Rat Lung Response to PM2.5 Exposure under Different Cold Stresses
Abstract
:1. Introduction
2. Methods
2.1. Animals

2.2. PM2.5 Sampling and Processing
2.3. Cold Stress and PM2.5 Exposure Protocol
2.4. Bronchoalveolar Lavage
2.5. Lung Homogenate
2.6. Biomarker Estimations
2.7. Statistics
3. Results
3.1. Physiological Conditions

| Cells | 0 °C + PM2.5 | 0 °C + Saline | 10 °C + PM2.5 | 10 °C + Saline | 20 °C + PM2.5 | 20 °C + Saline |
|---|---|---|---|---|---|---|
| Total cell (105) | 5.08 ± 1.25 a,b | 3.14 ± 0.69 b | 3.82 ± 1.09 a | 2.79 ± 0.61 | 3.73 ± 0.93 a | 2.33 ± 0.95 |
| Neutrophil (105) | 1.76 ± 0.34a,b | 0.85 ± 0.40 | 1.28 ± 0.40 | 0.91 ± 0.43 | 0.82 ± 0.37 | 1.01 ± 0.28 |
3.2. Cell Counting in Bronchoalveolar Lavage Fluid (BALF)
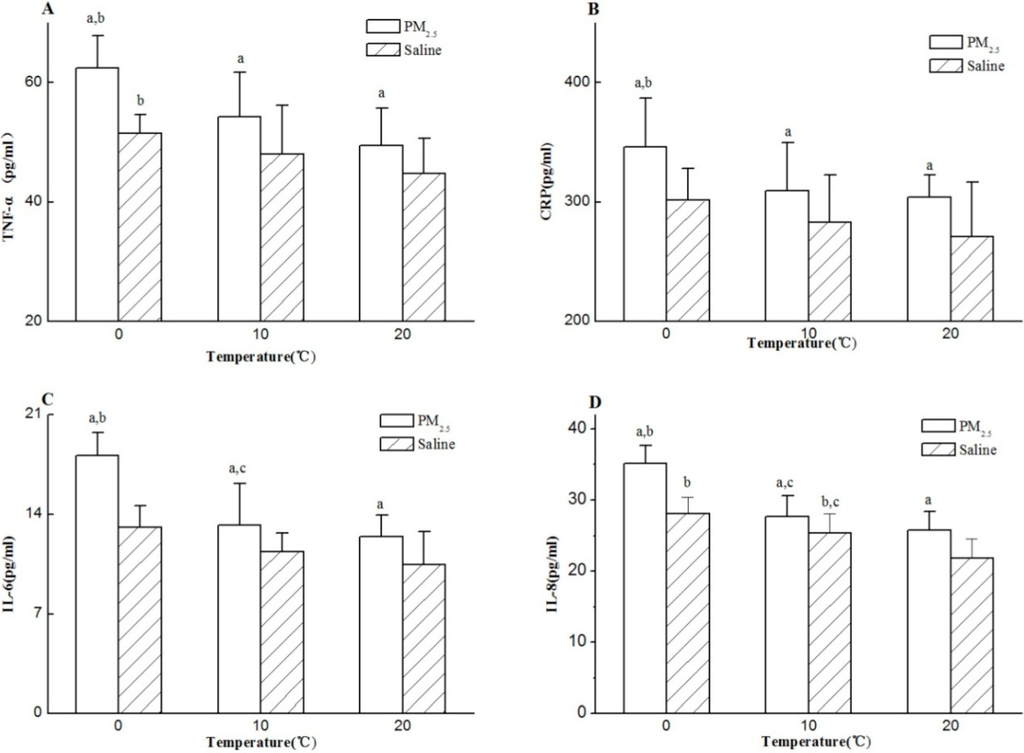
3.3. Inflammatory Factors in BALF

3.4. Pulmonary Oxidant and Antioxidants


4. Discussions
5. Conclusions
Acknowledgements
Author Contributions
Conflicts of Interest
References
- Larsson, K.; Tornling, G.; Gavhed, D.; Muller-Suur, C.; Palmberg, L. Inhalation of cold air increases the number of inflammatory cells in the lungs in healthy subjects. Eur. Respir. J. 1998, 12, 825–830. [Google Scholar] [CrossRef] [PubMed]
- Davis, M.S.; Freed, A.N. Repeated hyperventilation causes peripheral airways inflammation, hyperreactivity, and impaired bronchodilation in dogs. Am. J. Respir. Crit. Care Med. 2001, 164, 785–789. [Google Scholar] [CrossRef] [PubMed]
- Davis, M.S.; Schofield, B.; Freed, A.N. Repeated peripheral airway hyperpnea causes inflammation and remodeling in dogs. Med. Sci. Sports Exerc. 2003, 35, 608–616. [Google Scholar] [CrossRef] [PubMed]
- Zanobetti, A.; Franklin, M.; Koutrakis, P.; Schwartz, J. Fine particulate air pollution and its components in association with cause-specific emergency admissions. Environ. Health 2009, 8. [Google Scholar] [CrossRef]
- Pope, C.R.; Dockery, D.W. Health effects of fine particulate air pollution: Lines that connect. J. Air Waste Manag. Assoc. 2006, 56, 709–742. [Google Scholar] [CrossRef] [PubMed]
- Dockery, D.W. Health effects of particulate air pollution. Ann. Epidemiol. 2009, 19, 257–263. [Google Scholar] [CrossRef] [PubMed]
- Zanobetti, A.; Schwartz, J. The effect of fine and coarse particulate air pollution on mortality: A national analysis. Environ. Health Perspect. 2009, 117, 898–903. [Google Scholar] [CrossRef] [PubMed]
- Dominici, F.; Peng, R.D.; Bell, M.L.; Pham, L.; McDermott, A.; Zeger, S.L.; Samet, J.M. Fine particulate air pollution and hospital admission for cardiovascular and respiratory diseases. JAMA 2006, 295, 1127–1134. [Google Scholar] [CrossRef] [PubMed]
- Gilmour, P.S.; Schladweiler, M.C.; Richards, J.H.; Ledbetter, A.D.; Kodavanti, U.P. Hypertensive rats are susceptible to TLR4-mediated signaling following exposure to combustion source particulate matter. Inhal. Toxicol. 2004, 16, 5–18. [Google Scholar] [CrossRef] [PubMed]
- Kendall, M. Fine airborne urban particles (PM2.5) sequester lung surfactant and amino acids from human lung lavage. Am. J. Physiol. Lung Cell Mol. Physiol. 2007, 293, 1053–1058. [Google Scholar] [CrossRef]
- Chen, B.Y.; Chan, C.C.; Lee, C.T.; Cheng, T.J.; Huang, W.C.; Jhou, J.C.; Han, Y.Y.; Chen, C.C.; Guo, Y.L. The association of ambient air pollution with airway inflammation in schoolchildren. Am. J. Epidemiol. 2012, 175, 764–774. [Google Scholar] [CrossRef] [PubMed]
- van Eeden, S.F.; Tan, W.C.; Suwa, T.; Mukae, H.; Terashima, T.; Fujii, T.; Qui, D.; Vincent, R.; Hogg, J.C. Cytokines involved in the systemic inflammatory response induced by exposure to particulate matter air pollutants (PM(10)). Am. J. Respir. Crit. Care Med. 2001, 164, 826–830. [Google Scholar] [CrossRef] [PubMed]
- Fujii, T.; Hayashi, S.; Hogg, J.C.; Mukae, H.; Suwa, T.; Goto, T.; Vincent, R.; van Eeden, S.F. Interaction of alveolar macrophages and airway epithelial cells following exposure to particulate matter produces mediators that stimulate the bone marrow. Am. J. Respir. Cell Mol. Biol. 2002, 27, 34–41. [Google Scholar] [CrossRef] [PubMed]
- Green, R.S.; Basu, R.; Malig, B.; Broadwin, R.; Kim, J.J.; Ostro, B. The effect of temperature on hospital admissions in nine California counties. Int. J. Public Health 2010, 55, 113–121. [Google Scholar] [CrossRef] [PubMed]
- Carder, M.; McNamee, R.; Beverland, I.; Elton, R.; Van Tongeren, M.; Cohen, G.R.; Boyd, J.; Macnee, W.; Agius, R.M. Interacting effects of particulate pollution and cold temperature on cardiorespiratory mortality in Scotland. Occup. Environ. Med. 2008, 65, 197–204. [Google Scholar] [CrossRef] [PubMed]
- Ren, C.; Tong, S. Temperature modifies the health effects of particulate matter in Brisbane, Australia. Int. J. Biometeorol. 2006, 51, 87–96. [Google Scholar] [CrossRef] [PubMed]
- Ren, C.; Williams, G.M.; Tong, S. Does particulate matter modify the association between temperature and cardiorespiratory diseases? Environ. Health Perspect. 2006, 114, 1690–1696. [Google Scholar] [PubMed]
- Li, G.; Tao, H.; Guo, Y. Interaction between inhalable particulate matter and apparent temperature on respiratory emergency room visits of a hospital in Beijing. J. Environ. Health 2012, 6, 483–486. [Google Scholar]
- Polderman, K.H. Mechanisms of action, physiological effects, and complications of hypothermia. Crit. Care Med. 2009, 37, S186–S202. [Google Scholar] [CrossRef] [PubMed]
- Shephard, R.J.; Shek, P.N. Cold exposure and immune function. Can. J. Physiol. Pharmacol. 1998, 76, 828–836. [Google Scholar] [CrossRef] [PubMed]
- Mourtzoukou, E.G.; Falagas, M.E. Exposure to cold and respiratory tract infections. Int. J. Tuberc. Lung Dis. 2007, 11, 938–943. [Google Scholar] [PubMed]
- Crosfill, M.L.; Widdicombe, J.G. Physical characteristics of the chest and lungs and the work of breathing in different mammalian species. J. Physiol. 1961, 158, 1–14. [Google Scholar] [PubMed]
- Luo, B.; Zhang, S.; Ma, S.; Zhou, J.; Wang, B. Effects of cold air on cardiovascular disease risk factors in rat. Int. J. Environ. Res. Public Health 2012, 9, 2312–2325. [Google Scholar] [CrossRef] [PubMed]
- Wang, G.; Zhao, J.; Jiang, S.; Song, W. Rat lung response to ozone and fine particulate matter (PM) exposures. Environ. Toxicol. 2013, 10. [Google Scholar] [CrossRef]
- Broekhuizen, R.; Vernooy, J.H.; Schols, A.M.; Dentener, M.A.; Wouters, E.F. Leptin as local inflammatory marker in COPD. Respir. Med. 2005, 99, 70–74. [Google Scholar] [CrossRef] [PubMed]
- Sabnis, A.S.; Shadid, M.; Yost, G.S.; Reilly, C.A. Human lung epithelial cells express a functional cold-sensing TRPM8 variant. Am. J. Respir. Cell Mol. Biol. 2008, 39, 466–474. [Google Scholar] [CrossRef] [PubMed]
- Halatek, T.; Stepnik, M.; Stetkiewicz, J.; Krajnow, A.; Kur, B.; Szymczak, W.; Rydzynski, K.; Dybing, E.; Cassee, F.R. The inflammatory response in lungs of rats exposed on the airborne particles collected during different seasons in four European cities. J. Environ. Sci. Health A Tox. Hazard Subst. Environ. Eng. 2011, 46, 1469–1481. [Google Scholar] [CrossRef] [PubMed]
- Li, N.; Kim, S.; Wang, M.; Froines, J.; Sioutas, C.; Nel, A. Use of a stratified oxidative stress model to study the biological effects of ambient concentrated and diesel exhaust particulate matter. Inhal. Toxicol. 2002, 14, 459–486. [Google Scholar] [CrossRef] [PubMed]
- Romieu, I.; Garcia-Esteban, R.; Sunyer, J.; Rios, C.; Alcaraz-Zubeldia, M.; Velasco, S.R.; Holguin, F. The effect of supplementation with omega-3 polyunsaturated fatty acids on markers of oxidative stress in elderly exposed to PM(2.5). Environ. Health Perspect. 2008, 116, 1237–1242. [Google Scholar] [CrossRef] [PubMed]
- Kooter, I.M.; Frederix, K.; Spronk, H.M.; Boere, A.J.; Leseman, D.L.; van Steeg, H.; ten Cate, H.; Cassee, F.R. Lung inflammation and thrombogenic responses in a time course study of Csb mice exposed to ozone. J. Appl. Toxicol. 2008, 28, 779–787. [Google Scholar] [CrossRef] [PubMed]
- Salman, H.; Bergman, M.; Bessler, H.; Alexandrova, S.; Beilin, B.; Djaldetti, M. Hypothermia affects the phagocytic activity of rat peritoneal macrophages. Acta Physiol. Scand. 2000, 168, 431–436. [Google Scholar] [CrossRef] [PubMed]
- Khadadah, M.; Mustafa, S.; Elgazzar, A. Effect of acute cold exposure on lung perfusion and tracheal smooth muscle contraction in rabbit. Eur. J. Appl. Physiol. 2011, 111, 77–81. [Google Scholar] [CrossRef] [PubMed]
© 2014 by the authors; licensee MDPI, Basel, Switzerland. This article is an open access article distributed under the terms and conditions of the Creative Commons Attribution license (http://creativecommons.org/licenses/by/4.0/).
Share and Cite
Luo, B.; Shi, H.; Wang, L.; Shi, Y.; Wang, C.; Yang, J.; Wan, Y.; Niu, J. Rat Lung Response to PM2.5 Exposure under Different Cold Stresses. Int. J. Environ. Res. Public Health 2014, 11, 12915-12926. https://doi.org/10.3390/ijerph111212915
Luo B, Shi H, Wang L, Shi Y, Wang C, Yang J, Wan Y, Niu J. Rat Lung Response to PM2.5 Exposure under Different Cold Stresses. International Journal of Environmental Research and Public Health. 2014; 11(12):12915-12926. https://doi.org/10.3390/ijerph111212915
Chicago/Turabian StyleLuo, Bin, Hongxia Shi, Lina Wang, Yanrong Shi, Cheng Wang, Jingli Yang, Yaxiong Wan, and Jingping Niu. 2014. "Rat Lung Response to PM2.5 Exposure under Different Cold Stresses" International Journal of Environmental Research and Public Health 11, no. 12: 12915-12926. https://doi.org/10.3390/ijerph111212915
APA StyleLuo, B., Shi, H., Wang, L., Shi, Y., Wang, C., Yang, J., Wan, Y., & Niu, J. (2014). Rat Lung Response to PM2.5 Exposure under Different Cold Stresses. International Journal of Environmental Research and Public Health, 11(12), 12915-12926. https://doi.org/10.3390/ijerph111212915
