Brevetoxin Metabolites: Emerging Toxins in French Shellfish Determined by LC-MS/MS and ELISA
Abstract
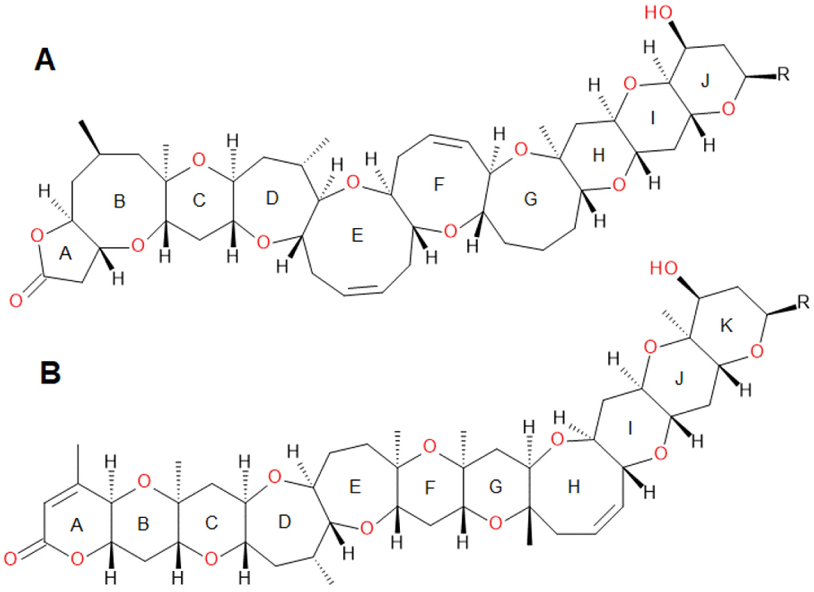
1. Introduction
2. Results
2.1. Development, Optimization, and Implementation of a Brevetoxin-Specific LC-MS/MS Analytical Method
2.1.1. Optimization of Mass Spectrometer Parameters
- Effect of infusion solution composition
- -
- Absence of Ammonium Formate or Ammonium Hydroxide (Acidic pH; Conditions 1–6)
- -
- Presence of Ammonium Formate (Acidic pH; Conditions 7–11)
- -
- Presence of Ammonium Hydroxide (Basic pH; Conditions 12–13)
- Optimization of Declustering Potential (DP), Collision Energy (CE), and Cell Exit Potential (CXP)
- Optimization of source parameters: flow injection analysis (FIA)
2.1.2. Optimization of Liquid Chromatography (LC) Parameters
- Optimization of eluent composition
- Selection of the chromatographic column
- Optimization of eluent gradient, oven temperature, and flow rate
- Evaluation of linearity and determination of detection and quantification limits
2.2. Application of Brevetoxin-Specific LC-MS/MS Analysis to Shellfish Samples
2.3. Comparison of LC-MS/MS and ELISA Analyses for Brevetoxin Quantification
2.4. Screening of Shellfish from Non-Corsican Sites by LC-MS/MS and ELISA
3. Discussion
3.1. LC-MS/MS and ELISA Approaches for the Detection of Brevetoxin Metabolites for Which Some Standards Are Commercially Available
3.2. Contamination of Shellfish by Brevetoxin Metabolites
4. Materials and Methods
4.1. Materials
4.2. Shellfish
4.3. Methods
4.3.1. Extraction of Brevetoxins (BTXs) from Shellfish
4.3.2. LC-MS/MS Analysis of BTXs
4.3.3. ELISA Test for Brevetoxins
5. Conclusions
Supplementary Materials
Author Contributions
Funding
Institutional Review Board Statement
Data Availability Statement
Acknowledgments
Conflicts of Interest
Correction Statement
References
- Abraham, A.; Wang, Y.; El Said, K.R.; Plakas, S.M. Characterisation of brevetoxin metabolisms in Karenia brevis bloom-exposed clams (Mercenaria sp.) by LC-MS/MS. Toxicon 2012, 60, 1030–1040. [Google Scholar] [CrossRef] [PubMed]
- Lin, Y.-Y.; Risk, M.; Ray, S.M.; Van Engen, D.; Clardy, J.; Golik, J.; James, J.C.; Nakanishi, K. Isolation and Structure of Brevetoxin B from the “Red Tide” Dinoflagellate Ptychodiscus brevis (Gymnodinium breve). J. Am. Chem. Soc. 1981, 103, 6773–6775. [Google Scholar] [CrossRef]
- Chou, H.N.; Shimizu, Y. A new polyether toxin from Gymnodinium breve Davis. Tetrahedron Lett. 1982, 23, 5521–5524. [Google Scholar] [CrossRef]
- Shimizu, Y.; Chou, H.N.; Bando, H.; Van Duyne, G.; Clardy, J. Structure of Brevetoxin A (GB-1 Toxin), the Most Potent Toxin in the Florida Red Tide Organism Gymnodinium breve (Ptychodiscus brevis). J. Am. Chem. Soc. 1986, 108, 514–515. [Google Scholar] [CrossRef]
- Hort, V.; Abadie, E.; Arnich, N.; Dechraoui Bottein, M.-Y.; Amzil, Z. Chemodiversity of Brevetoxins and Other Potentially Toxic Metabolites Produced by Karenia spp. and Their Metabolic Products in Marine Organisms. Mar. Drugs 2021, 19, 656. [Google Scholar] [CrossRef]
- Baden, D.G.; Bourdelais, A.J.; Jacocks, H.; Michelliza, S.; Naar, J. Natural and derivative brevetoxins: Historical background, multiplicity, and effects. Environ. Health Perspect. 2005, 113, 621–625. [Google Scholar] [CrossRef]
- Flewelling, L.J.; Corcoran, A.A.; Granholm, A.A.; Takeuchi, N.Y.; Van Hoeck, R.V.; Zahara, M.L. Validation and Assessment of an Enzyme-Linked Immunosorbent Assay (Elisa) for Use in Monitoring and Managing Neurotoxic Shellfish Poisoning. J. Shellfish Res. 2020, 39, 491–500. [Google Scholar] [CrossRef]
- Watkins, S.M.; Reich, A.; Fleming, L.E.; Hammond, R. Neurotoxic shellfish poisoning. Mar. Drugs 2008, 6, 431–455. [Google Scholar] [CrossRef]
- Backer, L.C.; Fleming, L.E.; Rowan, A.; Cheng, Y.-S.; Benson, J.; Pierce, R.H.; Zaias, J.; Bean, J.; Bossart, G.D.; Johnson, D.; et al. Recreational exposure to aerosolized brevetoxins during Florida red tide events. Harmful Algae 2003, 2, 19–28. [Google Scholar] [CrossRef]
- Pierce, R.H.; Henry, M.S.; Blum, P.C.; Lyons, J.; Cheng, Y.S.; Yazzie, D.; Zhou, Y. Brevetoxin concentrations in marine aerosol: Human exposure levels during a Karenia brevis harmful algal bloom. Bull. Environ. Contam. Toxicol. 2003, 70, 161–165. [Google Scholar] [CrossRef]
- Fleming, L.E.; Backer, L.C.; Baden, D.G. Overview of aerosolized Florida red tide toxins: Exposures and effects. Environ. Health Perspect. 2005, 113, 618–620. [Google Scholar] [CrossRef] [PubMed]
- Cheng, Y.S.; Villareal, T.A.; Zhou, Y.; Gao, J.; Pierce, R.H.; Wetzel, D.; Naar, J.; Baden, D.G. Characterization of red tide aerosol on the Texas coast. Harmful Algae 2005, 4, 87–94. [Google Scholar] [CrossRef] [PubMed]
- Gordon, G.; Williams, R.H.; Davis, C.C.; Walton Smith, F.G. Catastrophic mass mortality of marine animals and coincident phytoplankton bloom on the west coast of Florida, November 1946 to August 1947. Ecol. Monogr. 1948, 18, 309–324. [Google Scholar] [CrossRef]
- Landsberg, J.H. The effects of harmful algal blooms on aquatic organisms. Rev. Fish. Sci. 2002, 10, 113–390. [Google Scholar] [CrossRef]
- Landsberg, J.H.; Flewelling, L.J.; Naar, J. Karenia brevis red tides, brevetoxins in the food web, and impacts on natural resources: Decadal advancements. Harmful Algae 2009, 8, 598–607. [Google Scholar] [CrossRef]
- Lassus, P.; Chomérat, N.; Hess, P.; Nézan, E. Toxic and Harmful Microalgae of the World Ocean/Micro-Algues Toxiques et Nuisibles de L’océan Mondial; Denmark International Society for the Study of Harmful Algae; Intergovernmental Oceanographic Commission of UNESCO IOC Manuals and Guides, 68; UNESCO: Paris, France, 2016; p. 523, (Bilingual, English, French). [Google Scholar]
- U.S. Food and Drug Administration (FDA). National Shellfish Sanitation Program (NSSP); Guide for the Control of Molluscan Shellfish; FDA: Silver Spring, MD, USA, 2019; pp. 1–44. Available online: https://www.fda.gov/media/143238/download (accessed on 22 November 2021).
- Morohashi, A.; Satake, M.; Murata, K.; Naoki, H.; Kaspar, H.F.; Yasumoto, T. Brevetoxin B3, a New Brevetoxin Analog Isolated from the Greenshell Mussel Perna canaliculus Involved in Neurotoxic Shellfish Poisoning in New Zealand. Tetrahedron Lett. 1995, 36, 8995–8998. [Google Scholar] [CrossRef]
- Ishida, H.; Muramatsu, N.; Nukaya, H.; Kosuge, T.; Tsuji, K. Study on Neurotoxic Shellfish Poisoning Involving the Oyster, Crassostrea Gigas, in New Zealand. Toxicon 1996, 34, 1050–1053. [Google Scholar] [CrossRef]
- Plakas, S.M.; Dickey, R.W. Advances in monitoring and toxicity assessment of brevetoxins in molluscan shellfish. Toxicon 2010, 56, 137–149. [Google Scholar] [CrossRef]
- Poli, M.A.; Musser, S.M.; Dickey, R.W.; Eilers, P.P.; Hall, S. Neurotoxic Shellfish Poisoning and Brevetoxin Metabolites: A Case Study from Florida. Toxicon 2000, 38, 981–993. [Google Scholar] [CrossRef]
- Abraham, A.; El Said, K.R.; Flewelling, L.J. Role of Biomarkers in Monitoring Brevetoxins in Karenia brevis Exposed Shellfish. Food Saf. 2018, 6, 33–43. [Google Scholar] [CrossRef]
- Abraham, A.; Plakas, S.M.; Wang, Z.; Jester, E.L.E.; El Said, K.R.; Granade, H.R.; Henry, M.S.; Blum, P.C.; Pierce, R.H.; Dickey, R.W. Characterization of polar brevetoxin derivatives isolated from Karenia brevis cultures and natural blooms. Toxicon 2006, 48, 104–115. [Google Scholar] [CrossRef] [PubMed]
- Plakas, S.M.; El Said, K.R.; Jester, E.L.E.; Granade, H.R.; Musser, S.M.; Dickey, R.W. Confirmation of brevetoxin metabolism in the Eastern oyster (Crassostrea virginica) by controlled exposures to pure toxins and to Karenia brevis cultures. Toxicon 2002, 40, 721–729. [Google Scholar] [CrossRef] [PubMed]
- Naar, J.; Weidner, A.; Baden, D. Competitive ELISA an Accurate, Competitive and Quick Tool to Monitor Brevetoxins in Environmental and Biological Samples. Harmful Algae 2002, 2004, 291–293. [Google Scholar]
- Morohashi, A.M.; Satake, H.; Naoki, H.F.; Kaspar, Y.; Oshima, T.; Yasumoto, T. Brevetoxin B4 isolated from greenshell mussels Perna canaliculus, the major toxin involved in neurotoxic shellfish poisoning in New Zealand. Nat. Toxins 1999, 7, 45–48. [Google Scholar] [CrossRef]
- Murata, K.M.; Satake, H.; Naoki, H.F.; Kaspar, T.; Yasumoto, T. Isolation and structure of a new brevetoxin analog, brevetoxin B2, from greenshell mussels from New Zealand. Tetrahedron 1998, 54, 735–742. [Google Scholar] [CrossRef]
- Ishida, H.; Nozawa, A.; Nukaya, H.; Tsuji, K. Comparative Concentrations of Brevetoxins PbTx-2, PbTx-3, BTX-B1 and BTX-B5 in Cockle (Austrovenus stutchburyi), Greenshell Mussel (Perna canaliculus) and Pacific Oyster (Crassostrea gigas) Involved Neurotoxic Shellfish Poisoning in New Zealand. Toxicon 2004, 43, 779–789. [Google Scholar] [CrossRef]
- Ishida, H.; Nozawa, A.; Nukaya, H.; Rhodes, L.; McNabb, P.; Holland, P.T.; Tsuji, K. Confirmation of Brevetoxin Metabolism in Cockle, Austrovenus stutchburyi, and Greenshell Mussel (Perna canaliculus) Associated with New Zealand Neurotoxic Shellfish Poisoning, by Controlled Exposure to Karenia Brevis Culture. Toxicon 2004, 43, 701–712. [Google Scholar] [CrossRef]
- Bottein, M.Y.; Fuquay, J.M.; Munday, R.; Selwood, A.I.; Van Ginkel, R.; Miles, C.O.; Loader, J.I.; Wilkins, A.L.; Ramsdell, J.S. Bioassay methods for detection of N-palmitoylbrevetoxin-B2 (BTX-B4). Toxicon 2010, 55, 497–506. [Google Scholar] [CrossRef]
- EFSA Panel on Contaminants in the Food Chain (CONTAM); Scientific Opinion on marine biotoxins in shellfish—Emerging toxins: Brevetoxin group. EFSA J. 2010, 8, 1677. [CrossRef]
- Amzil, Z.; Derrien, A.; Terre Terrillon, A.; Duval, A.; Connes, C.; Marco-Miralles, F.; Nézan, E.; Mertens, K.N. Monitoring the Emergence of Algal Toxins in Shellfish: First Report on Detection of Brevetoxins in French Mediterranean Mussels. Mar. Drugs 2021, 19, 393. [Google Scholar] [CrossRef]
- Arnich, N.; Abadie, E.; Amzil, Z.; Dechraoui Bottein, M.-Y.; Comte, K.; Chaix, E.; Delcourt, N.; Hort, V.; Mattei, C.; Molgó, J.; et al. Guidance Level for Brevetoxins in French Shellfish. Mar. Drugs 2021, 19, 520. [Google Scholar] [CrossRef] [PubMed]
- ANSES. Opinion of the French Agency for Food, Environmental and Occupational Health & Safety of 2 March 2021 on the State of Knowledge on Brevetoxins in Shellfish, Data on Toxicity, Occurrence and Brevetoxin-Producing Microalgae (Request No 2020-SA-0020); The opinion is accompanied by a collective expert appraisal report; ANSES: Maisons-Alfort, France, 2021; p. 18. (In French) [Google Scholar]
- Amzil, Z.; Derrien, A.; Terre Terrillon, A.; Savar, V.; Bertin, T.; Peyrat, M.; Duval, A.; Lhaute, K.; Arnich, N.; Hort, V.; et al. Five Years Monitoring the Emergence of Unregulated Toxins in Shellfish in France (EMERGTOX 2018–2022). Mar. Drugs 2023, 21, 435. [Google Scholar] [CrossRef] [PubMed]
- Hummert, C.; Rühl, A.; Reinhardt, K.; Gerdts, G.; Luckas, B. Simultaneous analysis of different algal toxins by LC-MS. Chromatographia 2002, 55, 673–680. [Google Scholar] [CrossRef]
- Dom, I.; Biré, R.; Hort, V.; Lavison-Bompard, G.; Nicolas, M.; Guérin, T. Extended targeted and non-targeted strategies for the analysis of marine toxins in mussels and oysters by (LCHRMS). Toxins 2018, 10, 375. [Google Scholar] [CrossRef]
- Domènech, A.; Cortés-Francisco, N.; Palacios, O.; Franco, J.M.; Riobó, P.; Llerena, J.J.; Vichi, S.; Caixach, J. Determination of lipophilic marine toxins in mussels. Quantification and confirmation criteria using high resolution mass spectrometry. J. Chromatogr. A 2014, 1328, 16–25. [Google Scholar] [CrossRef]
- Naar, J.; Bourdelais, A.; Tomas, C.; Kubanek, J.; Whitney, P.L.; Flewelling, L.J.; Steidinger, K.A.; Lancaster, J.; Baden, D.G. A competitive ELISA to detect brevetoxins from Karenia brevis (formerly Gymnodinium breve) in seawater, shellfish, and mammalian body fluid. Environ. Health Perspect 2002, 110, 179–185. [Google Scholar] [CrossRef]
- Plakas, S.M.; Wang, Z.; El-Said, K.R.; Jester, E.L.E.; Granade, H.R.; Flewelling, L.; Scott, P.; Dickey, R.W. Brevetoxin metabolism and elimination in the eastern oyster (Crassostrea virginica) after controlled exposures to Karenia brevis. Toxicon 2004, 44, 677–685. [Google Scholar] [CrossRef]
- Plakas, S.M.; Jester, E.L.; El Said, K.R.; Granade, H.R.; Abraham, A.; Dickey, R.W.; Scott, P.S.; Flewelling, L.J.; Henry, M.; Blum, P.; et al. Monitoring of brevetoxins in the Karenia brevis bloomexposed eastern oyster (Crassostrea virginica). Toxicon 2008, 52, 32–38. [Google Scholar] [CrossRef]
- Griffith, A.W.; Shumway, S.E.; Volety, A.K. Bioaccumulation and depuration of brevetoxins in the eastern oyster (Crassostrea virginica) and the northern quahog (hard clam, Mercenaria mercenaria). Toxicon 2013, 66, 75–81. [Google Scholar] [CrossRef]
- Wang, Z.; Plakas, S.M.; El Said, K.R.E.; Jester, E.L.E.; Granade, H.R.; Dickey, R.W. LC/MS analysis of brevetoxin metabolites in the eastern oyster (Crassostrea virginica). Toxicon 2004, 43, 455–465. [Google Scholar] [CrossRef]
- Abraham, A.; El Said, K.R.; Wang, Y.; Jester, E.L.E.; Plakas, S.M.; Flewelling, L.J.; Henry, M.S.; Pierce, R.H. Biomarkers of Brevetoxin Exposure and Composite Toxin Levels in Hard Clam (Mercenaria Sp.) Exposed to Karenia Brevis Blooms. Toxicon 2015, 96, 82–88. [Google Scholar] [CrossRef]
- Abraham, A.; Flewelling, L.J.; El Said, K.R.; Odom, W.; Geiger, S.P.; Granholm, A.A.; Jackson, J.T.; Bodager, D. An Occurrence of Neurotoxic Shellfish Poisoning by Consumption of Gastropods Contaminated with Brevetoxins. Toxicon 2021, 191, 9–17. [Google Scholar] [CrossRef]
- McNabb, P.S.; Selwood, A.I.; Van Ginkel, R.; Boundy, M.; Holland, P.T. Determination of Brevetoxins in Shellfish by LC/MS/MS: Single-Laboratory Validation. J. AOAC Int. 2012, 95, 1097–1105. [Google Scholar] [CrossRef]
- NSW Government. Marine Biotoxin Managment Plan—NSW Shellfish Program; NSW Government: Newington, NSW, Australia, 2015; 44p. Available online: https://www.foodauthority.nsw.gov.au/sites/default/files/_Documents/industry/marine_biotoxin_management_plan.pdf (accessed on 11 November 2021).
- Victorian Fisheries Authority. Marine Biotoxin Management Plan. Available online: https://vfa.vic.gov.au/aquaculture/publications/shellfish-quality-asurance/marine-biotoxin-management-plan (accessed on 2 September 2021).
- New Zealand Government. Regulated Control Scheme—Bivalve Molluscan Shellfish for Human Consumption; New Zealand Government: Wellington, New Zealand, 2021; pp. 1–68. Available online: https://www.mpi.govt.nz/dmsdocument/30282-Animal-Products-Notice-Regulated-Control-Scheme-Bivalve-Molluscan-Shellfish-for-Human-Consumption-2018 (accessed on 22 November 2021).












| Conditions | [M + H]+ | [M + NH4]+ |
|---|---|---|
| 1: ACN + 0.1% FA | 116 | / |
| 2: ACN + 0.2% FA | 106 | / |
| 3: ACN + 0.3% FA | 110 | / |
| 4: MeOH + 0.1% FA | 110 | / |
| 5: MeOH + 0.2% FA | 110 | / |
| 6: MeOH + 0.3% FA | 110 | / |
| 7: ACN + 0.2% AF + 2 mM AF | 168 | 88 |
| 8: ACN + 0.2% AF + 5 mM AF | 170 | 90 |
| 9: MeOH + 0.2% AF + 2 mM AF | 166 | 90 |
| 10: MeOH + 0.2% AF + 5 mM AF | 168 | 90 |
| 11: MeOH-Isopropanol + 0.2% FA + 2 mM AF | 166 | 90 |
| 12: ACN + 6.4 mM NH4OH | 170 | 88 |
| 13: MeOH + 6.4 mM NH4OH | 170 | 90 |
| Toxins | Molecular Formula | Ion Adduct | Q1 | DP | Quantification Transition | Qualification Transition | ||||
|---|---|---|---|---|---|---|---|---|---|---|
| Q3 | CE | CXP | Q3 | CE | CXP | |||||
| BTX-1 or 11 | C49H70O13 | [M + NH4]+ | 884.5 | 90 | 867.5 | 20 | 22 | 849.5 | 27 | 22 |
| BTX-2 | C50H70O14 | [M + NH4]+ | 912.5 | 90 | 895.5 | 20 | 22 | 877.5 | 29 | 24 |
| BTX-3 | C50H72O14 | [M + NH4]+ | 914.5 | 90 | 725.5 | 33 | 18 | 825.5 | 21 | 20 |
| BTX-B5 or 6 | C50H70O15 | [M + NH4]+ | 928.5 | 90 | 911.5 | 20 | 22 | 875.5 | 31 | 24 |
| S-deoxy-BTX-B2 or BTX-B1 | C53H79O16NS C52H75O17NS | [M + H]+ | 1018.5 | 180 | 1000.5 | 45 | 24 | 929.5 | 47 | 24 |
| BTX-B2 | C53H79O17NS | [M + H]+ | 1034.5 | 180 | 1016.5 | 45 | 24 | 929.5 | 47 | 24 |
| BTX-B3a | C64H96O17 | [M + NH4]+ | 1154.7 | 90 | 1137.7 | 20 | 22 | 1119.7 | 28 | 22 |
| BTX-B3b | C66H100O17 | [M + NH4]+ | 1182.7 | 90 | 1165.7 | 20 | 22 | 1147.7 | 28 | 22 |
| BTX-B4a | C67H105O18NS | [M + H]+ | 1244.7 | 180 | 1226.7 | 45 | 24 | 929.5 | 47 | 24 |
| BTX-B4b | C69H109O18NS | [M + H]+ | 1272.7 | 180 | 1254.7 | 45 | 24 | 929.5 | 47 | 24 |
| Ionization Mode | IS | TEM | GS2 | GS1 | CUR |
|---|---|---|---|---|---|
| Positive | 4500 | 300 | 30 | 30 | 20 |
Disclaimer/Publisher’s Note: The statements, opinions and data contained in all publications are solely those of the individual author(s) and contributor(s) and not of MDPI and/or the editor(s). MDPI and/or the editor(s) disclaim responsibility for any injury to people or property resulting from any ideas, methods, instructions or products referred to in the content. |
© 2026 by the authors. Licensee MDPI, Basel, Switzerland. This article is an open access article distributed under the terms and conditions of the Creative Commons Attribution (CC BY) license.
Share and Cite
Amzil, Z.; Derrien, A.; Lhaute, K.; Terrillon, A.T.; Tanniou, S. Brevetoxin Metabolites: Emerging Toxins in French Shellfish Determined by LC-MS/MS and ELISA. Mar. Drugs 2026, 24, 67. https://doi.org/10.3390/md24020067
Amzil Z, Derrien A, Lhaute K, Terrillon AT, Tanniou S. Brevetoxin Metabolites: Emerging Toxins in French Shellfish Determined by LC-MS/MS and ELISA. Marine Drugs. 2026; 24(2):67. https://doi.org/10.3390/md24020067
Chicago/Turabian StyleAmzil, Zouher, Amélie Derrien, Korian Lhaute, Aouregan Terre Terrillon, and Simon Tanniou. 2026. "Brevetoxin Metabolites: Emerging Toxins in French Shellfish Determined by LC-MS/MS and ELISA" Marine Drugs 24, no. 2: 67. https://doi.org/10.3390/md24020067
APA StyleAmzil, Z., Derrien, A., Lhaute, K., Terrillon, A. T., & Tanniou, S. (2026). Brevetoxin Metabolites: Emerging Toxins in French Shellfish Determined by LC-MS/MS and ELISA. Marine Drugs, 24(2), 67. https://doi.org/10.3390/md24020067

