Anti-Biofilm Compounds Derived from Marine Sponges
Abstract
:1. Introduction
1.1. Biofilm Development and Defense
1.2. Biofilm Importance in Industry and Medicine
2. Anti-Biofilm Agents Derived from Marine Sponges
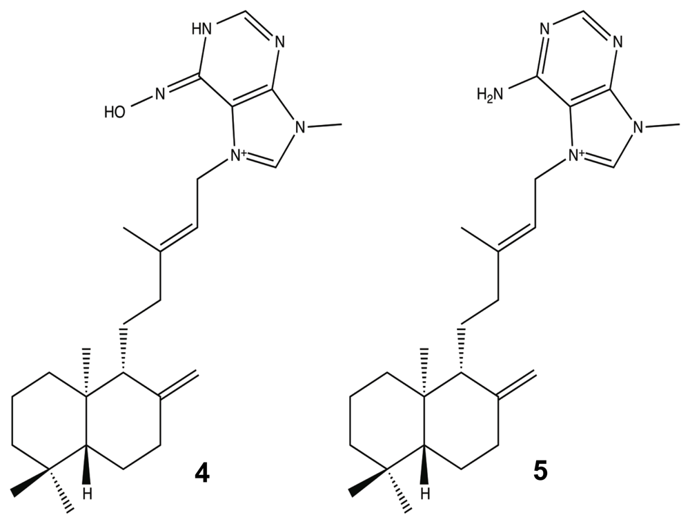
2.1. Ageloxime-D
2.2. Manoalides
2.3. Pyrrole-Imidazole Alkaloids
3. Anti-Biofilm Agents Clinical and Industrial Status
4. Future Perspectives
Acknowledgments
References
- Callow, ME; Callow, JA. Substratum location and zoospore behaviour in the fouling alga Enteromorpha. Biofouling 2000, 15, 49–56. [Google Scholar]
- Callow, JA; Callow, ME. Biofilms. In Antifouling Compounds; Fusetani, N, Clare, AS, Eds.; Springer: Berlin, Germany, 2006; Volume 42, pp. 141–169. [Google Scholar]
- Qian, PY; Lau, S; Dahms, HU; Dobretsov, S; Harder, T. Marine biofilms as mediators of colonization by marine macroorganisms: Implications for antifouling and aquaculture. Mar. Biotechnol 2007, 9, 399–410. [Google Scholar]
- Beech, IB; Sunner, J. Biocorrosion: Towards understanding interactions between biofilms and metals. Curr. Opin. Biotechnol 2004, 15, 181–186. [Google Scholar]
- Costerton, JW; Lewandowski, Z; Caldwell, DE; Korber, DR; Lappin-Scott, HM. Microbial biofilms. Annu. Rev. Microbiol 1995, 49, 711–745. [Google Scholar]
- Costerton, JW; Stewart, PS; Greenberg, EP. Bacterial biofilms: A common cause of persistent infections. Science 1999, 284, 1318–1322. [Google Scholar]
- Davies, D. Understanding biofilm resistance to antibacterial agents. Nat. Rev. Drug Discov 2003, 2, 114–122. [Google Scholar]
- Donlan, RM; Costerton, JW. Biofilms: Survival mechanisms of clinically relevant microorganisms. Clin. Microbiol. Rev 2002, 15, 167–193. [Google Scholar]
- Musk, DJ, Jr; Hergenrother, PJ. Chemical countermeasures for the control of bacterial biofilms: Effective compounds and promising targets. Curr. Med. Chem 2006, 13, 2163–2177. [Google Scholar]
- Centers for Disease Control and Prevention, Issues in Healthcare Settings: CDC’s Seven Healthcare Safety Challenges; United States Department of Health and Human Services: Atlanta, GA, USA, 2001.
- Armstrong, E; Boyd, KG; Burgess, JG. Prevention of Marine Biofouling Using Natural Compounds from Marine Organisms. In Biotechnology Annual Review; Elsevier: Amsterdam, The Netherlands, 2000; Volume 6, pp. 221–241. [Google Scholar]
- Donia, M; Hamann, MT. Marine natural products and their potential applications as anti-infective agents. Lancet Infect. Dis 2003, 3, 338–348. [Google Scholar]
- Sipkema, D; Franssen, M; Osinga, R; Tramper, J; Wijffels, R. Marine Sponges as Pharmacy. Mar. Biotechnol 2005, 7, 142–162. [Google Scholar]
- Koopmans, M; Martens, D; Wijffels, R. Towards commercial production of sponge medicines. Mar. Drugs 2009, 7, 787–802. [Google Scholar]
- Proksch, P. Defensive roles for secondary metabolites from marine sponges and sponge-feeding nudibranchs. Toxicon 1994, 32, 639–655. [Google Scholar]
- Ruzicka, R; Gleason, D. Latitudinal variation in spongivorous fishes and the effectiveness of sponge chemical defenses. Oecologia 2008, 154, 785–794. [Google Scholar]
- Wulff, JL. Ecological interactions of marine sponges. Can. J. Zool 2006, 84, 146–166. [Google Scholar]
- Costerton, W; Veeh, R; Shirtliff, M; Pasmore, M; Post, C; Ehrlich, G. The application of biofilm science to the study and control of chronic bacterial infections. J. Clin. Invest 2003, 112, 1466–1477. [Google Scholar]
- Davey, ME; O’Toole, GA. Microbial biofilms: from ecology to molecular genetics. Microbiol. Mol. Biol. Rev 2000, 64, 847–867. [Google Scholar]
- Hall-Stoodley, L; Costerton, JW; Stoodley, P. Bacterial biofilms: From the natural environment to infectious diseases. Nat. Rev. Microbiol 2004, 2, 95–108. [Google Scholar]
- Faulkner, DJ. Marine natural products. Nat. Prod. Rep 2002, 19, 1–49. [Google Scholar]
- Pace, JL; Rupp, ME; Finch, RG. Biofilms, Infection, and Antimicrobial Therapy; CRC Press: Boca Raton, FL USA, 2006. [Google Scholar]
- Stoodley, P; Sauer, K; Davies, DG; Costerton, JW. Biofims as complex differentiated communities. Annu. Rev. Microbiol 2002, 56, 187–209. [Google Scholar]
- Parsek, MR; Singh, PK. Bacterial biofilms: An emerging link to disease pathogenesis. Annu. Rev. Microbiol 2003, 57, 677–701. [Google Scholar]
- Camilli, A; Bassler, BL. Bacterial small-molecule signaling pathways. Science 2006, 311, 1113–1116. [Google Scholar]
- Henke, JM; Bassler, BL. Three parallel quorum-sensing systems regulate gene expression in vibrio harveyi. J. Bacteriol 2004, 186, 6902–6914. [Google Scholar]
- Jayaraman, A; Wood, TK. Bacterial quorum sensing: signals, circuits, and implications for biofilms and disease. Annu. Rev. Biomed. Eng 2008, 10, 145–167. [Google Scholar]
- Parsek, MR; Greenberg, EP. Acyl-homoserine lactone quorum sensing in Gram-negative bacteria: A signaling mechanism involved in associations with higher organisms. Proc. Natl. Acad. Sci. USA 2000, 97, 8789–8793. [Google Scholar]
- Sauer, K; Camper, AK; Ehrlich, GD; Costerton, JW; Davies, DG. Pseudomonas aeruginosa displays multiple phenotypes during development as a biofilm. J. Bacteriol 2002, 184, 1140–1154. [Google Scholar]
- Lappin-Scott, HM; Costerton, JW. Bacterial biofilms and surface fouling. Biofouling 1989, 1, 323–342. [Google Scholar]
- Blazquez, J. Hypermutation as a factor contributing to the acquisition of antimicrobial resistance. Clin. Infect. Dis 2003, 37, 1201–1209. [Google Scholar]
- Hausner, M; Wuertz, S. High rates of conjugation in bacterial biofilms as determined by quantitative in situ analysis. Appl. Environ. Microbiol 1999, 65, 3710–3713. [Google Scholar]
- Velkov, VV. New insights into the molecular mechanisms of evolution: Stress increases genetic diversity. Mol. Biol. (Mosk. ) 2002, 36, 209–215. [Google Scholar]
- Mah, T-FC; O’Toole, GA. Mechanisms of biofilm resistance to antimicrobial agents. Trends Microbiol 2001, 9, 34–39. [Google Scholar]
- Mah, T-F; Pitts, B; Pellock, B; Walker, GC; Stewart, PS; O’Toole, GA. A genetic basis for Pseudomonas aeruginosa biofilm antibiotic resistance. Nature 2003, 426, 306–310. [Google Scholar]
- Walters, MC, III; Roe, F; Bugnicourt, A; Franklin, MJ; Stewart, PS. Contributions of antibiotic penetration, oxygen limitation, and low metabolic activity to tolerance of pseudomonas aeruginosa biofilms to ciprofloxacin and tobramycin. Antimicrob. Agents Chemother 2003, 47, 317–323. [Google Scholar]
- Costerton, JW; Cheng, KJ; Geesey, GG; Ladd, TI; Nickel, JC; Dasgupta, M; Marrie, TJ. Bacterial biofilms in nature and disease. Annu. Rev. Microbiol 1987, 41, 435–464. [Google Scholar]
- Purevdorj-Gage, B; Costerton, WJ; Stoodley, P. Phenotypic differentiation and seeding dispersal in non-mucoid and mucoid Pseudomonas aeruginosa biofilms. Microbiology 2005, 151, 1569–1576. [Google Scholar]
- Keren, I; Kaldalu, N; Spoering, A; Wang, Y; Lewis, K. Persister cells and tolerance to antimicrobials. FEMS Microbiol. Lett 2004, 230, 13–18. [Google Scholar]
- Lewis, K. Riddle of biofilm resistance. Antimicrob. Agents Chemother 2001, 45, 999–1007. [Google Scholar]
- Spoering, AL; Lewis, K. Biofilms and planktonic cells of pseudomonas aeruginosa have similar resistance to killing by antimicrobials. J. Bacteriol 2001, 183, 6746–6751. [Google Scholar]
- Percival, SL; Hill, KE; Malic, S; Thomas, DW; Williams, DW. Antimicrobial tolerance and the significance of persister cells in recalcitrant chronic wound biofilms. Wound Repair Regen 2011, 19, 1–9. [Google Scholar]
- Characklis, WG; James, D; Bryers, IB. Bioengineering report: Fouling biofilm development: A process analysis. Biotechnol. Bioeng 2009, 102, 309–347. [Google Scholar]
- Chambers, LD; Stokes, KR; Walsh, FC; Wood, RJK. Modern approaches to marine antifouling coatings. Surf. Coat. Technol 2006, 201, 3642–3652. [Google Scholar]
- Kumar, CG; Anand, SK. Significance of microbial biofilms in food industry: A review. Int. J. Food Microbiol 1998, 42, 9–27. [Google Scholar]
- Abbott, A; Abel, PD; Arnold, DW; Milne, A. Cost-benefit analysis of the use of TBT: The case for a treatment approach. Sci. Total Environ 2000, 258, 5–19. [Google Scholar]
- Evans, SM; Leksono, T; McKinnell, PD. Tributyltin pollution: A diminishing problem following legislation limiting the use of TBT-based anti-fouling paints. Mar. Pollut. Bull 1995, 30, 14–21. [Google Scholar]
- Fusetani, N. Biofouling and antifouling. Nat. Prod. Rep 2004, 21, 94–104. [Google Scholar]
- Fusetani, N. Antifouling marine natural products. Nat. Prod. Rep 2011, 28, 400–410. [Google Scholar]
- McDougald, D; Rice, S; Kjelleberg, S. Bacterial quorum sensing and interference by naturally occurring biomimics. Anal. Bioanal. Chem 2007, 387, 445–453. [Google Scholar]
- National Institute of Allergy and Infectious Diseases, The Problem of Antimicrobial Resistance; United States Department of Health and Human Services: Washington, DC, USA, 2006.
- Singh, PK; Schaefer, AL; Parsek, MR; Moninger, TO; Welsh, MJ; Greenberg, EP. Quorum-sensing signals indicate that cystic fibrosis lungs are infected with bacterial biofilms. Nature 2000, 407, 762–764. [Google Scholar]
- Brandl, K; Plitas, G; Mihu, CN; Ubeda, C; Jia, T; Fleisher, M; Schnabl, B; DeMatteo, RP; Pamer, EG. Vancomycin-resistant enterococci exploit antibiotic-induced innate immune deficits. Nature 2008, 455, 804–807. [Google Scholar]
- Neu, HC. The crisis in antibiotic resistance. Science 1992, 257, 1064–1073. [Google Scholar]
- Rasmussen, TB; Givskov, M. Quorum-sensing inhibitors as anti-pathogenic drugs. Int. J. Med. Microbiol 2006, 296, 149–161. [Google Scholar]
- Darouiche, RO; Raad, II; Heard, SO; Thornby, JI; Wenker, OC; Gabrielli, A; Berg, J; Khardori, N; Hanna, H; Hachem, R; Harris, RL; Mayhall, G. A comparison of two antimicrobial-impregnated central venous catheters. N. Engl. J. Med 1999, 340, 1–8. [Google Scholar]
- Donlan, RM. Biofilm formation: A clinically relevant microbiological process. Clin. Infect. Dis 2001, 33, 1387–1392. [Google Scholar]
- Stewart, PS; Costerton, JW. Antibiotic resistance of bacteria in biofilms. Lancet 2001, 358, 135–138. [Google Scholar]
- Bandyk, DF; Esses, GE. Prosthetic graft infection. Surg. Clin. North Am 1994, 74, 571–590. [Google Scholar]
- Bryers, JD; Jarvis, RA; Lebo, J; Prudencio, A; Kyriakides, TR; Uhrich, K. Biodegradation of poly(anhydride-esters) into non-steroidal anti-inflammatory drugs and their effect on Pseudomonas aeruginosa biofilms in vitro and on the foreign-body response in vivo. Biomaterials 2006, 27, 5039–5048. [Google Scholar]
- Farber, BF; Wolff, AG. The use of salicylic acid to prevent the adherence of Escherichia coli to silastic catheters. J. Urol 1993, 149, 667–670. [Google Scholar]
- Gottenbos, B; van der Mei, HC; Klatter, F; Nieuwenhuis, P; Busscher, HJ. In vitro and in vivo antimicrobial activity of covalently coupled quaternary ammonium silane coatings on silicone rubber. Biomaterials 2002, 23, 1417–1423. [Google Scholar]
- Jansen, B; Jansen, S; Peters, G; Pulverer, G. In-vitro efficacy of a central venous catheter (“Hydrocath”) loaded with teicoplanin to prevent bacterial colonization. J. Hosp. Infect 1992, 22, 93–107. [Google Scholar]
- Kamal, GD; Pfaller, MA; Rempe, LE; Jebson, PJR. Reduced intravascular catheter infection by antibiotic bonding. JAMA 1991, 265, 2364–2368. [Google Scholar]
- Schierholz, JM; Bach, A; Fleck, C; Beuth, J; Konig, D; Pulverer, G. Measurement of ultrasonic-induced chlorhexidine liberation: correlation of the activity of chlorhexidine-silversulfadiazine- impregnated catheters to agar roll technique and broth culture. J. Hosp. Infect 2000, 44, 151–153. [Google Scholar]
- Teichberg, S; Farber, BF; Wolff, AG; Roberts, B. Salicylic acid decreases extracellular biofilm production by staphylococcus epidermidis: Electron microscopic analysis. J. Infect. Dis 1993, 167, 1501–1503. [Google Scholar]
- Thornton, J; Todd, NJ; Webster, NR. Central venous line sepsis in the intensive care unit—A study comparing antibiotic coated catheters with plain catheters. Anaesthesia 1996, 51, 1018–1020. [Google Scholar]
- Appelbaum, PC; Jacobs, MR. Recently approved and investigational antibiotics for treatment of severe infections caused by Gram-positive bacteria. Curr. Opin. Microbiol 2005, 8, 510–517. [Google Scholar]
- Conly, JM; Johnston, BL. Where are all the new antibiotics? The new antibiotic paradox. Can. J. Infect. Dis 2005, 16, 159–160. [Google Scholar]
- Braekman, JC; Daloze, D. Chemical defence in sponges. Anglais 1986, 58, 357–364. [Google Scholar]
- Assmann, M; Lichte, E; Pawlik, JR; Köck, MG. Chemical defenses of the Caribbean sponges Agelas wiedenmayeri and Agelas conifera. Mar. Ecol. Prog. Ser 2000, 207, 255–262. [Google Scholar]
- Chanas, B; Pawlik, JR; Lindel, T; Fenical, W. Chemical defense of the Caribbean sponge Agelas clathrodes (Schmidt). J. Exp. Mar. Biol. Ecol 1997, 208, 185–196. [Google Scholar]
- Pawlik, JR. Marine invertebrate chemical defenses. Chem. Rev 1993, 93, 1911–1922. [Google Scholar]
- Engel, S; Pawlik, JR. Allelopathic activities of sponge extracts. Mar. Ecol. Prog. Ser 2000, 207, 273–281. [Google Scholar]
- Porter, JW; Targett, NM. Allelochemical interactions between sponges and corals. Biol. Bull 1988, 175, 230–239. [Google Scholar]
- Sullivan, B; Djura, P; McIntyre, DE; Faulkner, DJ. Antimicrobial constituents of the sponge Siphonodictyon coralliphagum. Tetrahedron 1981, 37, 979–982. [Google Scholar]
- Manzo, E; Ciavatta, ML; Villani, G; Varcamonti, M; Sayem, SMA; van Soest, R; Gavagnin, M. Bioactive Terpenes from Spongia officinalis. J. Nat. Prod 2011, 74, 1241–1247. [Google Scholar]
- Hertiani, T; Edrada-Ebel, R; Ortlepp, S; van Soest, RWM; de Voogd, NJ; Wray, V; Hentschel, U; Kozytska, S; Muller, WEG; Proksch, P. From anti-fouling to biofilm inhibition: New cytotoxic secondary metabolites from two Indonesian Agelas sponges. Bioorg. Med. Chem 2010, 18, 1297–1311. [Google Scholar]
- Skindersoe, M; Ettinger-Epstein, P; Rasmussen, T; Bjarnsholt, T; de Nys, R; Givskov, M. Quorum Sensing Antagonism from Marine Organisms. Mar. Biotechnol 2008, 10, 56–63. [Google Scholar]
- Huigens, RW, III; Richards, JJ; Parise, G; Ballard, TE; Zeng, W; Deora, R; Melander, C. Inhibition of pseudomonas aeruginosa biofilm formation with bromoageliferin analogues. J. Am. Chem. Soc 2007, 129, 6966–6967. [Google Scholar]
- Melander, C; Moeller, PDR; Ballard, TE; Richards, JJ; Huigens, RW, III; Cavanagh, J. Evaluation of dihydrooroidin as an antifouling additive in marine paint. Int. Biodeterior. Biodegrad 2009, 63, 529–532. [Google Scholar]
- Richards, JJ; Huigens, RW, III; Ballard, TE; Basso, A; Cavanagh, J; Melander, C. Inhibition and dispersion of proteobacterial biofilms. Chem Commun (Camb) 2008, 1698–1700. [Google Scholar]
- Rogers, SA; Huigens, RW, III; Cavanagh, J; Melander, C. Synergistic effects between conventional antibiotics and 2-aminoimidazole-derived antibiofilm agents. Antimicrob. Agents Chemother 2010, 54, 2112–2118. [Google Scholar]
- Ebada, SS; Lin, W; Proksch, P. Bioactive sesterterpenes and triterpenes from marine sponges: occurrence and pharmacological significance. Mar. Drugs 2010, 8, 313–346. [Google Scholar]
- Gordaliza, M. Terpenyl-Purines from the Sea. Mar. Drugs 2009, 7, 833–849. [Google Scholar]
- Forte, B; Malgesini, B; Piutti, C; Quartieri, F; Scolaro, A; Papeo, G. A submarine journey: The pyrrole-imidazole alkaloids. Mar. Drugs 2009, 7, 705–753. [Google Scholar]
- Assmann, M; van Soest, RWM; Köck, M. New antifeedant bromopyrrole alkaloid from the caribbean sponge stylissa caribica. J. Nat. Prod 2001, 64, 1345–1347. [Google Scholar]
- Pawlik, JR; Chanas, B; Toonen, RJ; Fenical, W. Defenses of Caribbean sponges against predatory reef fish. I. Chemical deterrency. Mar. Ecol. Prog. Ser 1995, 127, 183–194. [Google Scholar]
- Kelly, SR; Jensen, PR; Henkel, TP; Fenical, W; Pawlik, JR. Effects of Caribbean sponge extracts on bacterial attachment. Aquat. Microb. Ecol 2003, 31, 175–182. [Google Scholar]
- Ballard, TE; Richards, JJ; Wolfe, AL; Melander, C. Synthesis and antibiofilm activity of a second-generation reverse-amide oroidin library: A structure-activity relationship study. Chem. Eur. J 2008, 14, 10745–10761. [Google Scholar]
- Richards, JJ; Ballard, TE; Huigens, RW; Melander, C. Synthesis and screening of an oroidin library against pseudomonas aeruginosa biofilms. ChemBioChem 2008, 9, 1267–1279. [Google Scholar]
- Richards, JJ; Reyes, S; Stowe, SD; Tucker, AT; Ballard, TE; Mathies, LD; Cavanagh, J; Melander, C. Amide isosteres of oroidin: Assessment of antibiofilm activity and C. elegans toxicity. J. Med. Chem 2009, 52, 4582–4585. [Google Scholar]
- Rogers, SA; Melander, C. Construction and screening of a 2-aminoimidazole library identifies a small molecule capable of inhibiting and dispersing bacterial biofilms across order, class, and phylum. Angew. Chem. Int. Ed. Engl 2008, 47, 5229–5231. [Google Scholar]
- Lindel, T; Hoffmann, H; Hochgürtel, M; Pawlik, JR. Structure-activity relationship of inhibition of fish feeding by sponge-derived and synthetic pyrrole-imidazole alkaloids. J. Chem. Ecol 2000, 26, 1477–1496. [Google Scholar]
- Eder, C; Proksch, P; Wray, V; van Soest, RWM; Ferdinandus, E; Pattisina, LA. Sudarsono new bromopyrrole alkaloids from the indopacific sponge agelas nakamurai. J. Nat. Prod 1999, 62, 1295–1297. [Google Scholar]
- Ichiba, T; Scheuer, PJ; Kelly-Borges, M. Three bromotyrosine derivatives, one terminating in an unprecedented diketocyclopentenylidene enamine. J. Org. Chem 1993, 58, 4149–4150. [Google Scholar]
- Keifer, PA; Schwartz, RE; Koker, MES; Hughes, RG; Rittschof, D; Rinehart, KL. Bioactive bromopyrrole metabolites from the Caribbean sponge Agelas conifera. J. Org. Chem 1991, 56, 2965–2975. [Google Scholar]
- Kinnel, RB; Gehrken, H-P; Swali, R; Skoropowski, G; Scheuer, PJ. Palau’amine and its congeners: A family of bioactive bisguanidines from the marine sponge stylotella aurantium. J. Org. Chem 1998, 63, 3281–3286. [Google Scholar]
- Ortlepp, S; Pedpradap, S; Dobretsov, S; Proksch, P. Antifouling activity of sponge-derived polybrominated diphenyl ethers and synthetic analogues. Biofouling 2008, 24, 201–208. [Google Scholar]
- Fu, X; Schmitz, FJ; Tanner, RS; Kelly-Borges, M. Agelasines H and I, 9-Methyladeninecontaining diterpenoids from an Agelas sponge. J. Nat. Prod 1998, 61, 548–550. [Google Scholar]
- Appenzeller, J; Mihci, G; Martin, M-T; Gallard, J-F; Menou, J-L; Boury-Esnault, N; Hooper, J; Petek, S; Chevalley, S; Valentin, A; Zaparucha, A; Al-Mourabit, A; Debitus, C. Agelasines J, K, and L from the solomon islands marine sponge Agelas cf mauritiana. J. Nat. Prod 2008, 71, 1451–1454. [Google Scholar]
- Vik, A; Hedner, E; Charnock, C; Tangen, LW; Samuelsen, Ø; Larsson, R; Bohlin, L; Gundersen, L-L. Antimicrobial and cytotoxic activity of agelasine and agelasimine analogs. Bioorg. Med. Chem 2007, 15, 4016–4037. [Google Scholar]
- Bennett, CF; Mong, S; Clarke, MA; Kruse, LI; Crooke, ST. Differential effects of manoalide on secreted and intracellular phospholipases. Biochem. Pharmacol 1987, 36, 733–740. [Google Scholar]
- de Silva, ED; Scheuer, PJ. Manoalide, an antibiotic sesterterpenoid from the marine sponge (polejaeff). Tetrahedron Lett 1980, 21, 1611–1614. [Google Scholar]
- de Freitas, JC; Blankemeier, LA; Jacobs, RS. In vitro inactivation of the neurotoxic action of beta-bungarotoxin by the marine natural product, manoalide. Cell. Mol. Life Sci 1984, 40, 864–865. [Google Scholar]
- Glaser, KB; de Carvalho, MS; Jacobs, RS; Kernan, MR; Faulkner, DJ. Manoalide: structure-activity studies and definition of the pharmacophore for phospholipase A2 inactivation. Mol. Pharmacol 1989, 36, 782–788. [Google Scholar]
- Lombardo, D; Dennis, EA. Cobra venom phospholipase A2 inhibition by manoalide. A novel type of phospholipase inhibitor. J. Biol. Chem 1985, 260, 7234–7240. [Google Scholar]
- Ortiz, AR; Pisabarro, MT; Gago, F. Molecular model of the interaction of bee venom phospholipase A2 with manoalide. J. Med. Chem 1993, 36, 1866–1879. [Google Scholar]
- de Silva, ED; Scheuer, PJ. Three new sesterterpenoid antibiotics from the marine sponge (polejaff). Tetrahedron Lett 1981, 22, 3147–3150. [Google Scholar]
- Ettinger-Epstein, P; Motti, CA; de Nys, R; Wright, AD; Battershill, CN; Tapiolas, DM. Acetylated sesterterpenes from the great barrier reef sponge luffariella variabilis. J. Nat. Prod 2007, 70, 648–651. [Google Scholar]
- Hoffmann, H; Lindel, T. Synthesis of the pyrrole-imidazole alkaloids. Synthesis 2003, 2003, 1753–1783. [Google Scholar]
- Bickmeyer, U; Drechsler, C; Köck, M; Assmann, M. Brominated pyrrole alkaloids from marine Agelas sponges reduce depolarization-induced cellular calcium elevation. Toxicon 2004, 44, 45–51. [Google Scholar]
- Wilson, DM; Puyana, M; Fenical, W; Pawlik, JR. Chemical defense of the caribbean reef sponge axinella corrugata against predatory fishes. J. Chem. Ecol 1999, 25, 2811–2823. [Google Scholar]
- Yamada, A; Kitamura, H; Yamaguchi, K; Fukuzawa, S; Kamijima, C; Yazawa, K; Kuramoto, M; Wang, G-Y-S; Fujitani, Y; Uemura, D. Development of chemical substances regulating biofilm formation. Bull. Chem. Soc. Jpn 1997, 70, 3061–3069. [Google Scholar]
- Al Mourabit, A; Potier, P. Sponge’s molecular diversity through the ambivalent reactivity of 2-aminoimidazole: A universal chemical pathway to the oroidin-based pyrrole-imidazole alkaloids and their palau’amine congeners. Eur. J. Org. Chem 2001, 2001, 237–243. [Google Scholar]
- Köck, M; Grube, A; Seiple, IB; Baran, PS. The pursuit of palau’amine. Angew. Chem. Int. Ed. Engl 2007, 46, 6586–6594. [Google Scholar]
- Huigens, RW, III; Ma, L; Gambino, C; Moeller, PDR; Basso, A; Cavanagh, J; Wozniak, DJ; Melander, C. Control of bacterial biofilms with marine alkaloid derivatives. Mol. Biosyst 2008, 4, 614–621. [Google Scholar]
- Olofson, A; Yakushijin, K; Horne, DA. Synthesis of marine sponge alkaloids oroidin, clathrodin, and dispacamides. preparation and transformation of 2-amino-4,5-dialkoxy-4, 5-dihydroimidazolines from 2-aminoimidazoles. J. Org. Chem 1998, 63, 1248–1253. [Google Scholar]
- Richards, JJ; Ballard, TE; Melander, C. Inhibition and dispersion of pseudomonas aeruginosa biofilms with reverse amide 2-aminoimidazole oroidin analogues. Org. Biomol. Chem 2008, 6, 1356–1363. [Google Scholar]
- Bergmann, W; Feeney, RJ. The Isolation of a new thymine pentoside from sponges. J. Am. Chem. Soc 1950, 72, 2809–2810. [Google Scholar]
- Laport, MS; Santos, OCS; Muricy, G. Marine sponges: Potential sources of new antimicrobial drugs. Curr. Pharm. Biotechnol 2009, 10, 86–105. [Google Scholar]
- König, GM; Wright, AD. Marine natural products research: current directions and future potential. Planta Med 1996, 62, 193–211. [Google Scholar]
- Bickmeyer, U. Bromoageliferin and dibromoageliferin, secondary metabolites from the marine sponge Agelas conifera, inhibit voltage-operated, but not store-operated calcium entry in PC12 cells. Toxicon 2005, 45, 627–632. [Google Scholar]
- Ahmer, BMM. Cell-to-cell signalling in escherichia coli and salmonella enterica. Mol. Microbiol 2004, 52, 933–945. [Google Scholar]
- Lee, J; Jayaraman, A; Wood, T. Indole is an inter-species biofilm signal mediated by SdiA. BMC Microbiol 2007, 7, 42. [Google Scholar]
- Ryan, RP; Dow, JM. Diffusible signals and interspecies communication in bacteria. Microbiology 2008, 154, 1845–1858. [Google Scholar]
- Artal-Sanz, M; de Jong, L; Tavernarakis, N. Caenorhabditis elegans: A versatile platform for drug discovery. Biotechnol. J 2006, 1, 1405–1418. [Google Scholar]
- Boyd, WA; McBride, SJ; Rice, JR; Snyder, DW; Freedman, JH. A high-throughput method for assessing chemical toxicity using a Caenorhabditis elegans reproduction assay. Toxicol. Appl. Pharmacol 2010, 245, 153–159. [Google Scholar]
- Burns, AR; Kwok, TCY; Howard, A; Houston, E; Johanson, K; Chan, A; Cutler, SR; McCourt, P; Roy, PJ. High-throughput screening of small molecules for bioactivity and target identification in Caenorhabditis elegans. Nat. Protoc 2006, 1, 1906–1914. [Google Scholar]
- Kaletta, T; Hengartner, MO. Finding function in novel targets: C. elegans as a model organism. Nat. Rev. Drug. Discov 2006, 5, 387–399. [Google Scholar]
- Leung, MCK; Williams, PL; Benedetto, A; Au, C; Helmcke, KJ; Aschner, M; Meyer, JN. Caenorhabditis elegans: An emerging model in biomedical and environmental toxicology. Toxicol. Sci 2008, 106, 5–28. [Google Scholar]
- National Research Council, Scientific Frontiers in Developmental Toxicology and Risk Assessment; National Academy Press: Washington, DC, USA, 2000.
- National Toxicology Program, A National Toxicology Program for the 21st Century: Roadmap to Achieve the NTP Vision; National Institute of Environmental Health Sciences: Research Triangle Park, NC, USA, 2004.
- Bischof, LJ; Huffman, DL; Aroian, RV. Assays for Toxicity Studies in C elegans with Bt Crystal Proteins In C elegans: Methods and Applications; Strange, K, Ed.; Humana Press: Totowa, NJ USA, 2006; Volume 351, pp. 139–154. [Google Scholar]
- Breger, J; Fuchs, BB; Aperis, G; Moy, TI; Ausubel, FM; Mylonakis, E. Antifungal chemical compounds identified using a C. elegans pathogenicity assay. PLoS Pathog 2007, 3, e18. [Google Scholar]
- Ibiam, U; Grant, A. RNA/DNA ratios as a sublethal endpoint for large-scale toxicity tests with the nematode Caenorhabditis elegans. Environ. Toxicol. Chem 2005, 24, 1155–1159. [Google Scholar]
- Moy, TI; Ball, AR; Anklesaria, Z; Casadei, G; Lewis, K; Ausubel, FM. Identification of novel antimicrobials using a live-animal infection model. Proc. Natl. Acad. Sci. USA 2006, 103, 10414–10419. [Google Scholar]
- Irazoqui, JE; Troemel, ER; Feinbaum, RL; Luhachack, LG; Cezairliyan, BO; Ausubel, FM. Distinct Pathogenesis and Host Responses during Infection of C. elegans by P. aeruginosa and S. aureus. PLoS Pathog 2010, 6, e1000982. [Google Scholar]
- Tan, M-W; Mahajan-Miklos, S; Ausubel, FM. Killing of Caenorhabditis elegans by Pseudomonas aeruginosa used to model mammalian bacterial pathogenesis. Proc. Natl. Acad. Sci. USA 1999, 96, 715–720. [Google Scholar]

















© 2011 by the authors; licensee MDPI, Basel, Switzerland This article is an open-access article distributed under the terms and conditions of the Creative Commons Attribution license (http://creativecommons.org/licenses/by/3.0/).
Share and Cite
Stowe, S.D.; Richards, J.J.; Tucker, A.T.; Thompson, R.; Melander, C.; Cavanagh, J. Anti-Biofilm Compounds Derived from Marine Sponges. Mar. Drugs 2011, 9, 2010-2035. https://doi.org/10.3390/md9102010
Stowe SD, Richards JJ, Tucker AT, Thompson R, Melander C, Cavanagh J. Anti-Biofilm Compounds Derived from Marine Sponges. Marine Drugs. 2011; 9(10):2010-2035. https://doi.org/10.3390/md9102010
Chicago/Turabian StyleStowe, Sean D., Justin J. Richards, Ashley T. Tucker, Richele Thompson, Christian Melander, and John Cavanagh. 2011. "Anti-Biofilm Compounds Derived from Marine Sponges" Marine Drugs 9, no. 10: 2010-2035. https://doi.org/10.3390/md9102010
APA StyleStowe, S. D., Richards, J. J., Tucker, A. T., Thompson, R., Melander, C., & Cavanagh, J. (2011). Anti-Biofilm Compounds Derived from Marine Sponges. Marine Drugs, 9(10), 2010-2035. https://doi.org/10.3390/md9102010
