Effect of Humic Acid on As Redox Transformation and Kinetic Adsorption onto Iron Oxide Based Adsorbent (IBA)
Abstract
:1. Introduction
2. Materials and Methods
2.1. Materials and Chemicals
2.2. Batch Experiments
2.3. Analytical Methods
2.4. Kinetic Models
2.5 Rate Limiting Mechanism
3. Results and Discussion
3.1. Surface Charge Analysis

3.2. As Adsorption in the Ternary System of As-IBA-HA
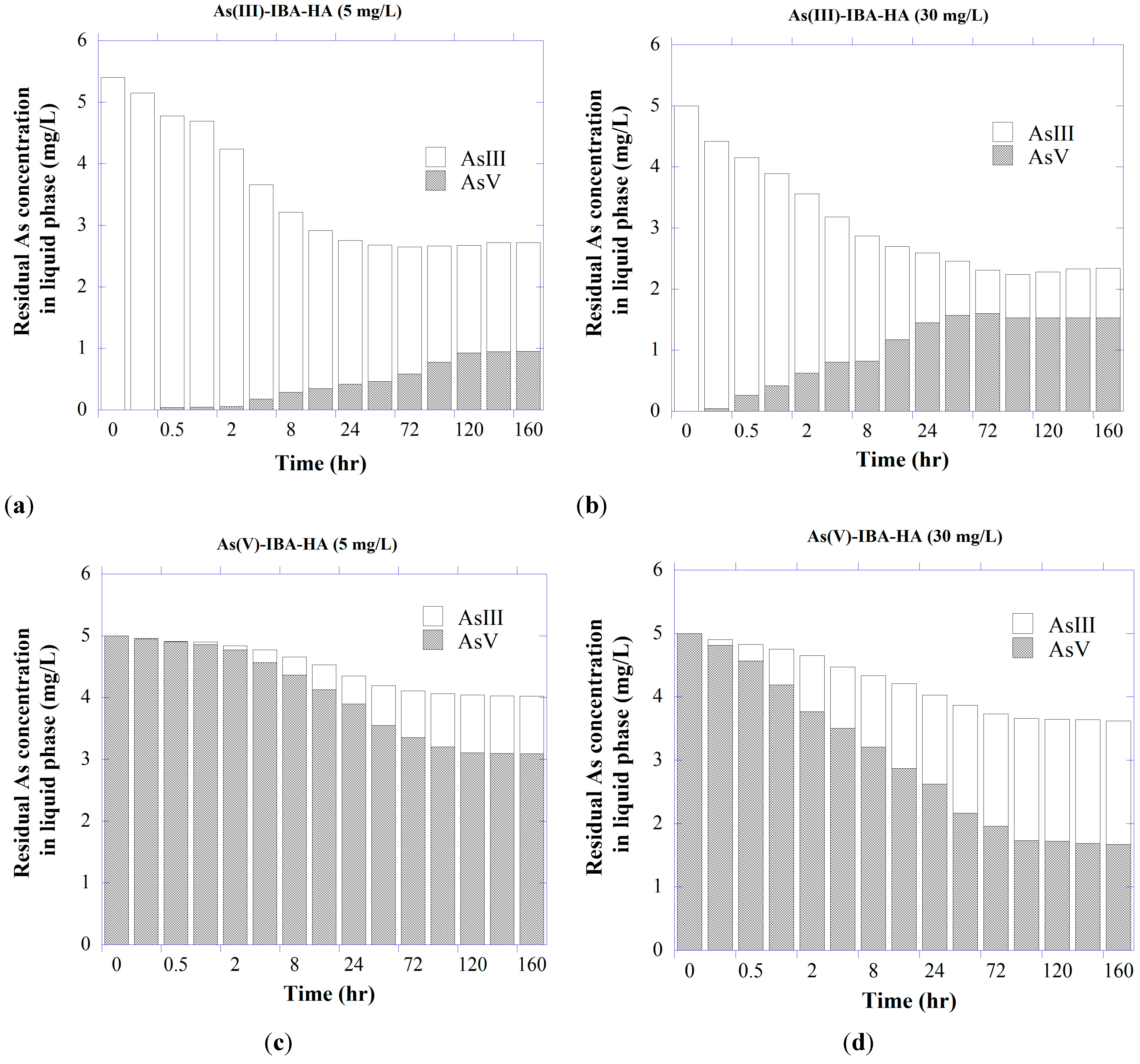
3.2.1. As Removal Efficiency in Simultaneous Presence with HA

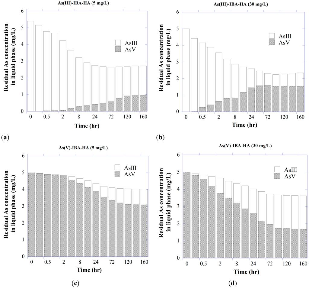
3.2.2. As Redox Transformation of System As-IBA-HA

3.2.3. Kinetics of As Co-Sorption with HA onto IBA

3.3. Desorption of As from As-Presorbed IBA in HA Solution
3.3.1. Desorption Efficiency

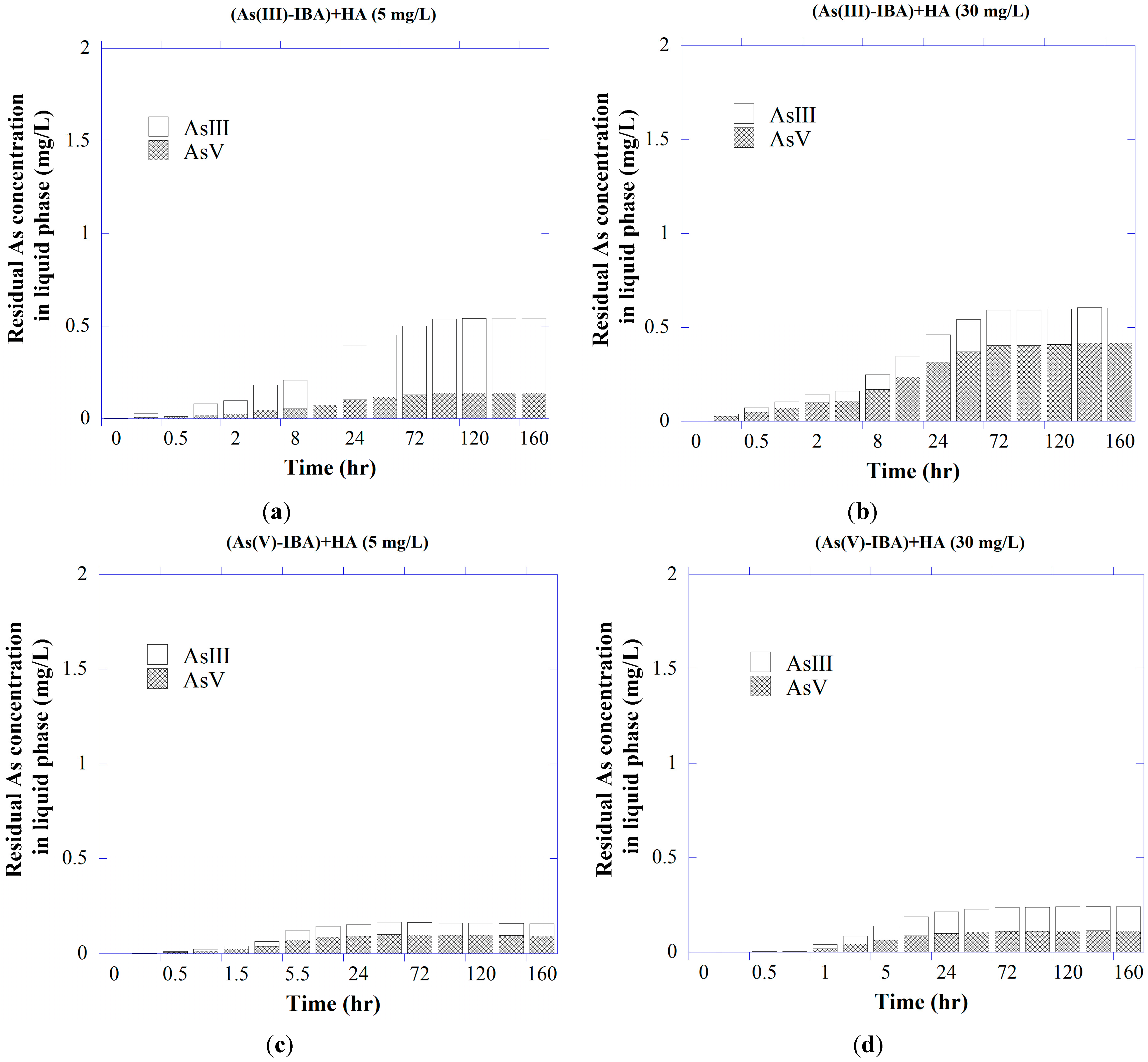
3.3.2. As Redox Transformation
3.3.3. Kinetics of Adsorption and Desorption


| System | Adsorbate | HA Conc. | Adsorption | |||||
|---|---|---|---|---|---|---|---|---|
| k | r2 a | RMSE b | ||||||
| 1st | 2nd | 1st | 2nd | 1st | 2nd | |||
| Co-adsorption As-IBA-HA | As (III) | 0 | 0.200 | 0.020 | 0.99 | 0.99 | 0.10 | 0.09 |
| 5 | 0.201 | 0.023 | 0.98 | 0.99 | 0.18 | 0.15 | ||
| 30 | 0.212 | 0.026 | 0.95 | 0.98 | 0.30 | 0.17 | ||
| As (V) | 0 | 0.049 | 0.010 | 0.99 | 0.98 | 0.13 | 0.10 | |
| 5 | 0.050 | 0.011 | 0.98 | 0.99 | 0.19 | 0.14 | ||
| 30 | 0.051 | 0.013 | 0.98 | 0.99 | 0.21 | 0.13 | ||
| HA-preloaded (HA-IBA)+As | As (III) | 0 | 0.190 | 0.020 | 0.99 | 0.99 | ||
| 5 | 0.069 | 0.009 | 0.98 | 0.98 | 0.17 | 0.25 | ||
| 30 | 0.046 | 0.006 | 0.97 | 0.98 | 0.27 | 0.26 | ||
| As (V) | 0 | 0.048 | 0.010 | 0.99 | 0.99 | |||
| 5 | 0.020 | 0.008 | 0.98 | 0.98 | 0.16 | 0.19 | ||
| 30 | 0.015 | 0.006 | 0.99 | 0.98 | 0.11 | 0.15 | ||
| System | Adsobate | HA Conc. | Desorption | |||||
| k | r | RMSE | ||||||
| As-Preloaded | 1st | 2nd | 1st | 2nd | 1st | 2nd | ||
| (As-IBA)+HA | As(III) | 5 | 0.08 | 0.07 | 0.99 | 0.99 | 0.07 | 0.09 |
| 30 | 0.07 | 0.05 | 0.99 | 0.99 | 0.11 | 0.18 | ||
| As(V) | 5 | 0.06 | 0.8 | 0.99 | 0.93 | 0.01 | 0.12 | |
| 30 | 0.34 | 1.2 | 0.98 | 0.94 | 0.07 | 0.14 |
3.4. Adsorption of As onto HA-Presorbed IBA
3.4.1. As Removal Efficiency

3.4.2. As Redox Transformation

3.4.3. Kinetics of As Adsorption onto IBA Preloaded with HA

3.5. Sorption Mechanism

| System | HAConc. (mg/L) | kid (mg/(g h)) | qe (mg/g) | D (cm2/s) | r2 |
|---|---|---|---|---|---|
| Co-adsorption of HA and As | |||||
| (As(III)-IBA-HA) | 5 | 3.40 | 12.29 | 3.9×10−7 | |
| 30 | 2.42 | 9.97 | 3.8×10−7 | 0.98 | |
| (As(V)-IBA-HA) | 5 | 0.53 | 4.01 | 4.4×10−8 | 0.99 |
| 30 | 0.44 | 3.20 | 4.5×10−8 | 0.99 | |
| HA Pre-loaded | |||||
| (HA-IBA)+As(III) | 5 | 2.15 | 14.00 | 8.4×10−8 | 0.98 |
| 30 | 1.20 | 9.57 | 7.0×10−8 | 0.99 | |
| (HA-IBA)+As(V) | 5 | 0.38 | 6.00 | 2.5×10−8 | 0.99 |
| 30 | 0.28 | 4.54 | 1.4×10−8 | 0.99 | |
| With No HA | |||||
| (IBA-As(III)) | 0 | 3.98 | 15.34 | 3.9×10−7 | 0.99 |
| (IBA-As(V)) | 0 | 0.60 | 6.71 | 4.6×10−8 | 0.98 |
4. Conclusion
Acknowledgments
Author Contributions
Conflicts of Interest
References
- Smedley, P.L.; Kinniburgh, D.G. A review of the source, behavior and distribution of As in natural waters. Appl. Geochem. 2002, 17, 517–568. [Google Scholar] [CrossRef]
- Roberge, J.; Rourke, M.K.; Meza-Montenegro, M.M.; Gutiérrez-Millán, M.L.; Burgess, J.L.; Harris, R.L. Binational as exposure survey: Methodology and estimated as intake from drinking water and urinary as concentrations. Int. J. Environ. Res. Public Health 2012, 9, 1051–1067. [Google Scholar] [CrossRef] [PubMed]
- Bissen, M.; Frimmel, F.H. As—A review: Part I. Occurrences, toxicity, speciation, mobility. Acta Hydrochim. Hydrobiol. 2003, 31, 9–18. [Google Scholar] [CrossRef]
- Brinkel, J.; Khan, M.H.; Kraemer, A. A systematic review of exposure and its social and mental health effects with special reference to Bangladesh. Int. J. Environ. Res. Public Health 2009, 6, 1609–1619. [Google Scholar] [CrossRef] [PubMed]
- Le, X.C.; Ma, M.; Lu, X.; Cullen, W.R.; Aposhian, H.V.; Zheng, B. Determination of monomethylarsonous acid, a key As methylation intermediate, in human urine. Environ. Health Perspect. 2000, 108, 1015–1018. [Google Scholar] [CrossRef] [PubMed]
- Adriano, D.C. Trace Elements in the Terrestrial Environments: Biogeochemistry, Bioavailability, and Risks of Heavy Metals, 2nd ed.; Springer-Verlag: New York, NY, USA, 2001. [Google Scholar]
- Chang, S.C.; Yu, Y.H.; Li, C.H.; Wu, C.C.; Lei, H.Y. Highly efficient As removal using a composite of ultrafine magnetite nanoparticles interlinked by silane coupling agents. Int. J. Environ. Res. Public Health 2012, 9, 3711–3723. [Google Scholar] [CrossRef] [PubMed]
- Cornell, R.M.; Schwertmann, U. The iron oxides: Structure, properties, reactions, occurrences and uses. Wiley-VCH: Weinheim, Germany, 1996. [Google Scholar]
- Pan, Y.F.; Chiou, C.T.; Lin, T.F. Adsorption of As(V) by iron-oxide-coated diatomite (IOCD). Environ. Sci. Pollut. Res. 2010, 17, 1401–1410. [Google Scholar] [CrossRef]
- Jeon, C.S.; Baek, K.; Park, J.K.; Oh, Y.K.; Lee, S.D. Adsorption characteristics of As(V) on iron-coated zeolite. J. Hazard Mater. 2009, 163, 804–808. [Google Scholar]
- Ramesh, A.; Hasegawa, H.; Maki, T.; Ueda, K. Adsorption of inorganic and organic arsenic from aqueous solutions by polymeric Al/Fe modified montmorillonite. Sep. Purif. Technol. 2007, 56, 90–100. [Google Scholar] [CrossRef]
- Kundu, S.; Gupta, A.K. Arsenic adsorption onto iron oxide coated cement (IOCC): Regression analysis of equilibrium data with several isotherm models and their optimization. Chem. Eng. J. 2006, 122, 93–106. [Google Scholar] [CrossRef]
- Mondal, P.; Majumder, C.B.; Mohanty, B. A laboratory study for the treatment of arsenic, iron, and manganese bearing ground water using Fe+3 impregnated activated carbon: Effects of shaking time, pH and temperature. J. Hazard Mater. 2007, 144, 420–426. [Google Scholar] [CrossRef] [PubMed]
- Lai, C.H.; Lo, S.L.; Chiang, H.L. Adsorption/desorption properties of copper ions on the surface of iron-coated sand using BET and EDAX analysis. Chemosphere 2000, 41, 1249–1255. [Google Scholar] [CrossRef] [PubMed]
- Lenoble, V.; Bouras, O.; Deluchat, V.; Serpaud, V.; Bollinger, J.C. As adsorption on to pillared clays and iron oxides. J. Colloid. Interf. Sci. 2002, 255, 52–58. [Google Scholar] [CrossRef]
- Dixit, S.; Hering, J.G. Comparison of As(V) and As(III) sorption on iron oxide minerals: Implications for As mobility. Environ. Sci. Technol. 2003, 37, 4182–4189. [Google Scholar] [PubMed]
- Neppolian, B.; Celik, E.; Choi, H. Photochemical oxidation of Arsenic(III) to Arsenic(V) using peroxydisulfate ions as an oxidizing agent. Environ. Sci. Technol. 2008, 42, 6179–6184. [Google Scholar] [CrossRef] [PubMed]
- Lenoble, V.; Deluchat, V.; Serpaud, B.; Bollinger, J. Arsenite oxidation and arsenate determination by the molybdene blue method. Talanta 2003, 61, 267–276. [Google Scholar] [CrossRef] [PubMed]
- Dutta, P.K.; Pehkonen, S.O.; Sharma, V.K.; Ray, A.K. Photocatalytic oxidation of Arsenic(III): Evidence of hydroxyl radicals. Environ. Sci. Technol. 2005, 39, 1827–1834. [Google Scholar] [CrossRef] [PubMed]
- Seyier, P.; Martin, J.M. Biogeochemical processes affecting arsenic species distribution in a permanently stratified lake. Environ. Sci. Technol. 1989, 23, 1258–1263. [Google Scholar] [CrossRef]
- Joshi, A.; Chaudhuri, M. Removal of arsenic from ground water by iron oxide-coated sand. J. Environ. Eng. 1996, 122, 769–771. [Google Scholar] [CrossRef]
- Katsoyiannis, I.A.; Zouboulis, A.I. Removal of arsenic from contaminated water sources by sorption onto iron-oxide-coated polymeric materials. Water Res. 2002, 36, 5141–5155. [Google Scholar] [CrossRef] [PubMed]
- Zhang, F.S.; Itoh, H. Iron oxide-loaded slag for arsenic removal from aqueous system. Chemosphere 2005, 60, 319–325. [Google Scholar] [CrossRef] [PubMed]
- La Force, M.J.; Hansel, C.M.; Fendord, S. As speciation, seasonal transformations, and co-distribution with iron in a mine waste-influenced palustrine emergent wetland. Environ. Sci. Technol. 2000, 34, 3937–3943. [Google Scholar] [CrossRef]
- Ko, I.; Kim, J.Y.; Kim, K.W. As speciation and sorption kinetics in the As–Hematite–Humic acid system. Colloids Surf A Physiochem. Eng. Asp. 2004, 234, 43–50. [Google Scholar] [CrossRef]
- Yang, L.; Shin, H.S.; Hur, J. Estimating the concentration and biodegradability of organic matter in 22 wastewater treatment plants using fluorescence excitation emission matrices and parallel factor analysis. Sensors 2014, 14, 1771–1786. [Google Scholar] [CrossRef] [PubMed]
- Wang, S.; Mulligan, C.N. Effect of natural organic matter on As release from soils and sediments into groundwater. Environ. Geochem. Health 2006, 28, 197–214. [Google Scholar] [CrossRef] [PubMed]
- Sazawa, K.; Tachi, M.; Wakimoto, T.; Kawakami, T.; Hata, N.; Taguchi, S.; Kuramitz, H. The evaluation for alterations of dom components from upstream to downstream flow of rivers in Toyama (Japan) using three-dimensional excitation-emission matrix fluorescence spectroscopy. Int. J. Environ. Res. Public Health 2011, 8, 1655–1670. [Google Scholar] [CrossRef] [PubMed]
- Choi, Y. Critical Flux, Resistance and Removal of Contaminants in Ultrafiltration (Uf) of Natural Organic Materials. Ph.D. Thesis, Pennsylvania State University, University Park, PA, USA, 2003. [Google Scholar]
- Zularisam, A.W.; Ismaila, A.F.; Salimc, R. Behaviours of natural organic matter in membrane filtration for surface water treatment—A review. Desalination 2006, 194, 211–231. [Google Scholar] [CrossRef]
- Sierra, M.M.D.; Giovanela, M.; Parlanti, E.; Soriano-Sierra, E.J. 3D-fluorescence spectroscopic analysis of HPLC fractionated estuarine fulvic and humic acids. J. Braz. Chem. Soc. 2006, 17, 113–124. [Google Scholar]
- Timofeyev, M.A.; Shatilina, Z.M.; Bedulina, D.S.; Menzel, R.; Steinberg, C.E.W. Natural organic matter (NOM) has the potential to modify the multixenobiotic resistance (MXR) activity in freshwater amphipods Eulimnogammarus cyaneus and E. verrucosus. Comp. Biochem. Physiol. Part B: Biochem. Mol. Biol. 2007, 146, 496–503. [Google Scholar] [CrossRef]
- Yuan, Y. Crossflow Filtration of Natural Organic Matter (NOM), Polysaccharides and Silica Colloids: Transport, Fouling and Mixture Effects. ProQuest: Ann Arbor, MI, USA, 2007. [Google Scholar]
- Mamba, B.B.; Krause, R.W.; Malefetse, T.J.; Sithole, S.P.; Nkambule, T.I. Humic acid as a model for natural organic matter (NOM) in the removal of odorants from water by cyclodextrin polyurethanes. Water SA 2009, 35, 117–120. [Google Scholar]
- Ghous, T.; Rasheed, A.; Siraj, M. Flow injection spectrophotometric method for the quantitative determination of humic acid (HA) in treated and natural waters. J. Chem. Soc. Pak. 2010, 32, 313–318. [Google Scholar]
- Shao, J.; Hou, J.; Song, H. Comparison of humic acid rejection and flux decline during filtration with negatively charged and uncharged ultrafiltration membranes. Water Res. 2011, 45, 473–482. [Google Scholar] [CrossRef] [PubMed]
- Behera, S.K.; Oh, S.Y.; Park, H.S. Sorptive removal of ibuprofen from water using selected soil minerals and activated carbon. Int. J. Environ. Sci. Technol. 2012, 9, 85–94. [Google Scholar] [CrossRef]
- Shao, J.; Hou, J.; Song, H. Comparison of humic acid rejection and flux decline during filtration with negatively charged and uncharged ultrafiltration membranes. Water Res. 2011, 45, 473–482. [Google Scholar] [CrossRef] [PubMed]
- Nyström, M.; Ruohomäki, K.; Kaipia, L. Humic acid as a fouling agent in filtration. Desalination 1996, 106, 79–87. [Google Scholar] [CrossRef]
- Yuan, W. Fouling of Humic Acid during Ultrafiltration and Microfiltration for Water Treatment. Ph.D. Dissertation, University of Delaware, Newark, DE, USA, 2001. [Google Scholar]
- Susanto, H.; Ulbricht, M. High-performance thin-layer hydrogel composite membranes for ultrafiltration of natural organic matter. Water Res. 2008, 42, 2827–2835. [Google Scholar] [CrossRef] [PubMed]
- Campinas, M.; Rosa, M.J. Assessing PAC contribution to the NOM fouling control in PAC/UF systems. Water Res. 2010, 44, 1636–1644. [Google Scholar] [CrossRef] [PubMed]
- Swift, R.S. Humic Substances in Soil, Sediment and Water; Aiken, G.R., McKnight, D.M., Wershaw, R.L., McCarthy, P., Eds.; Wiley: New York, NY, USA, 1985. [Google Scholar]
- Kim, J.I.; Buckau, G.; Li, G.H.; Duschner, H.; Psarros, N. Characterization of humic and fulvic acids from Gorleben groundwater. Fresenius J. Anal. Chem. 1990, 338, 245–252. [Google Scholar] [CrossRef]
- Stevenson, F.J. Humus Chemistry, Genesis, Compostion, Reactions; Wiley: New York, NY, USA, 1994; p. 285. [Google Scholar]
- Ohashi, H.; Nakazawa, H. The microstructure of humic acid-montmorillonite composites. Clay Miner. 1996, 31, 347–354. [Google Scholar] [CrossRef]
- Redman, A.D.; Macalady, D.L.; Ahmann, D. Natural organic matter affects As speciation and sorption onto hematite. Environ. Sci. Technol. 2002, 36, 2889–2896. [Google Scholar] [CrossRef] [PubMed]
- Gupta, S.K.; Chen, K.Y. As removal by adsorption. J. Wat. Poll. Control Fed. 1978, 50, 493–506. [Google Scholar]
- Oscarson, D.W.; Huang, P.M.; Liaw, W.K.; Hammer, U.T. Kinetics of oxidation ofarsenite by various manganese dioxides. Soil Sci. Am. J. 1983, 47, 644–648. [Google Scholar] [CrossRef]
- Yuan, J.R.; Ghosh, M.M.; Teoh, R.S. Adsorption of As on hydrous oxides. In Management of Hazardous and Toxic Wastes in the Process Industries; Kolaczkowski, S.T., Crittenden, B.D., Eds.; Elsevier Applied Science: London, UK, 1987; pp. 363–371. [Google Scholar]
- Martin, M.; Celi, L.; Barberis, E.; Violante, A.; Kozak, L.M.; Huang, P.M. Effect of humic acid coating on As adsorption on ferrihydrite-kaolinite mixed systems. Can. J. Soil Sci. 2009, 89, 421–434. [Google Scholar] [CrossRef]
- Warwick, P.; Inam, E.; Evans, N. As’s interaction with humic acid. Environ. Chem. 2005, 2, 119–124. [Google Scholar] [CrossRef]
- Gholami, A.; Jafarnejadi, A.; Kardan, E. Studying of interaction effect between organic matter and As element on transfer coefficient (TC) in cress plant. Int. Res. J. App. Basic Sci. 2012, 3, 1697–1700. [Google Scholar]
- Qiu, H.; Lv, L.; Pan, B.; Zhang, B.M.; Zhang, W.M.; Zhang, Q.X. Critical review in adsorption kinetic models. J. Zhejiang Univ. Sci. A. 2009, 10, 716–724. [Google Scholar] [CrossRef]
- Panday, K.K.; Prasad, G.; Singh, V.N. Removal of Cr(VI) from aqueous solution by adsorption on fly ash wollastonite. J. Chem. Techol. Biotechnol. A, Chem. Technol. 1984, 34, 367–374. [Google Scholar] [CrossRef]
- Singh, D.B.; Prasad, G.; Rupainwar, D.C. Adsorption technique for the treatment of As(V)-rich effluents. Physicochem. Eng. Aspects 1996, 111, 49–56. [Google Scholar] [CrossRef]
- Ho, Y.S.; McKay, G. Kinetic model for lead (II) sorption onto peat. Adsorpt. Sci. Technol. 1998, 16, 943–955. [Google Scholar]
- Wildeman, T.R.; Filipek, L.H.; Gusek, J. Proof-of-Principle studies for passive treatment of acid rock drainage and mill tailing solutions from a gold operation in Nevada. In Proceedings of the International Land Reclamation and Mine Drainage Conference, Bureau of Mines Special Publication SP 06B-94. Pittsburgh, PA. U.S., 24–29 April 1994.
- Wildeman, T.; Updegraff, D. Passive bioremediation of metals and inorganic contaminants. In Perspectives in Environmental Chemistry; Macalady, D.L., Ed.; Oxford University Press: New York, NY, USA, 1998; pp. 473–495. [Google Scholar]
- Dhiman, A.K.; Chaudhuri, M. Iron and manganese amended activated alumina-a medium for adsorption/oxidation of arsenic from water. J. Water Suppl. Res. Technol.—AQUA 2007, 56, 69–74. [Google Scholar] [CrossRef]
- Jang, M.; Chen, W.; Cannon, F.S. Preloading hydrous ferric oxide into granular activated carbon for arsenic removal. Environ. Sci. Technol. 2008, 42, 3369–3374. [Google Scholar] [CrossRef] [PubMed]
- Chen, J.; Yieconmi, S.; Blaydes, T.G. Equilibrium and kinetic studies of copper adsorption by activated carbon. Sep. Technol. 1996, 6, 133–146. [Google Scholar] [CrossRef]
- Chen, J.P.; Lin, M. Equilibrium and kinetics of metal adsorption onto a commercial H-type granular activated carbon: Experimental and modeling studies. Water Res. 2001, 35, 2385–2394. [Google Scholar] [CrossRef] [PubMed]
- Fifi, U.; Winiarski, T.; Emmanuel, E. Assessing the mobility of lead, copper and cadmium in a calcareous soil of Port-au-Prince, Haiti. Int. J. Environ. Res. Public Health 2013, 10, 5830–5843. [Google Scholar] [CrossRef] [PubMed]
- Dai, J.; Ren, F.L.; Tao, C.U. Adsorption of Cr(VI) and speciation of Cr(VI) and Cr(III) in aqueous solutions using chemically modified chitosan. Int. J. Environ. Res. Public Health 2012, 9, 1757–1770. [Google Scholar] [CrossRef] [PubMed]
- Ghodbane, I.; Hamdaoui, O. Removal of mercury(II) from aqueous media using Eucalyptus bark: Kinetic and equilibrium studies. J. Hazard. Mater. 2008, 160, 301–309. [Google Scholar] [CrossRef] [PubMed]
- Weber, J.; Morris, J.C. Kinetics of adsorption on carbon from solution. J. Sanit. Eng. Div. Proceed. Am. Soc. Civil Eng. 1963, 89, 31–59. [Google Scholar]
- McKay, G.; Otterburn, M.S.; Sweeney, A.G. The removal of color from effluent using various adsorbents III silica: Rate processes. Water Res. 1980, 14, 15–20. [Google Scholar] [CrossRef]
- Ahmad, M.A.; Puad, N.A.A.; Bello, O.S. Kinetic, equilibrium and thermodynamic studies of synthetic dye removal using pomegranate peel activated carbon prepared by microwave-induced KOH activation. Water Resour. Ind. 2014, 6, 18–35. [Google Scholar] [CrossRef]
- Zhang, X.; Bai, R. Mechanisms and kinetics of humic acid adsorption onto chitosan-coated granules. J. Colloid Interface Sci. 2003, 264, 30–38. [Google Scholar] [CrossRef] [PubMed]
- Zhang, X.; Bai, R. Adsorption behavior of humic acid onto polypyrrole-coated nylon 6,6 granules. J. Mater. Chem. 2002, 12, 2733–2739. [Google Scholar] [CrossRef]
- Alvarez-Puebla, R.A.; Garrido, J.J. Effect of pH on the aggregation of a gray humic acid in colloidal and solid states. Chemosphere 2005, 59, 659–667. [Google Scholar] [CrossRef] [PubMed]
- Sun, D.D.; Lee, P.F. TiO2 microsphere for the removal of humic acid from water: Complex surface adsorption mechanisms. Sep. Purif. Technol. 2012, 91, 30–37. [Google Scholar] [CrossRef]
- Tate, K.R.; Theng, B.K.G. Organic matter and its interaction with inorganic soil constituents. In Soils with Variable Charge, New Zealand Society Soil Science; Theng, B.K.G., Ed.; Soils Bureau: Lower Hutt, New Zealand, 1980; pp. 225–249. [Google Scholar]
- Shin, H.Y.; Monsallier, J.M.; Choppin, G.R. Spectroscopic and chemical characterizations of molecular size fractionated humic acid. Talanta 1999, 50, 641–647. [Google Scholar] [CrossRef] [PubMed]
- Fakour, H.; Lin, T.F. Experimental determination and modeling of arsenic complexation with humic and fulvic acids. J. Hazard Mat. 2014, 27, 569–578. [Google Scholar] [CrossRef]
- Lützenkirchen, J.; Preočanin, T.; Kovačević, D.; Tomišić, V.; Lövgren, L.; Kallay, N. Potentiometric titrations as a tool for surface charge determination. Croat. Chem. Acta. 2012, 85, 391–417. [Google Scholar] [CrossRef]
- Stumm, W.; Morgan, J.J. Aquatic Chemistry; John Wiley & Sons: New York, NY, USA, 1981. [Google Scholar]
- Aredes, S.; Klein, B.; Pawlik, M. The removal of arsenic from water using natural iron oxide minerals. J. Clean. Prod. 2012, 29–30, 208–213. [Google Scholar] [CrossRef]
- Cornell, R.; Schwertmann, U. The Iron Oxides: Structure, Properties, Reactions, Occurrences and Uses; Wiley-VCH: Weinheim, Germany, 2003. [Google Scholar]
- Gu, B.; Schmitt Chen, Z.; Liang, L.; McCarthy, J.F. Adsorption and desorption of different organic matter fractions on iron oxide. Geochim. Cosmochim. Acta 1995, 59, 219–229. [Google Scholar] [CrossRef]
- Giasuddin, A.M.; Kanel, S.; Choi, H. Adsorption of humic acid onto nanoscale zerovalent iron and its effect on arsenic removal. Environ. Sci. Technol. 2007, 41, 2022–2027. [Google Scholar] [CrossRef] [PubMed]
- Schwarzenbach, R.P.; Stierli, R.; Lanz, K.; Zeyer, J. Quinone and iron porphyrin mediated reduction of nitroaromatic compounds in homogeneous aqueous solution. Environ. Sci. Technol. 1990, 24, 1566–1574. [Google Scholar] [CrossRef]
- Scott, D.T.; McKnight, D.M.; Harris, B.E.L.; Kolesar, S.E.; Loveley, D.R. Quinone moieties cat as electron acceptors in the reduction of humic substances by humic-reducing microorganisms. Environ. Sci. Technol. 1998, 32, 2984–2989. [Google Scholar] [CrossRef]
- Welch, A.H.; Lico, M.S. Factors controlling As and U in shallow ground water, southern Carson Desert, Nevada. Appl. Geochem. 1997, 13, 521–539. [Google Scholar] [CrossRef]
- Macalady, D.L.; Ranville, J.F. The chemistry and geochemistry of natural organic matter (NOM). In Perspectives in Environmental Chemistry; Macalady, D.L., Ed.; Oxford University Press: New York, NY, USA, 1998; pp. 94–137. [Google Scholar]
- Shinozuka, T.; Shibata, M.; Yamaguchi, T. Molecular weight characterization of humic substances by MALDI-TOF-MS. J. Mass Spectrom. Soc. Jpn. 2004, 52, 29–32. [Google Scholar] [CrossRef]
- Ali, M.A.; Dzombak, D.A. Competitive sorption of simple organic acids and sulfate on goethite. Environ. Sci. Technol. 1996, 30, 1061–1071. [Google Scholar] [CrossRef]
- Hongshao, Z.; Stanforth, R. Competitive adsorption of phosphate andarsenate on goethite. Environ. Sci. Technol. 2001, 35, 4753–4757. [Google Scholar] [CrossRef] [PubMed]
- Veličković, D.; Dimitrijević, A.; Bihelović, F.; Bezbradica, D.; Knežević-Jugović, Z.; Milosavić, N. Novel glycoside of vanillyl alcohol, 4-hydroxy-3-methoxybenzyl-α-D-glucopyranoside: study of enzymatic synthesis, in vitro digestion and antioxidant activity. Bioprocess Biosyst. Eng. 2012, 35, 1107–1115. [Google Scholar] [CrossRef] [PubMed]
- Yean, S.; Cong, L. Effect of magnetite particle size on adsorption and desorption of arsenite and arsenate. J. Mater. Res. 2005, 20, 3255–3264. [Google Scholar] [CrossRef]
- Carabante, I. Arsenic (V) Adsorption on Iron Oxide Implications for Soil Remediation and Water Purification. Ph.D. Dissertation, Luleå University of Technology, Luleå, Sweden, 2012. [Google Scholar]
- Liang, L.; Morgan, J.J. Chemical aspects of iron oxide coagulation in water: Laboratory studies and implications for natural systems. Aqua. Sci. 1990, 52, 32–55. [Google Scholar] [CrossRef]
- Hur, J.; Schlautman, M.I. Molecular weight fractionation of humic substances by adsorption onto minerals. J. Colloid Interface Sci. 2003, 264, 313–321. [Google Scholar] [CrossRef] [PubMed]
- Tuutijärvi, T.; Repo, E.; Vahala, R.; Sillanpää, M.; Chen, G. Effect of competing anions on arsenate adsorption onto maghemite nanoparticles. Chin. J. Chem. Eng. 2012, 20, 505–514. [Google Scholar] [CrossRef]
- Deng, B.; Stone, A.T. Surface-Catalyzed chromium(VI) reduction: Reactivity comparisons of different organic reductants and different oxide surfaces. Environ. Sci. Technol. 1996, 30, 2484–2494. [Google Scholar] [CrossRef]
- Davis, C.C.; Knocke, W.R.; Edwards, M. Implications of aqueous silica sorption to iron hydroxide: Mobilization of iron colloids and interference with sorption of arsenate and humic substances. Environ. Sci. Technol. 2001, 35, 3158–3162. [Google Scholar] [CrossRef] [PubMed]
- Boyd, E.; Henry, F. Soil Fertility, 2nd ed.; CRC Press: Boca Raton, FL, USA, 1996; p. 304. [Google Scholar]
- Cesarano, J., III; Aksay, I.; Bleier, A. Stability of aqueous α-al203 suspensions with poly(methacry1ic acid) polyelectrolyte. J. Am. Cerum. Soc. 1988, 71, 250–255. [Google Scholar] [CrossRef]
- Kalasina, S.; Santore, M.M. Non-Specific adhesion on biomaterial surfaces driven by small amounts of protein adsorption. Colloids Surf. B: Biointerfaces 2009, 73, 229–236. [Google Scholar] [CrossRef] [PubMed]
- Wilkie, J.A.; Hering, J.G. Adsorption of As onto hydrous ferric oxide: effects of adsorbate/adsorbent ratios and co-occurring solutes. Colloid Surf. A-Physicochem. Eng. Asp. 1996, 107, 97–110. [Google Scholar] [CrossRef]
- Ko, I.; Davis, A.P.; Kim, J.U.; Kim, K.W. Effect of contact order on the adsorption of inorganic As species onto hematite in the presence of humic acid. J. Hazard Mat. 2007, 141, 53–60. [Google Scholar] [CrossRef]
- Ahmann, D.; Krumholz, L.R.; Hemond, H.F.; Lovely, D.R.; Morel, F.M.M. Microbial mobilization of As from sediments of the Aberjona Watershed. Environ. Sci. Technol. 1997, 31, 2923–2930. [Google Scholar] [CrossRef]
- Davis, A.P.; Bhatnagar, V. Adsorption of cadmium and humic acid onto hematite. Chemosphere 1995, 30, 243–256. [Google Scholar] [CrossRef]
- Zou, H.X.; Li, N.; Wang, L.H.; Yu, P.; Yan, X.F. Equilibrium and kinetic studies of Cd2+ biosorption by the brown algae sargassum fusiforme. PLoS ONE 2014, 9. [Google Scholar] [CrossRef] [PubMed]
- Jain, C.K.; Ram, D. Adsorption of metal ions on bed sediments. Hydrolog. Sci. J. 1997, 42, 713–723. [Google Scholar] [CrossRef]
- Staunton, S.; Clay, P.G.; Rees, L.V.C. Diffusion of Neptunium(V) in Clays. Radiochimica Acta. 1990, 49, 147–153. [Google Scholar]
- Fröhlich, D.R.; Amayri, S.; Drebert, J.; Reich, T. Influence of humic acid on Neptunium(V) sorption and diffusion in Opalinus Clay. Radiochimica Acta. 2013, 101, 553–560. [Google Scholar]
© 2014 by the authors; licensee MDPI, Basel, Switzerland. This article is an open access article distributed under the terms and conditions of the Creative Commons Attribution license (http://creativecommons.org/licenses/by/4.0/).
Share and Cite
Fakour, H.; Lin, T.-F. Effect of Humic Acid on As Redox Transformation and Kinetic Adsorption onto Iron Oxide Based Adsorbent (IBA). Int. J. Environ. Res. Public Health 2014, 11, 10710-10736. https://doi.org/10.3390/ijerph111010710
Fakour H, Lin T-F. Effect of Humic Acid on As Redox Transformation and Kinetic Adsorption onto Iron Oxide Based Adsorbent (IBA). International Journal of Environmental Research and Public Health. 2014; 11(10):10710-10736. https://doi.org/10.3390/ijerph111010710
Chicago/Turabian StyleFakour, Hoda, and Tsair-Fuh Lin. 2014. "Effect of Humic Acid on As Redox Transformation and Kinetic Adsorption onto Iron Oxide Based Adsorbent (IBA)" International Journal of Environmental Research and Public Health 11, no. 10: 10710-10736. https://doi.org/10.3390/ijerph111010710
APA StyleFakour, H., & Lin, T.-F. (2014). Effect of Humic Acid on As Redox Transformation and Kinetic Adsorption onto Iron Oxide Based Adsorbent (IBA). International Journal of Environmental Research and Public Health, 11(10), 10710-10736. https://doi.org/10.3390/ijerph111010710
