Protective Effects of Squid Ink Extract Towards Hemopoietic Injuries Induced by Cyclophosphamine
Abstract
:1. Introduction
2. Materials and Methods
2.1 Preparation of squid ink extract
2.2 Animals and design of the experiment
2.3 Peripheral blood profile
2.4 Bone marrow nucleated cells counting [9]
2.5 DNA contents detection of bone marrow [16]
2.6 Spleen organ index
2.7 Antioxidant ability of spleen
2.8 Statistical analysis
3. Results
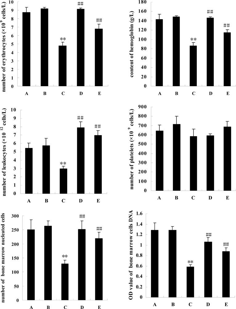
3.1 Peripheral blood profile
3.2 Numbers of bone marrow cells and its DNA contents
3.3 Organ index of spleen in mice
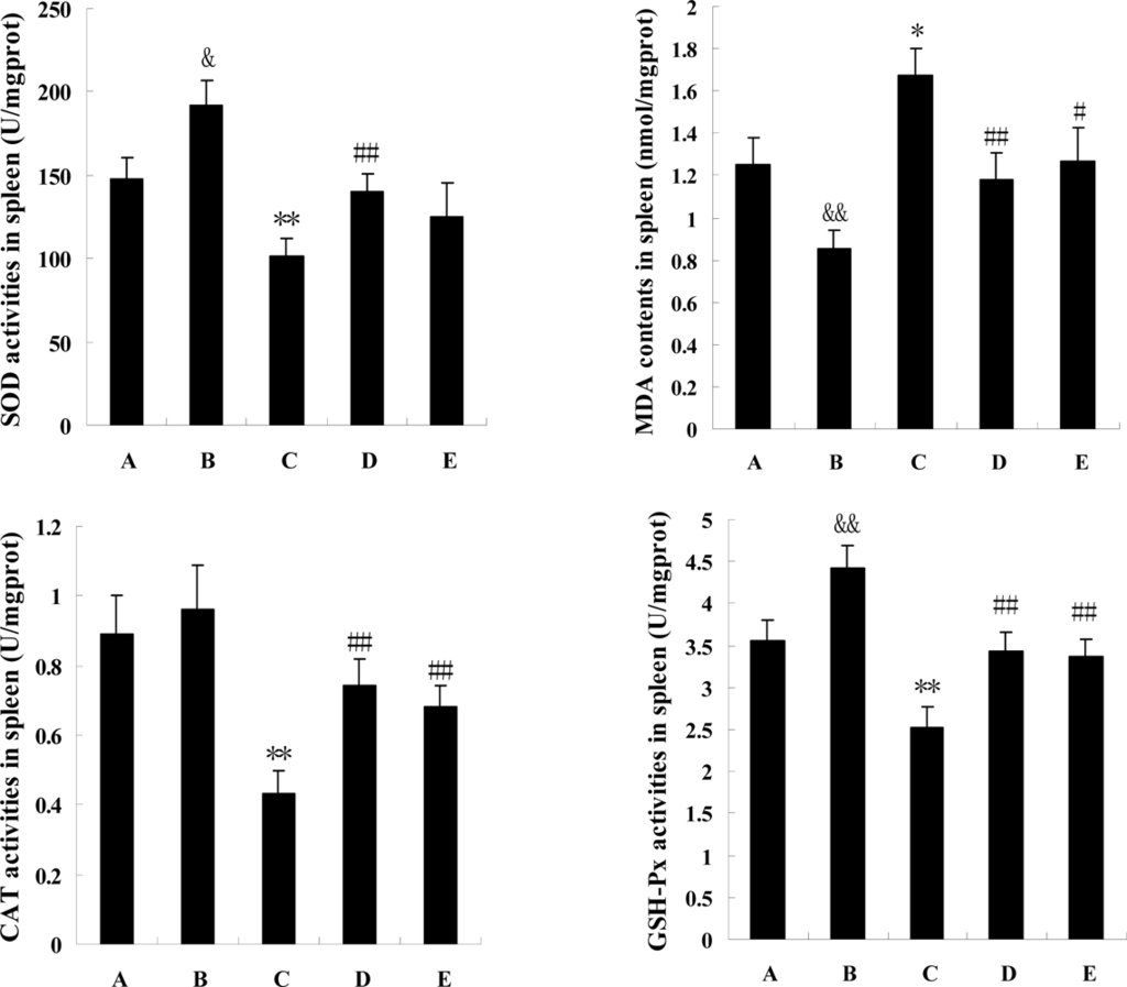
3.4 Antioxidant ability of the spleen
4. Discussion
Acknowledgments
References
- Palumbo, A; Di Cosmo, A; Gesualdo, I; d’Ischia, M. A calcium dependent nitric oxide synthase and NMDA R1 glutamate receptor in the ink gland of Sepia officinalis: a hint to a regulatory role of nitric oxide in melanogenesis? Biochem. Biophys. Res. Commun 1997, 235, 429–432. [Google Scholar] [CrossRef] [PubMed]
 - Palumbo, A; Poli, A; Di Cosmo, A; d’Ischia, M. N-Methyl-D-aspartate receptor stimulation activates tyrosinase and promotes melanin synthesis in the ink gland of the cuttlefish Sepia officinalis through the nitric oxide/cGMP signal transduction pathway. J. Biol. Chem 2000, 275, 16885–16890. [Google Scholar] [CrossRef] [PubMed]
 - Palumbo, A; Di Cosmo, A; Poli, A; Di Cristo, C; d’Ischia, M. A calcium/calmodulin- dependent nitric oxide synthase, NMDAR2/3 receptor subunits, and glutamate in the CNS of the cuttlefish Sepia officinalis: localization in specific neural pathways controlling the inking system. J. Neurochem 1999, 73, 1254–1263. [Google Scholar] [PubMed]
 - Xie, GL; He, S. Study of sepia improving natural killer cell activity in mice. J. Chin. Med. Univ 2002, 1, 23–24. [Google Scholar]
 - Takaya, Y; Uchiswa, H. An investigation of the antitumor peptodoglycan fraction from aquid ink. Biol Pharm Bull 1994, 17, 846–851. [Google Scholar] [CrossRef] [PubMed]
 - Lu, T; Gao, CY. Effects of elevating leukocyte number of cuttlefish ink. Pract. J. Integ. Chin. Mod. Med 1995, 3, 163–164. [Google Scholar]
 - Sasaki, J; Ishita, K; Takaya, Y; Uchiswa, H; Matsue, H. Antitumor activity of squid ink. J. Nutr. Sci. Vitaminol 1997, 43, 455–461. [Google Scholar] [CrossRef] [PubMed]
 - Lei, M; Wang, JF; Pang, L; Wang, YM; Chen, SG; Xue, CH. Effects of sepia on the metabolization of blood lipid and antioxidant ability in hyperlipidemia rats. Chin. J. Mar. Drugs 2007, 3, 30–33. [Google Scholar]
 - Lei, M; Wang, JF; Wang, YM; Pang, L; Wang, Y; Xu, W; Xue, CH. Study of the radio-protective effect of cuttlefish ink on hemopoietic injury. Asia Pac. J. Clin. Nutr 2007, 16, 239–243. [Google Scholar] [PubMed]
 - Rajaganapathi, J; Thyagarajam, SP; Edward, JK. Study on cephalopod’s ink for anti-retroviral activity. Indian J. Exp. Biol 2000, 38, 519–520. [Google Scholar] [PubMed]
 - Takai, M; Yamazaki, K; Kawai, Y; Inoue, N; Shinano, H. Effects of squid liver, skin, and ink on chemical characteristics of “ika-shiokara” during ripening process. Bull. Jpn. Soc. Fish 1993, 59, 1609–1615. [Google Scholar] [CrossRef]
 - Sadok, S; Abdelmoulah, A; Abed, AE. Combined effect of sepia soaking and temperature on the shelf life of peeled shrimp. Penaeus kerathurus Food Chem 2004, 11, 115–122. [Google Scholar]
 - Funatsu, Y; Fukami, K; Kondo, H; Watabe, S. Improvement of “Kurozukuri Ika-Shiokara” (Fermented Squid Meat with Ink) odor with Staphylococcus Nepalensis isolated from the fish sauce mush of frigate mackerel Auxis Rochei. Bull Jpn Soc Fish 2005, 71, 611–617. [Google Scholar] [CrossRef]
 - Xie, GL; He, S. Study about CSF activity induced by sepia in mice. Chin. J. Mar. Drugs 2001, 3, 25–27. [Google Scholar]
 - Guan, SB; Li, YL; Guo, YZ; Chen, ZL; Zhan, XM; Zhong, JP; Li, K; Liu, HZ. Protective effect of extract from ink of lologo chinensis on the marrow of mice. Strait Pharm. J 2007, 10, 24–25. [Google Scholar]
 - Zhang, HQ; Lin, AP; Sun, Y; Deng, YM. Chemo-and radio-protective effects of polysaccharide of Spirulina platensis on hemopoietic system of mice and dogs. Acta Pharmaco. Sin 2001, 12, 1121–1124. [Google Scholar]
 - He, S; Meng, SN; Xie, GL. Study on secretion of interleukin-1 induced by cuttlefish ink in mice. Chin J Mar Drugs 2003, 22, 17–19. [Google Scholar]
 - Ganser, A; Linelemannn, A; Seipelt, G; Ottmann, OG; Herrmann, F; Eder, M; Frisch, J. Clinical effects of recombinant human interleukin-3. Am. J. Clin. Oncol 1991, 14, S51–S63. [Google Scholar] [CrossRef] [PubMed]
 - Guba, SC; Sartor, CI; Gottschalk, LR; Ye-Hu, J; Mulligan, T; Emerson, SG. Bone marrow stromal fibroblasts secrete interleukin-6 and granulocyte-macrophage colony stimulating factor in the absence of inflammatory stimulation: Demonstration by serum-free bioassay, enzyme-linked immunosorbent assay, and reverse transcriptase polymerase chain reaction. Blood 1992, 80, 1190–1198. [Google Scholar] [PubMed]
 - Lei, M; Wang, JF; Pang, L; Gao, S; Wang, Y; Xue, CH. Effects of sepia on hematopoietis stem cells, granulocyte and monocyte progenitor cells and peripheral WBC in mice. Chin. J. Mar. Drugs 2006, 5, 14–18. [Google Scholar]
 - Pang, L; Wang, JF; Lei, M; Wang, Y; Xue, CH. The experimental studies on the effects sepia products on hematopoiesis in mice. Acta Nutr Sin 2007, 1, 87–90. [Google Scholar]
 



© 2009 by the authors; licensee Molecular Diversity Preservation International, Basel, Switzerland This article is an open-access article distributed under the terms and conditions of the Creative Commons Attribution license (http://creativecommons.org/licenses/by/3.0/).
Share and Cite
Zhong, J.-P.; Wang, G.; Shang, J.-H.; Pan, J.-Q.; Li, K.; Huang, Y.; Liu, H.-Z. Protective Effects of Squid Ink Extract Towards Hemopoietic Injuries Induced by Cyclophosphamine. Mar. Drugs 2009, 7, 9-18. https://doi.org/10.3390/md7010009
Zhong J-P, Wang G, Shang J-H, Pan J-Q, Li K, Huang Y, Liu H-Z. Protective Effects of Squid Ink Extract Towards Hemopoietic Injuries Induced by Cyclophosphamine. Marine Drugs. 2009; 7(1):9-18. https://doi.org/10.3390/md7010009
Chicago/Turabian StyleZhong, Jie-Ping, Guang Wang, Jiang-Hua Shang, Jiang-Qiu Pan, Kun Li, Yan Huang, and Hua-Zhong Liu. 2009. "Protective Effects of Squid Ink Extract Towards Hemopoietic Injuries Induced by Cyclophosphamine" Marine Drugs 7, no. 1: 9-18. https://doi.org/10.3390/md7010009
APA StyleZhong, J.-P., Wang, G., Shang, J.-H., Pan, J.-Q., Li, K., Huang, Y., & Liu, H.-Z. (2009). Protective Effects of Squid Ink Extract Towards Hemopoietic Injuries Induced by Cyclophosphamine. Marine Drugs, 7(1), 9-18. https://doi.org/10.3390/md7010009
        