Annoyance from Road Traffic, Trains, Airplanes and from Total Environmental Noise Levels
Abstract
:1. Introduction
2. Methods
2.1. Study Population

2.2. Survey and Noise Annoyance Data
2.3. Noise Levels and Distance to Noise Sources
2.4. Survey Weights and Statistical Analysis
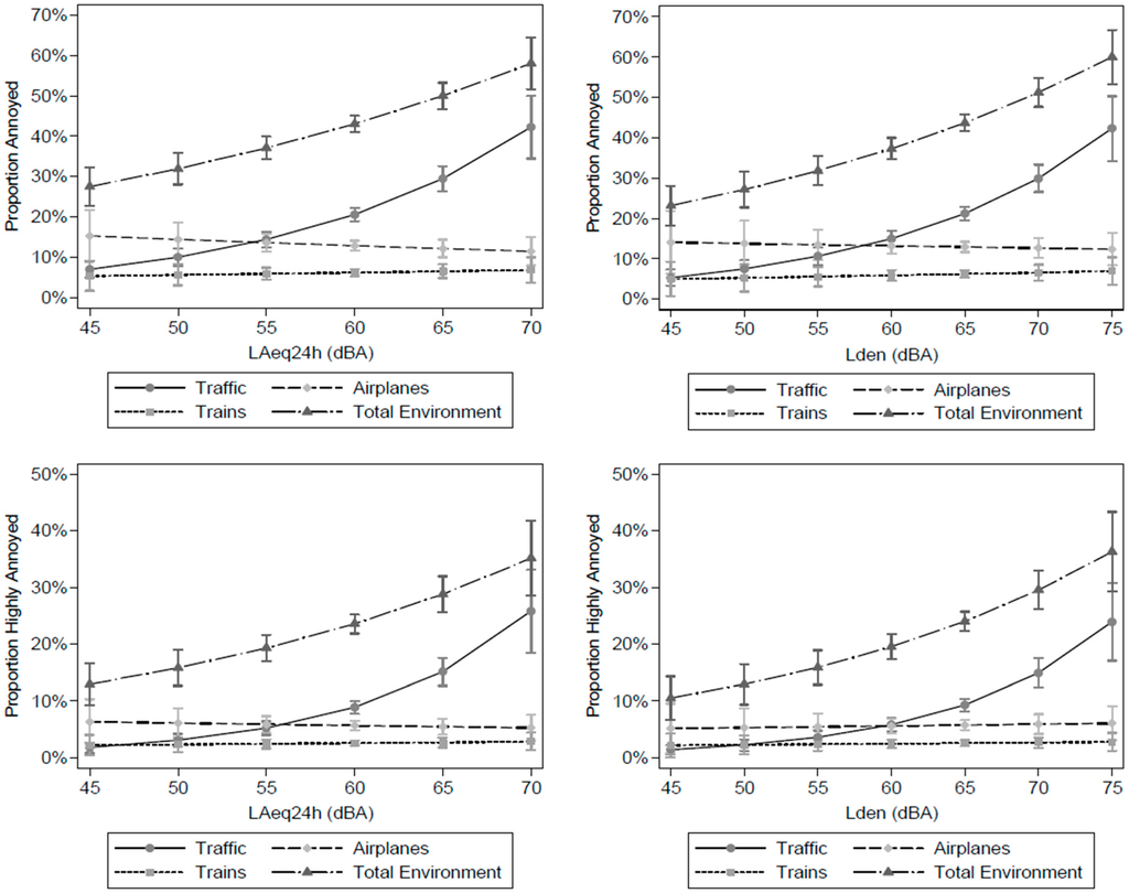
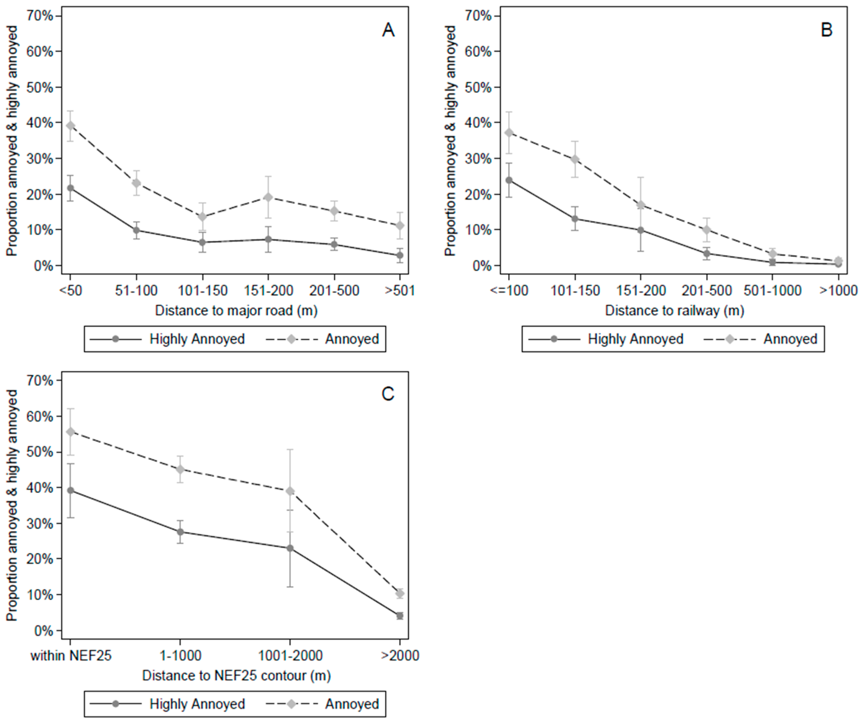
3. Results
| Characteristics | % |
|---|---|
| Age categories | |
| 18–29 | 6.9 |
| 30–39 | 13.5 |
| 40–49 | 19.1 |
| 50–59 | 23.3 |
| 60–69 | 19.9 |
| 70–80 | 11.6 |
| >80 | 5.7 |
| Sex | |
| Women | 48.2 |
| Men | 51.8 |
| Educational level | |
| No diploma or elementary school | 8.0 |
| High school | 17.5 |
| College | 26.2 |
| University degree | 48.3 |
| Distance of residential postal code to noise source (in m) | median (range) |
| Major road | 148 (1–2043) |
| Railway | 722 (5–4531) |
| NEF25 contour of Montreal International Airport | 5887 (0–25,743) |
| Exposure by transportation noise source | |
| Road (within 100 m of a major road) | 39.1 |
| Airplanes (within 1000 m of NEF zone) | 24.4 |
| Rail (within 150 m of a railway) | 19.1 |
| Not-exposed | 29.7 |
| Estimated LAeq24 noise level * | |
| low (<55 dBA) | 7.9 |
| medium (56–60 dBA) | 45.6 |
| high (61–65 dBA) | 34.8 |
| very high (>65 dBA) | 11.7 |



4. Discussion
5. Conclusions
Supplementary Files
Supplementary File 1Acknowledgments
Author Contributions
Conflicts of Interest
References
- Basner, M.; Babisch, W.; Davis, A.; Brink, M.; Clark, C.; Janssen, S.; Stansfeld, S. Auditory and non-auditory effects of noise on health. Lancet 2014, 383, 1325–1332. [Google Scholar] [CrossRef]
- Öhrström, E.; Skånberg, A.; Svensson, H.; Gidlöf-Gunnarsson, A. Effects of road traffic noise and the benefit of access to quietness. J. Sound Vib. 2006, 295, 40–59. [Google Scholar] [CrossRef]
- Dratva, J.; Zemp, E.; Dietrich, D.F.; Bridevaux, P.-O.; Rochat, T.; Schindler, C.; Gerbase, M.W. Impact of road traffic noise annoyance on health-related quality of life: Results from a population-based study. Qual. Life Res. 2010, 19, 37–46. [Google Scholar] [CrossRef] [PubMed]
- Heritier, H.; Vienneau, D.; Frei, P.; Eze, I.C.; Brink, M.; Probst-Hensch, N.; Roeoesli, M. The association between road traffic noise exposure, annoyance and health-related quality of life (HRQOL). Int. J. Environ. Res. Public Health 2014, 11, 12652–12667. [Google Scholar] [CrossRef] [PubMed]
- Miedema, H.M.E.; Oudshoorn, C.G.M. Annoyance from transportation noise: Relationships with exposure metrics DNL and DENL and their confidence intervals. Environ. Health Perspect. 2001, 109, 409–416. [Google Scholar] [CrossRef] [PubMed]
- European Commission. Position paper on Dose Response Relationships between Transportation Noise and Annoyance; Office for Official Publications of the European Communities: Luxembourg, Belgium, 2002; pp. 1–24. [Google Scholar]
- Öhrstrom, E.; Barregård, L.; Andersson, E.; Skånberg, A.; Svensson, H.; Ängerheim, P. Annoyance due to single and combined sound exposure from railway and road traffic. J. Acoust. Soc. Am. 2007, 122, 2642–2652. [Google Scholar] [CrossRef] [PubMed]
- WHO. Burden of disease from environmental noise. In Quantification of Healthy Life Years Lost in Europe; WHO Regional Office for Europe: Copenhagen, Denmark, 2011; pp. 1–106. [Google Scholar]
- Babisch, W.; Swart, W.; Houthuijs, D.; Selander, J.; Bluhm, G.; Pershagen, G.; Dimakopoulou, K.; Haralabidis, A.S.; Katsouyanni, K.; Davou, E. Exposure modifiers of the relationships of transportation noise with high blood pressure and noise annoyance. J. Acoust. Soc. Am. 2012, 132, 3788–3808. [Google Scholar] [CrossRef] [PubMed]
- European Commission. Directive 2002/49/EC of the European Parliment and of the Council of 25 June 2001 relating to the assessment and management of environmental noise. Off. J. Eur. Commun. 2002, 117, 6–7. [Google Scholar]
- Lee, E.Y.; Jerrett, M.; Ross, Z.; Coogan, P.F.; Seto, E.Y.W. Assessment of traffic-related noise in three cities in the United States. Environ. Res. 2014, 132, 182–189. [Google Scholar] [CrossRef] [PubMed]
- Gan, W.Q.; McLean, K.; Brauer, M.; Chiarello, S.A.; Davies, H.W. Modeling population exposure to community noise and air pollution in a large metropolitan area. Environ. Res. 2012, 116, 11–16. [Google Scholar] [CrossRef] [PubMed]
- Steele, C. A critical review of some traffic noise prediction models. Appl. Acoust. 2001, 62, 271–287. [Google Scholar] [CrossRef]
- King, G.; Roland-Mieszkowski, M.; Jason, T.; Rainham, D.G. Noise levels associated with urban land use. J. Urban. Health Bull. N. Y. Acad. Med. 2012, 89, 1017–1030. [Google Scholar] [CrossRef] [PubMed]
- Zuo, F.; Li, Y.; Johnson, S.; Johnson, J.; Varughese, S.; Copes, R.; Liu, F.; Wu, H.J.; Hou, R.; Chen, H. Temporal and spatial variability of traffic-related noise in the city of Toronto, Canada. Sci. Total Environ. 2014, 472, 1100–1107. [Google Scholar] [CrossRef] [PubMed]
- Goudreau, S.; Plante, C.; Fournier, M.; Brand, A.; Roche, Y.; Smargiassi, A. Estimation of spatial variations in urban noise levels with a land use regression model. Environ. Pollut. 2014, 3, 48–58. [Google Scholar] [CrossRef]
- Michaud, D.S.; Keith, S.E.; McMurchy, D. Annoyance and disturbance of daily activities from road traffic noise in Canada. J. Acoust. Soc. Am. 2008, 123, 784–792. [Google Scholar] [CrossRef] [PubMed]
- Ragettli, M.S.; Goudreau, S.; Plante, C.; Fournier, M.; Hatzopoulou, M.; Perron, S.; Smargiassi, A. Statistical modeling of the spatial variability of environmental noise levels in Montreal, Canada, using noise measurements and land use characteristics. J. Expos. Sci. Environ. Epidemiol. 2015, in press. [Google Scholar]
- Statistics Canada. Population and Dwelling Counts, for Canada and Economic Regions, 2011 and 2006 Censuses. Available online: https://www12.statcan.gc.ca/census-recensement/2011/dp-pd/hlt-fst/pd-pl/Table-Tableau.cfm?LANG=Eng&T=1401&SR=1&S=9&O=D&RPP=25 (accessed on 22 December 2015).
- Transport Canada. Noise Exposure Forecast and Related Programs. https://www.tc.gc.ca/eng/civilaviation/standards/aerodromeairnav-standards-noise-nef-924.htm (accessed on 22 December 2015).
- BOING. Courbe D’ambiance Sonore. Available online: http://www.boeing.com/commercial/noise/montreal2011.pdf (accessed on 11 November 2011).
- Dale, L.M.; Debia, M.; Mudaheranwa, O.C.; Plante, C.; Smargiassi, A. An exploration of transportation source contribution to noise levels near an airport. Environ. Pollut. 2013, 3. [Google Scholar] [CrossRef]
- Price, K.; Perron, S. Avis de Santé Publique Concernant Les Impacts Sanitaires du Bruit Engendré Par Les Activités Ferroviaires de la Compagnie CN à Pointe-Saint-Charles; Agence de la santé et des services sociaux de Montréal: Montreal, QC, Canada, 2013; pp. 1–19. [Google Scholar]
- Statistics Canada. Postal Code Conversion File (PCCF), Reference Guide. Available online: http://geodepot.statcan.ca/2006/Reference/Freepub/92-153-GWE/2007002/using.htm (accessed on 22 December 2015).
- Niemann, H.; Bonnefoy, X.; Braubach, M.; Hecht, K.; Maschke, C.; Rodrigues, C.; Robbel, N. Noise-induced annoyance and morbidity results from the pan-European LARES study. Noise Health 2006, 8, 63–79. [Google Scholar] [CrossRef] [PubMed]
- Guski, R.; Felscher-Suhr, U.; Schuemer, R. The concept of noise annoyance: How international experts see it. J. Sound Vib. 1999, 223, 513–527. [Google Scholar] [CrossRef]
- Frankel, M. Sampling theory. In Handbook of Survey Research, 2nd ed.; Emerald Group Publishing Limited: Bingley, UK, 2010. [Google Scholar]
- Barros, A.J.; Hirakata, V.N. Alternatives for logistic regression in cross-sectional studies: An empirical comparison of models that directly estimate the prevalence ratio. BMC Med. Res. Methodol. 2003, 3. [Google Scholar] [CrossRef] [PubMed]
- American Association for Public Opinion Research (AAPOR). Response Rates—An Overview. Available online: http://www.aapor.org/AAPORKentico/Education-Resources/For-Researchers/Poll-Survey-FAQ/Response-Rates-An-Overview.aspx (accessed on 10 June 2015).
- Di, G.; Liu, X.; Lin, Q.; Zheng, Y.; He, L. The relationship between urban combined traffic noise and annoyance: An investigation in Dalian, north of China. Sci. Total Environ. 2012, 432, 189–194. [Google Scholar] [CrossRef] [PubMed]
- Morihara, T.; Sato, T.; Yano, T. Comparison of dose-response relationships between railway and road traffic noises: The moderating effect of distance. J. Sound Vib. 2004, 277, 559–565. [Google Scholar] [CrossRef]
- Pennig, S.; Quehl, J.; Mueller, U.; Rolny, V.; Maass, H.; Basner, M.; Elmenhorst, E.-M. Annoyance and self-reported sleep disturbance due to night-time railway noise examined in the field. J. Acoust. Soc. Am. 2012, 132, 3109–3117. [Google Scholar] [CrossRef] [PubMed]
- Gidlof-Gunnarsson, A.; Ogren, M.; Jerson, T.; Ohrstrom, E. Railway noise annoyance and the importance of number of trains, ground vibration, and building situational factors. Noise Health 2012, 14, 190–201. [Google Scholar] [CrossRef] [PubMed]
- Klæboe, R.; Amundsen, A.; Fyhri, A.; Solberg, S. Road traffic noise—The relationship between noise exposure and noise annoyance in Norway. Appl. Acoust. 2004, 65, 893–912. [Google Scholar] [CrossRef]
- Janssen, S.A.; Vos, H.; van Kempen, E.E.M.M.; Breugelmans, O.R.P.; Miedema, H.M.E. Trends in aircraft noise annoyance: The role of study and sample characteristics. J. Acoust. Soc. Am. 2011, 129, 1953–1962. [Google Scholar] [CrossRef] [PubMed]
- Klaeboe, R. Noise and health: Annoyance and interference. In Encyclopedia of Environmental Health; Elsevier: Philadelphia, PA, USA, 2011; pp. 152–163. [Google Scholar]
- Aguilera, I.; Foraster, M.; Basagaña, X.; Corradi, E.; Deltell, A.; Morelli, X.; Phuleria, H.C.; Ragettli, M.S.; Rivera, M.; Thomasson, A.; et al. Application of land use regression modelling to assess the spatial distribution of road traffic noise in three European cities. J. Expo. Sci. Environ. Epidemiol. 2015, 25, 97–105. [Google Scholar] [CrossRef] [PubMed]
- Mioduszewski, P.; Ejsmont, J.A.; Grabowski, J.; Karpiński, D. Noise map validation by continuous noise monitoring. Appl. Acoust. 2011, 72, 582–589. [Google Scholar] [CrossRef]
- Eriksson, C.; Nilsson, M.E.; Stenkvist, D.; Bellander, T.; Pershagen, G. Residential traffic noise exposure assessment: Application and evaluation of European Environmental Noise Directive maps. J. Expo. Sci. Environ. Epidemiol. 2013, 23, 531–538. [Google Scholar] [CrossRef] [PubMed]
- Okokon, E.O.; Turunen, A.W.; Ung-Lanki, S.; Vartiainen, A.-K.; Tiittanen, P.; Lanki, T. Road-traffic noise: Annoyance, risk perception, and noise sensitivity in the Finnish adult population. Int. J. Environ. Res. Public Health 2015, 12, 5712–5734. [Google Scholar] [CrossRef] [PubMed]
© 2015 by the authors; licensee MDPI, Basel, Switzerland. This article is an open access article distributed under the terms and conditions of the Creative Commons by Attribution (CC-BY) license (http://creativecommons.org/licenses/by/4.0/).
Share and Cite
Ragettli, M.S.; Goudreau, S.; Plante, C.; Perron, S.; Fournier, M.; Smargiassi, A. Annoyance from Road Traffic, Trains, Airplanes and from Total Environmental Noise Levels. Int. J. Environ. Res. Public Health 2016, 13, 90. https://doi.org/10.3390/ijerph13010090
Ragettli MS, Goudreau S, Plante C, Perron S, Fournier M, Smargiassi A. Annoyance from Road Traffic, Trains, Airplanes and from Total Environmental Noise Levels. International Journal of Environmental Research and Public Health. 2016; 13(1):90. https://doi.org/10.3390/ijerph13010090
Chicago/Turabian StyleRagettli, Martina S., Sophie Goudreau, Céline Plante, Stéphane Perron, Michel Fournier, and Audrey Smargiassi. 2016. "Annoyance from Road Traffic, Trains, Airplanes and from Total Environmental Noise Levels" International Journal of Environmental Research and Public Health 13, no. 1: 90. https://doi.org/10.3390/ijerph13010090
APA StyleRagettli, M. S., Goudreau, S., Plante, C., Perron, S., Fournier, M., & Smargiassi, A. (2016). Annoyance from Road Traffic, Trains, Airplanes and from Total Environmental Noise Levels. International Journal of Environmental Research and Public Health, 13(1), 90. https://doi.org/10.3390/ijerph13010090
