Leucine Aminopeptidase, β-Glucosidase and Alkaline Phosphatase Activity Rates and Their Significance in Nutrient Cycles in Some Coastal Mediterranean Sites
Abstract
:1. Introduction
2. Results and Discussion
2.1. Northern Adriatic Basin
2.2. Gulf of Manfredonia
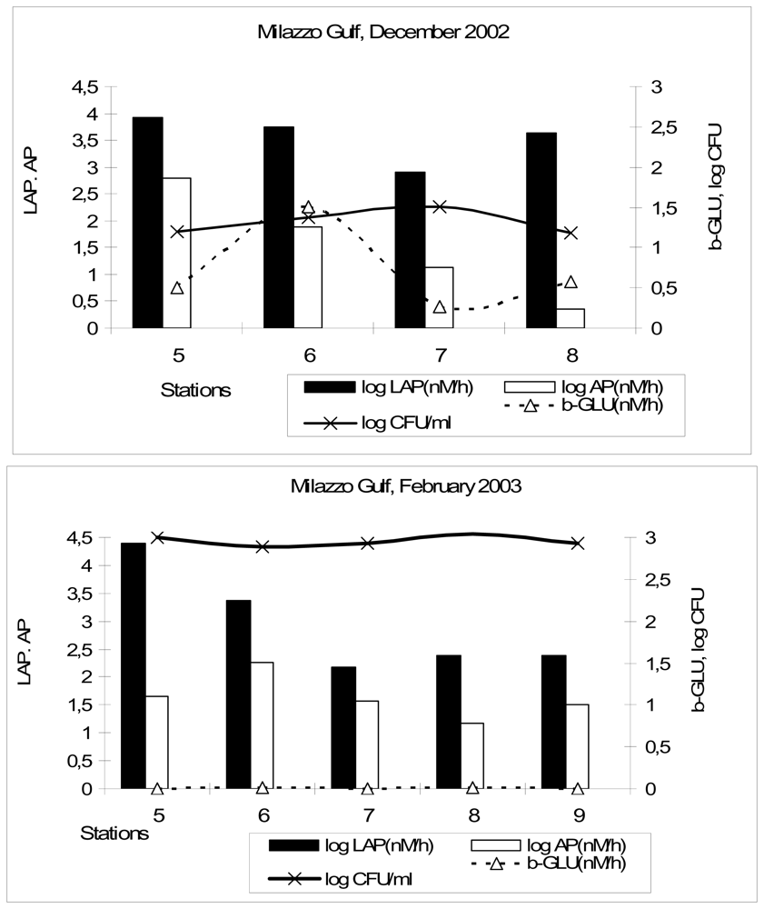
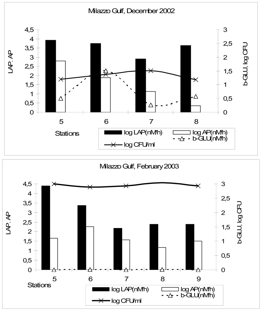
2.3. Gulf of Milazzo
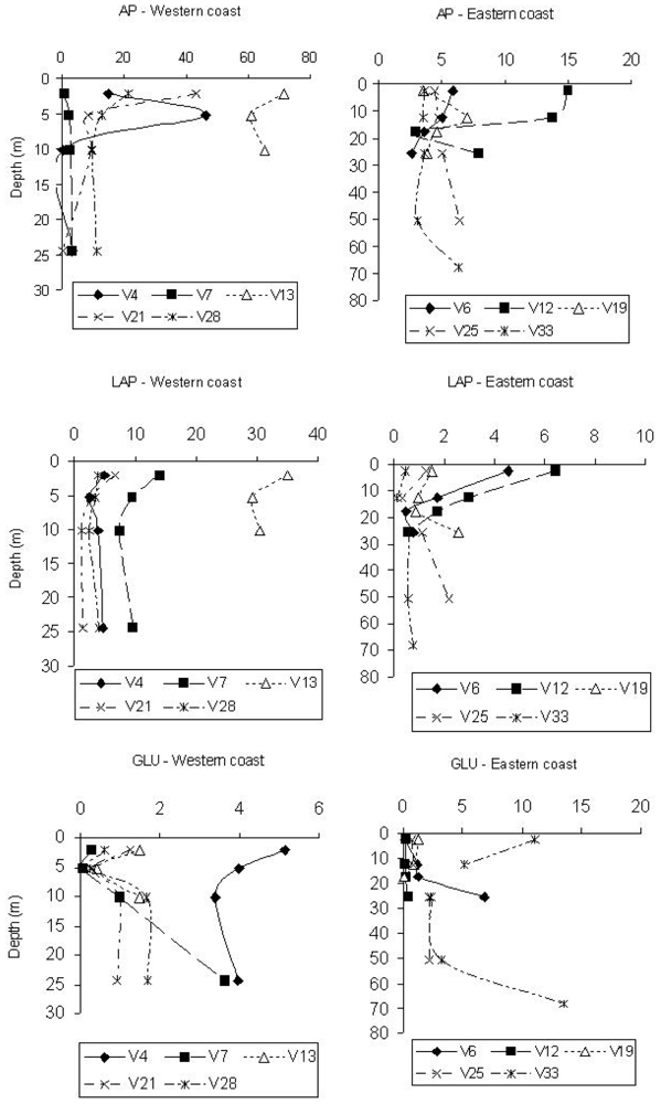
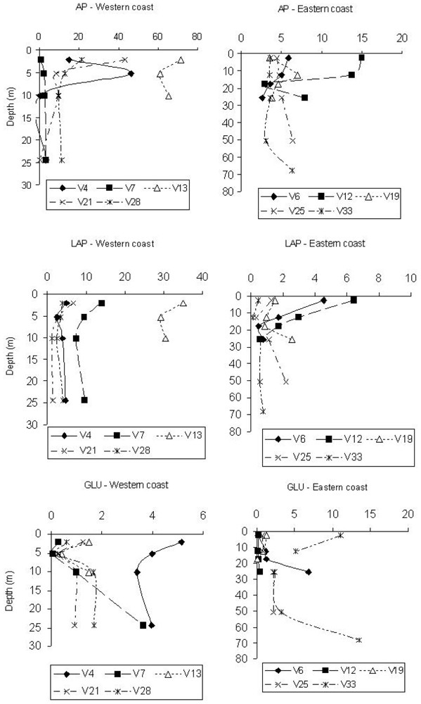
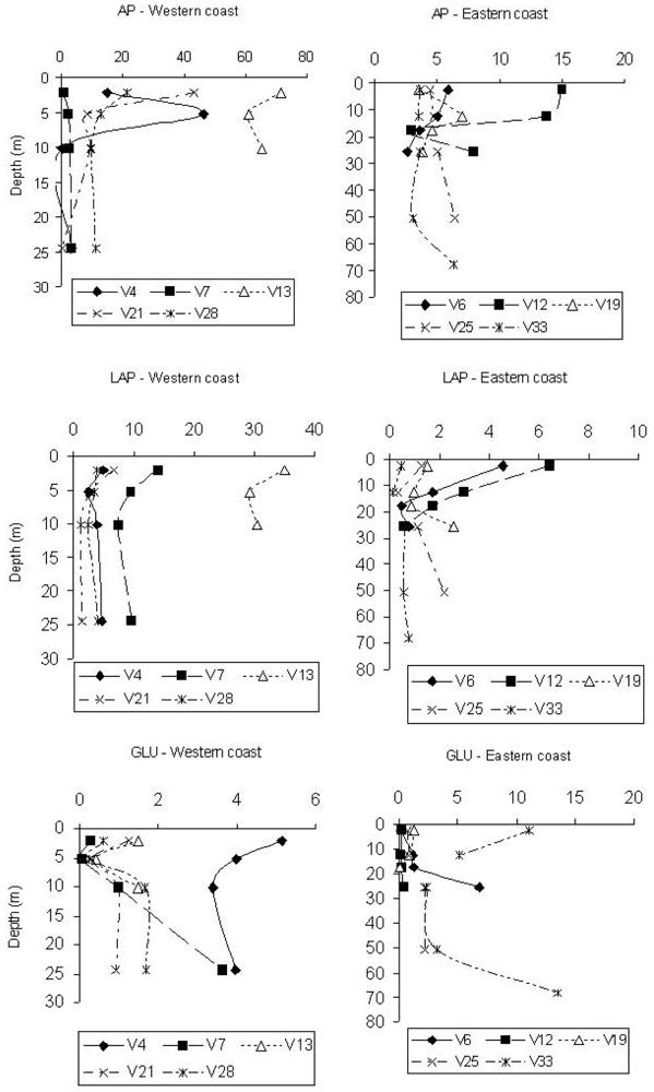
2.4. Straits of Messina
2.5. Main Considerations on Enzyme Patterns and Their Biogeochemical Significance
3. Experimental Section
3.1. Study Areas
3.1.1. Northern Adriatic Basin
3.1.2. Gulf of Manfredonia
3.1.3. Gulf of Milazzo
3.1.4. Straits of Messina
3.2. Study Surveys and Research Objectives
3.2.1. Northern Adriatic Sea
3.2.2. Gulf of Manfredonia
3.2.3. Gulf of Milazzo
3.2.4. Straits of Messina
3.3. Water Sampling and Treatment
3.4. Other Analysed Parameters
3.5. Statistical Analysis
4. Conclusions
Acknowledgements
- Sample Availability: Available from the author.
References and Notes
- Hoppe, HG; Arnosti, C; Herndl, GJ. Burns, R, Dick, R, Eds.; Ecological significance of bacterial enzymes in the marine environment. In Enzymes in the Environment: Activity, Ecology and Applications; Marcel Dekker: New York, NY, USA, 2002; pp. 73–108. [Google Scholar]
- Azam, F; Fenchel, T; Field, JG; Gray, JS; Meyer-Reil, LA; Thingstad, F. The ecological role of water-column microbes in the sea. Mar Ecol Prog Ser 1983, 10, 257–263. [Google Scholar]
- Azam, F; Smith, DC; Steward, GF; Hagstrom, A. Bacteria-organic matter coupling and its significance for oceanic carbon cycling. Microb Ecol 1993, 28, 167–179. [Google Scholar]
- Azam, F. Microbial control of oceanic carbon flux: The plot thickens. Science 1998, 280, 694–696. [Google Scholar]
- Cho, BC; Azam, F. Major role of bacteria in biogeochemical fluxes in the ocean’s interior. Nature 1988, 332, 441–443. [Google Scholar]
- Chrost, RJ. Overbeck, J, Chrost, RJ, Eds.; Microbial ectoenzymes in aquatic environments. In Aquatic Microbial Ecology: Biochemical and Molecular Approaches; Brock/Springer: New York, NY, USA, 1990; pp. 47–78. [Google Scholar]
- Chrost, RJ. Chrost, RJ, Ed.; Environmental control of the synthesis and activity of aquatic microbial ectoenzymes. In Microbial enzymes in aquatic environments; Springer-Verlag: Berlin, Germany, 1991; pp. 29–59. [Google Scholar]
- Pomeroy, LR. The ocean’s food web: a changing paradigm. Bioscience 1974, 9, 499–504. [Google Scholar]
- Cotner, JB; Biddanda, BA. Small players, large role: microbial influence on biogeochemical processes in pelagic aquatic ecosystems. Ecosystems 2002, 5, 105–121. [Google Scholar]
- del Giorgio, PA; Cole, JJ. Bacterial growth efficiency in natural aquatic systems. Annu Rev Ecol Syst 1998, 29, 503–541. [Google Scholar]
- Gasol, JM; Doval, MD; Pinhassi, J; Calderon-Paz, JI; Guixa-Bouixareu, N; Vaqué, D; Pedrós-Alió, C. Diel variations in bacterial heterotrophic activity and growth in the northwestern Mediterranean Sea. Mar Ecol Prog Ser 1998, 164, 107–124. [Google Scholar]
- Martinez, J; Smith, DC; Steward, GF; Azam, F. Variability in ectohydrolytic enzyme activities of pelagic marine bacteria and its significance for substrate processing in the sea. Aquat Microb Ecol 1996, 10, 223–230. [Google Scholar]
- La Ferla, R; Zaccone, R; Caruso, G; Azzaro, M. Faranda, FM, Guglielmo, L, Spezie, G, Eds.; Enzymatic activities and carbon flux through the microbial compartment in the Adriatic Sea. In Structure and Processes in the Mediterranean Ecosystems; Springer-Verlag: Milan, Italy, 2001; Volume Chapter 61, pp. 485–493. [Google Scholar]
- La Ferla, R; Zaccone, R; Azzaro, M; Caruso, G. Microbial respiratory and ectoenzymatic activities in the Northern Adriatic Sea. Chem Ecol 2002, 18, 75–84. [Google Scholar]
- Zaccone, R; La Ferla, R; Azzaro, M; Caruso, G; Crisafi, E. Spatial and temporal variations in the microbial activity in the Mediterranean Sea. Arch Oceanogr Limnol 2001, 22, 199–206. [Google Scholar]
- Caruso, G; Zaccone, R. Estimates of leucine aminopeptidase activity in different marine and brackish environments. J Appl Microb 2000, 89, 951–959. [Google Scholar]
- Zaccone, R; Caruso, G; Calì, C. Heterotrophic bacteria in the northern Adriatic Sea: seasonal changes and ectoenzyme profile. Mar Environ Res 2002, 54, 1–19. [Google Scholar]
- Zaccone, R; Caruso, G. Microbial hydrolysis of polysaccharides and organic phosphates in the Northern Adriatic Sea. Chem Ecol 2002, 18, 85–94. [Google Scholar]
- Zaccone, R; Caroppo, C; La Ferla, R; Zampino, D; Caruso, G; Leonardi, M; Maimone, G; Azzaro, M; Sitran, R. Deep-chlorophyll maximum time series in a transitional area of the Augusta Gulf (Sicily): Part III, microbial community structures and functions. Chem Ecol 2004, 20(suppl 1), S267–S284. [Google Scholar]
- Karner, M; Fuks, D; Herndl, G. Bacterial activity along a trophic gradient. Microb Ecol 1992, 24, 243–257. [Google Scholar]
- Karner, M; Rassoulzadegan, F. Extracellular enzyme activity: indications for high short-term variability in a coastal marine ecosystem. Microb Ecol 1995, 30, 143–156. [Google Scholar]
- Van Wambeke, F; Goutx, M; Striby, L; Sémpéré, R; Vidussi, F. Bacterial dynamics during the transition from spring bloom to oligotrophy in the northwestern Mediterranean Sea: relationships with particulate detritus and dissolved organic matter. Mar Ecol Prog Ser 2001, 212, 89–105. [Google Scholar]
- Misic, C; Fabiano, M. Ectoenzymatic activity and its relationship to chlorophyll-a and bacteria in the Gulf of Genoa (Ligurian Sea, NW Mediterranean). J Mar Syst 2006, 60, 193–206. [Google Scholar]
- Tamburini, C; Garcin, J; Ragot, M; Bianchi, A. Biopolymer hydrolysis and bacterial production under ambient hydrostatic pressure through a 2000 m water column in the NW Mediterranean. Deep-Sea Res II 2002, 49, 2109–2123. [Google Scholar]
- Van Wambeke, F; Ghiglione, JF; Medoma, J; Mével, G; Raimbault, P. Bottom up effects on bacterioplankton growth and composition during summer-autumn transition in the open NW Mediterranean Sea. Biogeoscience 2009, 6, 705–720. [Google Scholar] [Green Version]
- Obayashi, Y; Suzuki, S. Occurrence of exo- and endopeptidases in dissolved and particulate fractions of coastal seawater. Aquat Microb Ecol 2008, 50, 231–237. [Google Scholar]
- Long, RA; Azam, F. Abundant protein-containing particles in the sea. Aquat Microb Ecol 1996, 10, 213–221. [Google Scholar]
- Jones, RD. Hurst, CJ, Ed.; Phosphorus cycling. In Manual of Environmental Microbiology; ASM Press: Washington, DC, USA, 1997; pp. 343–348. [Google Scholar]
- Hoppe, HG. Phosphatase activity in the sea. Hydrobiologia 2003, 493, 187–200. [Google Scholar]
- Hoppe, HG; Ullrich, S. Profile of ectoenzymes in the Indian Ocean: phenomena of phosphatase activity in the mesopelagic zone. Aquat Microb Ecol 1999, 19, 139–148. [Google Scholar]
- Ducklow, HW; Kirchman, DK; Anderson, TR. The magnitude of spring bacterial production in the North Atlantic Ocean. Limnol Oceanogr 2002, 47, 1684–1693. [Google Scholar]
- Zoppini, A; Puddu, A; Fazi, S; Rosati, M; Sist, P. Extracellular enzyme activity and dynamics of bacterial community in mucillaginous aggregates of the Northern Adriatic Sea. Sci Total Environ 2005, 353, 270–286. [Google Scholar]
- Celussi, M; Paoli, A; Bernardi-Aubry, F; Bastianini, M; Del Negro, P. Diel microbial variations at a coastal Northern Adriatic station affected by Po River outflows. Estuar Coast Shel Sci 2008, 76, 36–44. [Google Scholar]
- Rath, J; Schiller, C; Herndl, GJ. Ectoenzymatic activity and bacterial dynamics along a trophic gradient in the Caribbean Sea. Mar Ecol Prog Ser 1993, 102, 89–106. [Google Scholar]
- Misic, C; Castellano, M; Ruggieri, N; Covazzi Harriague, A. Variations in ectoenzymatic hydrolytic activity in an oligotrophic environment (Southern Tyrrhenian Sea, W Mediterranean). J Mar Syst 2008, 73, 123–137. [Google Scholar]
- Christian, JR; Karl, DM. Bacterial ectoenzymes in marine waters: activity ratios and temperature responses in three oceanographic provinces. Limnol Oceanogr 1995, 40, 1042–1049. [Google Scholar]
- Sala, MM; Karner, M; Arin, L; Marrasé, C. Measurement of ectoenzyme activities as an indication of inorganic nutrient imbalance in microbial communities. Aquat Microb Ecol 2001, 23, 301–311. [Google Scholar]
- Baltar, F; Arístegui, J; Sintes, E; van Aken, HM; Gasol, JM. Prokaryotic extracellular enzymatic activity in relation to biomass production and respiration in the meso- and bathypelagic waters of the (sub)tropical Atlantic. Environ Microbiol 2009, 11, 1998–2014. [Google Scholar]
- Zhou, Y; Zhou, X. Seasonal variation in kinetic parameters of alkaline phosphatase activity in a shallow Chinese freshwater lake (Donghu Lake). Wat Res 1997, 31, 1232–1235. [Google Scholar]
- Vidal, M; Duarte, CM; Agustí, S; Gasol, JM; Vaqué, D. Alkaline phosphatase activities in the central Atlantic Ocean indicate large areas with phosphorus deficiency. Mar Ecol Prog Ser 2003, 262, 43–53. [Google Scholar]
- Huston, AL; Deming, J. Relationships between microbial extracellular enzymatic activity and suspended and sinking particulate organic matter: seasonal transformations in the North Water. Deep-Sea Res 2002, 49, 5211–5225. [Google Scholar]
- Someville, M; Billen, G. A method for determining exo-proteolytic activity in natural waters. Limnol Oceanogr 1983, 28, 190–193. [Google Scholar]
- Rego, JV; Billen, G; Fontigny, A; Someville, M. Free and attached proteolytic activity in water environments. Mar Ecol Prog Ser 1985, 21, 245–249. [Google Scholar]
- Chrost, RJ; Rai, H. Ectoenzyme activity and bacterial secondary production in nutrient-improverished and nutrient-enriched freshwater mesocosms. Microb Ecol 1993, 25, 131–150. [Google Scholar]
- Baltar, F; Arístegui, J; Gasol, JM; Sintes, E; van Aken, HM; Herndl, GJ. High dissolved extracellular enzymatic activity in the deep central Atlantic Ocean. Aquat Microb Ecol 2010, 58, 287–302. [Google Scholar]
- Sebastián, M; Arístegui, J; Montero, MF; Escanez, J; Xavier Niell, F. Alkaline phosphatase activity and its relationship to inorganic phosphorus in the transition zone of the North-western African upwelling system. Progr Oceanogr 2004, 62, 131–150. [Google Scholar]
- Artegiani, A; Bregant, D; Paschini, E; Pinardi, N; Raicich, F; Russo, A. The Adriatic Sea general circulation. Part I: air–sea interactions and water mass structure. J Phys Oceanogr 1996, 27, 1492–1514. [Google Scholar]
- Damiani, V; Bianchi, CN; Ferretti, O; Bedulli, D; Morri, C; Viel, M; Zurlini, G. Risultati di una ricerca ecologica sul sistema marino pugliese. Thal Salentina 1988, 18, 153–169. [Google Scholar]
- Bianchi, CN; Zurlini, G. Criteri e prospettive di una classificazione ecotipologica dei sistemi marini costieri italiani. Acqua Aria 1984, 8, 785–796. [Google Scholar]
- Giacobbe, MG; Maimone, G; Crisafi, E. Analisi dei popolamenti fitoplanctonici e batterici di un’area del Golfo di Milazzo (Messina) nella prospettiva di un suo utilizzo in acquacoltura. Nova Thalassia 1986, 8, 57–79. [Google Scholar]
- De Domenico, E; Cortese, G; Pulicanò, G. Gugliemo, L, Manganaro, A, De Domenico, E, Eds.; Chemical characteristics of waters in the Straits of Messina. In The Straits of Messina Ecosystem; Università degli studi: Messina, Italy, 2005; pp. 31–41. [Google Scholar]
- Vercelli, F; Picotti, M. Crociere per lo studio dei fenomeni nello Stretto di Messina. II. Il regime fisico-chimico delle acque nello Stretto di Messina. In Comm. Inter. Del Mediterraneo; Venezia: Italy, 1926; pp. 1–161. [Google Scholar]
- Cescon, B; Azzaro, F; Creazzo, S; Decembrini, F; Magazzù, G. Processes affecting upwelling and primary productivity of the Straits of Messina. Boll Geof Teor Appl 1997, 38, 137–147. [Google Scholar]
- Magazzù, G; Aubert, M; Decembrini, F. Gugliemo, L, Manganaro, A, De Domenico, E, Eds.; The effect of tidal movements on planktonic transfer through the Straits of Messina. In The Straits of Messina Ecosystem; Università degli studi: Messina, Italy, 2005; pp. 191–202. [Google Scholar]
- De Domenico, M. Gugliemo, L, Manganaro, A, De Domenico, E, Eds.; Distribution of microbial heterotrophic communities in the Straits of Messina. In The Straits of Messina Ecosystem; Università degli studi: Messina, Italy, 2005; pp. 145–154. [Google Scholar]
- Hoppe, HG. Kemp, PF, Sherr, BF, Sherr, EB, Cole, JJ, Eds.; Use of fluorogenic model substrates for extracelllular enzyme activity (EEA) measurement of bacteria. In Handbook of Methods in Aquatic Microbial Ecology; Lewis Publisher: Boca Raton, FL, USA, 1993; pp. 423–432. [Google Scholar]
- Hoppe, HG. Significance of exoenzymatic activities in the ecology of brackish water: measurements by means of methylumbelliferyl-substrates. Mar Ecol Progr Ser 1983, 11, 299–308. [Google Scholar]
- Lazzara, L; Bianchi, F; Falcucci, M; Hull, V; Modigh, M; Ribera D’Alcalà, M. Pigmenti clorofilliani. Nova Thalassia 1990, 11, 207–223. [Google Scholar]
- Iseki, K; MacDonald, RW; Carmack, E. Distribution of particulate matter in the south-eastern Beaufort Sea in late summer. Proc NIPR Symp Polr Biol 1987, 1, 35–46. [Google Scholar]
- Aminot, A; Chaussepied, M. Manuel des analyses chimiques en milieu marin; Centre National pour l’Exploitation des Oceans, CNEXO: Brest, France, 1983; pp. 1–395. [Google Scholar]
- Strickland, JFH; Parsons, TR. A Practical Handbook of Seawater Analysis; Fisheries Research Board of Canada: Ottawa, Canada, 1972; Bulletin 167; pp. 1–311. [Google Scholar]








| x ± s.d. | min-max | |
|---|---|---|
| AP (nM/h) | 12.68 ± 18.14 | 0.35 – 71.32 |
| LAP (nM/h) | 5.24 ± 8.17 | 0.15 – 34.94 |
| β-GLU (nM/h) | 2.17 ± 2.86 | 0.05 – 13.49 |
| POC (μg/L) | 8.41 ± 9.93 | 1.76 – 42.15 |
| Chl-a (μg/L) | 0.265 ± 0.319 | 0.05 – 1.78 |
| Transect A | Transect B | Transect C | Transect D | ||
|---|---|---|---|---|---|
| AP | x ± sd | 25.79 ± 7.23 | 28.24 ± 26.11 | 28.85 ± 21.23 | 57.93 ± 60.60 |
| nM/h | Min - max | 15.55 – 37.75 | 1.23 – 75.16 | 0.38 – 93.42 | 0.41 – 183.81 |
| LAP | x ± sd | 26.23 ± 21.08 | 12.85 ± 9.41 | 24.33 ± 20.18 | 8.95 ± 11.38 |
| nM/h | Min - max | 3.93 – 61.60 | 1.63 – 31.11 | 0.41 – 80.97 | 0.83 – 38.39 |
| β-GLU | x ± sd | 1.082 ± 0.506 | 0.284 ± 0.222 | 0.672 ± 0.735 | 0.489 ± 0.475 |
| nM/h | Min - max | 0.561 – 1.703 | 0.096 – 0.715 | 0.027 – 2.899 | 0.003 – 1.428 |
| Chl-a | x ± sd | 0.263 ± 0.252 | 0.166 ± 0.111 | 0.263 ± 0.293 | 0.278 ± 0.119 |
| μg/L | Min - max | 0.041 – 0.600 | 0.029 – 0.383 | 0.031 – 1.318 | 0.189 – 0.507 |
| December 2002 | x ± s.d. | Min–max |
|---|---|---|
| LAP (μM/h) | 5.36 ± 4.87 | 0.284–15.36 |
| β-GLU (nM/h) | 0.73 ± 0.94 | 0.054–3.56 |
| AP (nM/h) | 244.73 ± 322.73 | 0.142–867.62 |
| Culturable Heterotrophic bacteria (CFU/mL) | 20 ± 19 | 2–57 |
| Chl-a (μg/L) | 0.151 ± 0.07 | 0.015–0.238 |
| February 2003 | x ± s.d. | min–max |
| LAP (nM/h) | 5558.1 ± 18724.9 | 12.31–73089.3 |
| β-GLU (nM/h) | 0.006 ± 0.004 | 0.0011–0.015 |
| AP (nM/h) | 62.52 ± 115.60 | 0.256–463.96 |
| Culturable Heterotrophic bacteria (CFU/mL) | 917 ± 678 | 70 – 1880 |
| Chl-a (μg/L) | 0.298 ± 0.09 | 0.065–0.45 |
| Scaletta | Guardia | Pellaro | |
|---|---|---|---|
| LAP (nM/h) | |||
| x ± s.d. | 76.52 ± 20.72 | 1.30 ± 2.12 | 0.98 ± 1.80 |
| min-max | 0.005 – 935.18 | 0.002 – 9.93 | 0.0001 – 9.0 |
| β-GLU (nM/h) | |||
| x ± s.d. | 12.40 ± 3.19 | 2.35 ± 7.54 | 0.97 ± 2.25 |
| min-max | 0.005 – 173.29 | 0.0004 – 38.75 | 0.0002 – 9.58 |
| AP (nM/h) | |||
| x ± s.d. | 121.72 ± 39.1 | 14.38 ± 37.9 | 6.38 ± 12.08 |
| min-max | 0.005 – 1994.32 | 0.004 – 143.26 | 0.0018 – 44.69 |
| Culturable Heterotrophic Bacteria (CFU/mL) | |||
| x ± s.d. | 48 ± 10 | 69 ± 13 | 50 ± 11 |
| min-max | 0 – 340 | 3 – 260 | 0 – 472 |
| Chl-a (μg/L) | |||
| x ± s.d. | 0.109 ± 0.06 | 0.076 ± 0.04 | 0.125 ± 0.10 |
| min-max | 0.02 – 0.331 | 0.011 – 0.155 | 0.037 – 0.492 |
| Northern Adriatic | Gulf of Manfredonia | Straits of Messina | Gulf of Milazzo (Dec-2002) | Gulf of Milazzo (Feb-2003) | |
|---|---|---|---|---|---|
| LAP (ng C/l/h) | 0.38 | 1.40 | 3.70 | 0.39 | 400 × 103 |
| Km LAP (μM) | 2.40 | 0.41 | 9.51 | 2.28 | 268.01 |
| β-GLU (ng C/l/h) | 0.16 | 0.04 | 0.68 | 0.05 | 4 × 10−4 |
| Km β-GLU (μM) | 0.97 | 0.29 | 1.16 | 0.35 | 2 × 10−3 |
| AP (ng P/l/h) | 0.39 | 1.10 | 3.35 | 7.56 | 1.94 |
| Km AP (μM) | 5.38 | 14.4 | 3.85 | 125 | 33.10 |
| Northern Adriatic | Gulf of Manfredonia | Straits of Messina | Gulf of Milazzo (Dec-2002) | Gulf of Milazzo (Feb-2003) | |
|---|---|---|---|---|---|
| LAP/β-GLU | 2.42 | 31.58 | 5.40 | 7.31 | 926.3 |
| LAP/AP | 0.41 | 0.55 | 0.48 | 0.022 | 89 |
| Cell-specific LAP (fgC/cell/h) | 0.253 | 10.57 | 65.55 | 19 | 8.72 × 103 |
| Cell-specific β-GLU (fgC/cell/h) | 0.105 | 0.335 | 12.13 | 2.60 | 9.41 × 10−3 |
| Cell-specific AP (fgP/cell/h) | 0.263 | 8.27 | 59.29 | 374 | 42.2 |
| Cell-specific AP (μgP/μg Chl-a/h) | 1.483 | 4.42 | 32.64 | 50.24 | 6.00 |
| Bacteria (cells/L) | 1.49 × 109 | 1.33 × 108 | 5.65 × 107 | 2.03 × 107 | 4.59 × 107 |
| Chl-a (μg/L) | 0.265 | 0.248 | 0.103 | 0.151 | 0.323 |
© 2010 by the authors; licensee Molecular Diversity Preservation International, Basel, Switzerland This article is an open-access article distributed under the terms and conditions of the Creative Commons Attribution license (http://creativecommons.org/licenses/by/3.0/).
Share and Cite
Caruso, G. Leucine Aminopeptidase, β-Glucosidase and Alkaline Phosphatase Activity Rates and Their Significance in Nutrient Cycles in Some Coastal Mediterranean Sites. Mar. Drugs 2010, 8, 916-940. https://doi.org/10.3390/md8040916
Caruso G. Leucine Aminopeptidase, β-Glucosidase and Alkaline Phosphatase Activity Rates and Their Significance in Nutrient Cycles in Some Coastal Mediterranean Sites. Marine Drugs. 2010; 8(4):916-940. https://doi.org/10.3390/md8040916
Chicago/Turabian StyleCaruso, Gabriella. 2010. "Leucine Aminopeptidase, β-Glucosidase and Alkaline Phosphatase Activity Rates and Their Significance in Nutrient Cycles in Some Coastal Mediterranean Sites" Marine Drugs 8, no. 4: 916-940. https://doi.org/10.3390/md8040916
APA StyleCaruso, G. (2010). Leucine Aminopeptidase, β-Glucosidase and Alkaline Phosphatase Activity Rates and Their Significance in Nutrient Cycles in Some Coastal Mediterranean Sites. Marine Drugs, 8(4), 916-940. https://doi.org/10.3390/md8040916