Fluctuation of the Water Environmental Carrying Capacity in a Huge River-Connected Lake
Abstract
:1. Introduction
2. Materials and Methods
2.1. Study Area

2.2. WECC Calculation Methodology
2.3. Parameters Determination
2.3.1. 2-D Unsteady Numerical Model
2.3.2. Confirmation of Degradation Coefficients
| Month | COD | TN | TP | ||||||
|---|---|---|---|---|---|---|---|---|---|
| North Area | Middle Area | South Area | North Area | Middle Area | South Area | North Area | Middle Area | South Area | |
| Jan. | 0.028 | 0.015 | 0.025 | 0.011 | 0.010 | 0.012 | 0.006 | 0.005 | 0.007 |
| Feb. | 0.031 | 0.017 | 0.028 | 0.012 | 0.011 | 0.013 | 0.007 | 0.006 | 0.008 |
| Mar. | 0.063 | 0.052 | 0.066 | 0.038 | 0.029 | 0.045 | 0.018 | 0.014 | 0.020 |
| Apr. | 0.081 | 0.072 | 0.087 | 0.053 | 0.040 | 0.064 | 0.025 | 0.019 | 0.026 |
| May | 0.088 | 0.080 | 0.095 | 0.059 | 0.044 | 0.070 | 0.027 | 0.021 | 0.029 |
| Jun. | 0.096 | 0.088 | 0.105 | 0.066 | 0.048 | 0.078 | 0.030 | 0.023 | 0.032 |
| Jul. | 0.102 | 0.087 | 0.104 | 0.065 | 0.048 | 0.077 | 0.030 | 0.023 | 0.032 |
| Aug. | 0.105 | 0.097 | 0.115 | 0.072 | 0.053 | 0.086 | 0.033 | 0.025 | 0.035 |
| Sep. | 0.100 | 0.092 | 0.109 | 0.068 | 0.050 | 0.082 | 0.031 | 0.024 | 0.033 |
| Oct. | 0.102 | 0.095 | 0.112 | 0.070 | 0.052 | 0.084 | 0.032 | 0.024 | 0.034 |
| Nov. | 0.066 | 0.055 | 0.069 | 0.041 | 0.031 | 0.048 | 0.019 | 0.015 | 0.021 |
| Dec. | 0.029 | 0.016 | 0.026 | 0.012 | 0.011 | 0.013 | 0.006 | 0.005 | 0.007 |

2.3.3. Confirmation of Non-Uniform Distribution Coefficients

| Month | COD | TN | TP | ||||||
|---|---|---|---|---|---|---|---|---|---|
| North Area | Middle Area | South Area | North Area | Middle Area | South Area | North Area | Middle Area | South Area | |
| Jan. | 0.203 | 0.182 | 0.214 | 0.168 | 0.151 | 0.182 | 0.123 | 0.112 | 0.140 |
| Feb. | 0.134 | 0.120 | 0.141 | 0.111 | 0.099 | 0.120 | 0.081 | 0.074 | 0.092 |
| Mar. | 0.131 | 0.117 | 0.137 | 0.108 | 0.097 | 0.117 | 0.079 | 0.072 | 0.090 |
| Apr. | 0.133 | 0.119 | 0.140 | 0.110 | 0.099 | 0.119 | 0.080 | 0.073 | 0.092 |
| May | 0.063 | 0.057 | 0.067 | 0.052 | 0.047 | 0.057 | 0.038 | 0.035 | 0.044 |
| Jun. | 0.062 | 0.055 | 0.065 | 0.051 | 0.046 | 0.055 | 0.037 | 0.034 | 0.043 |
| Jul. | 0.059 | 0.053 | 0.062 | 0.048 | 0.043 | 0.053 | 0.035 | 0.032 | 0.040 |
| Aug. | 0.058 | 0.052 | 0.061 | 0.048 | 0.043 | 0.052 | 0.035 | 0.032 | 0.040 |
| Sep. | 0.065 | 0.058 | 0.068 | 0.054 | 0.048 | 0.058 | 0.039 | 0.036 | 0.045 |
| Oct. | 0.132 | 0.119 | 0.139 | 0.109 | 0.098 | 0.119 | 0.080 | 0.073 | 0.091 |
| Nov. | 0.140 | 0.119 | 0.140 | 0.110 | 0.099 | 0.119 | 0.080 | 0.073 | 0.092 |
| Dec. | 0.162 | 0.146 | 0.171 | 0.134 | 0.120 | 0.146 | 0.098 | 0.090 | 0.112 |
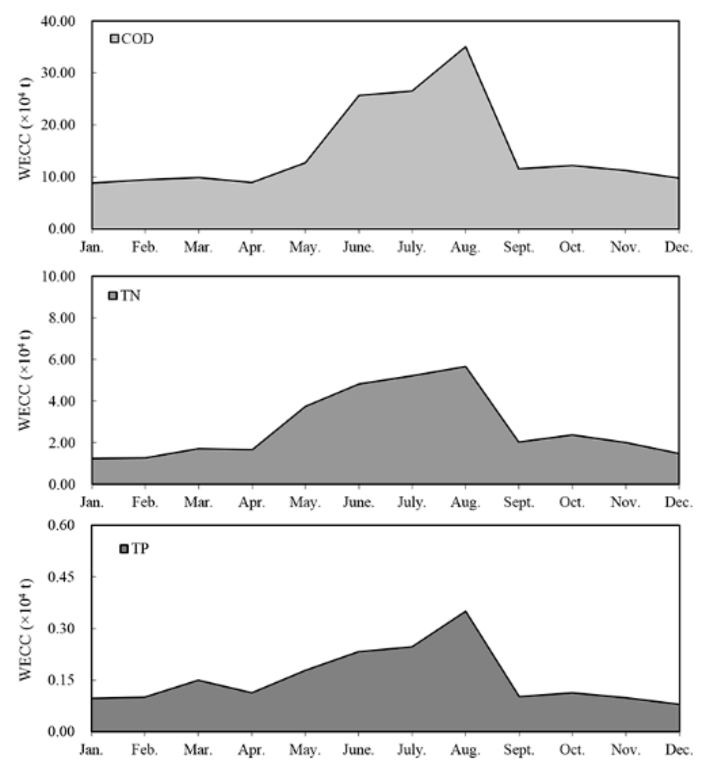
3. Results and Discussion


4. Conclusions
Acknowledgments
Author Contributions
Conflicts of Interest
References
- Wang, Y.M.; Zhou, X.D.; Feng, C.H.; Li, J.K. Research on theory of water environment carrying capacity in lake. J. Soil Water Conserv. 2004, 18, 179–184. (In Chinese) [Google Scholar]
- Zhang, J.; Geng, Y.N.; Zhou, Q.; Zhao, Y.Q. Assessment of water environmental carrying capacity in Xi’an, China. Environ. Eng. Manag. J. 2013, 12, 1481–1486. [Google Scholar]
- Kang, P.; Xu, L.Y. Water environmental carrying capacity assessment of an industrial park. In Proceedings of 18th Biennial Isem. Conference on Ecological Modelling for Global Change and Coupled Human and Natural System, Beijing, China, 20–23 September 2012; vol. 13, pp. 879–890.
- VishnuRadhan, R.; Vethamony, P.; Zainudin, Z.; Kumar, K.V. Waste assimilative capacity of coastal waters along mumbai mega city, west coast of India using MIKE-21 and WASP simulation models. Clean-Soil Air Water 2014, 42, 295–305. [Google Scholar] [CrossRef]
- Payandeh, A.; Zaker, N.H.; Niksokhan, M.H. Numerical assessment of nutrient assimilative capacity of Khur-e-Musa in the Persian Gulf. Environ. Monit. Assess. 2015, 187. [Google Scholar] [CrossRef]
- Bachmann, R.W.; Hoyer, M.V.; Fernandez, C.; Canfield, D.E. An alternative to proposed phosphorus TMDLs for the management of Lake Okeechobee. Lake Reserv. Manag. 2003, 19, 251–264. [Google Scholar] [CrossRef]
- Cooter, W.; Rineer, J.; Bergenroth, B. A nationally consistent NHDPlus framework for identifying interstate waters: Implications for integrated assessments and interjurisdictional TMDLs. Environ. Manag. 2010, 46, 510–524. [Google Scholar] [CrossRef]
- Fakhraei, H.; Driscoll, C.T.; Selvendiran, P.; DePinto, J.V.; Bloomfield, J.; Quinn, S.; Rowell, H.C. Development of a total maximum daily load (TMDL) for acid-impaired lakes in the Adirondack region of New York. Atmos. Environ. 2014, 95, 277–287. [Google Scholar] [CrossRef]
- Kim, S.M.; Brannan, K.M.; Zeckoski, R.W.; Benham, B.L. Development of total maximum daily loads for bacteria impaired watershed using the comprehensive hydrology and water quality simulation model. J. Environ. Sci. Heal. A 2014, 49, 1077–1089. [Google Scholar] [CrossRef]
- Miller, N.W.; Shao, M.; Venkataraman, S.; Loutan, C.; Rothleder, M. Frequency response of California and WECC under high wind and solar conditions. In 2012 IEEE Power and Energy Society General Meeting; General Meeting of the IEEE-Power-and-Energy-Society: San Diego, CA, USA, 2012. [Google Scholar]
- Gang, Z.; Kun, L.; Guo, F.U.; Guang-jun, M. Calculation method of river water environmental capacity. J. Hydraul. Eng. 2014, 2, 227–234. (In Chinese) [Google Scholar]
- Xie, R.; Pang, Y.; Qu, J.; Chen, K.; Mo, X.; Jiang, Y. Study on the environmental capacity of coastal areas in Jiangsu Province. Mar. Sci. Bull. 2012, 31, 214–222. (In Chinese) [Google Scholar]
- Wan, J.B.; Jiang, S.T. Analysis and comprehensive treatment of aquatic environment in Poyang Lake. Water Resour. Prot. 2006, 22, 24–27. (In Chinese) [Google Scholar]
- Chen, M.Q.; Wei, X.H. The “Pot of Clear Water” of Poyang Lake and Its Implications. J. Poyang Lake 2010, 4, 78–82. (In Chinese) [Google Scholar]
- Wu, Z.S.; He, H.; Cai, Y.J.; Zhang, L.; Chen, Y.W. Spatial distribution of chlorophyll a and its relationship with the environment during summer in Lake Poyang: A Yangtze-connected lake. Hydrobiologia 2014, 732, 61–70. [Google Scholar] [CrossRef]
- Yan, B.Y.; Xing, J.S.; Tan, H.R.; Deng, S.P.; Tan, Y.N. Analysis on water environment capacity of the Poyang Lake. Procedia Environ. Sci. 2011, 10, 2754–2759. [Google Scholar] [CrossRef]
- Yu, J.X.; Liu, Y.F.; Zhong, X.L. Study on water environment carrying capacity and main pollution sources of Poyang Lake. Acta. Agric. Jiangxi 2009, 21, 90–93. (In Chinese) [Google Scholar]
- Fang, Y.; Xing, J.S.; Tan, Y.J. Research on water environmental capacity and management of Poyang Lake. Jiangxi Sci. 2008, 26, 977–981. (In Chinese) [Google Scholar]
- Huang, A.M.; Temam, R. The nonlinear 2D subcritical inviscid shallow water equations with periodicity in one direction. Commun. Pure Appl. Anal. 2014, 13, 2005–2038. [Google Scholar] [CrossRef]
- Yoshioka, H.; Unami, K.; Fujihara, M. A finite element/volume method model of the depth-averaged horizontally 2D shallow water equations. Int. J. Numer. Methods Fluids 2014, 75, 23–41. [Google Scholar] [CrossRef]
- Sun, C.P.; Young, D.L.; Shen, L.H.; Chen, T.F.; Hsian, C.C. Application of localized meshless methods to 2D shallow water equation problems. Eng. Anal. Bound. Elem. 2013, 37, 1339–1350. [Google Scholar] [CrossRef]
- Zhao, D.H.; Shen, H.W.; Lai, J.S.; Tabios, G.Q. Approximate riemann solvers in FVM for 2D hydraulic shock wave modeling. J. Hydraul. Eng.-ASCE 1996, 122, 692–702. [Google Scholar] [CrossRef]
- Zhao, D.H.; Shen, H.W.; Tabios, G.Q.; Lai, J.S.; Tan, W.Y. Finite-volume two-dimensional unsteady-flow model for river basins—Closure. J. Hydraul. Eng. 1996, 122, 52–52. [Google Scholar] [CrossRef]
- Zhao, D.; Qi, C.; Yu, W.; Xu, B.; Pei, Z. Volume method and riemann solver for depth-averaged two-dimensional flow-pollutants coupled model. Adv. Water Sci. 2000, 11, 368–374. (In Chinese) [Google Scholar]
- Hu, S.Y.; Tan, W.Y. Numerical modeling of two-dimensional shallow water flows on unstructured grids. Adv. Water Sci. 1995, 6, 1–9. (In Chinese) [Google Scholar]
- Zia, S.; Qamar, S. A kinetic flux-vector splitting method for single-phase and two-phase shallow flows. Comput. Math. Appl. 2014, 67, 1271–1288. [Google Scholar] [CrossRef]
- Ahangar, M.; Ebrahimi, R.; Shams, M. Numerical simulation of non-equilibrium plasma flow in a cylindrical MPD thruster using a high-order flux-difference splitting method. Acta. Astronaut. 2014, 103, 129–141. [Google Scholar] [CrossRef]
- Shekari, Y.; Hajidavalloo, E. Application of Osher and PRICE-C schemes to solve compressible isothermal two-fluid models of two-phase flow. Comput. Fluids 2013, 86, 363–379. [Google Scholar] [CrossRef]
- He, Z.M.; Nie, Q.S.; Zeng, H. Numerical Simulation of Wind Energy over Poyang Lake Region. Acta. Agric. Univ. Jiangxiensis 2008, 30, 169–173. (In Chinese) [Google Scholar]
- Yang, G.; Liu, S.H.; Zhu, R.; Zhou, R.W. Numerical simulation of features of boundary-layer over Poyang Lake area. Chin. J. Geophys. 2011, 54, 896–908. [Google Scholar] [CrossRef]
- Fan, L.L.; Sha, H.F.; Pang, Y. Water environmental capacity of Lake Taihu. J. Lake Sci. 2012, 24, 693–697. (In Chinese) [Google Scholar]
© 2015 by the authors; licensee MDPI, Basel, Switzerland. This article is an open access article distributed under the terms and conditions of the Creative Commons Attribution license (http://creativecommons.org/licenses/by/4.0/).
Share and Cite
Wang, H.; Zhou, Y.; Tang, Y.; Wu, M.; Deng, Y. Fluctuation of the Water Environmental Carrying Capacity in a Huge River-Connected Lake. Int. J. Environ. Res. Public Health 2015, 12, 3564-3578. https://doi.org/10.3390/ijerph120403564
Wang H, Zhou Y, Tang Y, Wu M, Deng Y. Fluctuation of the Water Environmental Carrying Capacity in a Huge River-Connected Lake. International Journal of Environmental Research and Public Health. 2015; 12(4):3564-3578. https://doi.org/10.3390/ijerph120403564
Chicago/Turabian StyleWang, Hua, Yiyi Zhou, Yang Tang, Mengan Wu, and Yanqing Deng. 2015. "Fluctuation of the Water Environmental Carrying Capacity in a Huge River-Connected Lake" International Journal of Environmental Research and Public Health 12, no. 4: 3564-3578. https://doi.org/10.3390/ijerph120403564
APA StyleWang, H., Zhou, Y., Tang, Y., Wu, M., & Deng, Y. (2015). Fluctuation of the Water Environmental Carrying Capacity in a Huge River-Connected Lake. International Journal of Environmental Research and Public Health, 12(4), 3564-3578. https://doi.org/10.3390/ijerph120403564
