90.1 |
| Chlortetracycline | 2.4 | 7.9 | 26.9 | 89.5 |
© 2016 by the authors; licensee MDPI, Basel, Switzerland. This article is an open access article distributed under the terms and conditions of the Creative Commons by Attribution (CC-BY) license (http://creativecommons.org/licenses/by/4.0/).
Share and Cite
Chai, R.; Huang, L.; Li, L.; Gielen, G.; Wang, H.; Zhang, Y. Degradation of Tetracyclines in Pig Manure by Composting with Rice Straw. Int. J. Environ. Res. Public Health 2016, 13, 254. https://doi.org/10.3390/ijerph13030254
Chai R, Huang L, Li L, Gielen G, Wang H, Zhang Y. Degradation of Tetracyclines in Pig Manure by Composting with Rice Straw. International Journal of Environmental Research and Public Health. 2016; 13(3):254. https://doi.org/10.3390/ijerph13030254
Chicago/Turabian StyleChai, Rushan, Lidong Huang, Lingling Li, Gerty Gielen, Hailong Wang, and Yongsong Zhang. 2016. "Degradation of Tetracyclines in Pig Manure by Composting with Rice Straw" International Journal of Environmental Research and Public Health 13, no. 3: 254. https://doi.org/10.3390/ijerph13030254
APA StyleChai, R., Huang, L., Li, L., Gielen, G., Wang, H., & Zhang, Y. (2016). Degradation of Tetracyclines in Pig Manure by Composting with Rice Straw. International Journal of Environmental Research and Public Health, 13(3), 254. https://doi.org/10.3390/ijerph13030254

