Optimized Conditions for Extracting Native Type-I Collagen from Discarded Fish Skin Using Hydrochloric Acid to Overcome the Drawbacks of Acetic Acid
Abstract
1. Introduction
2. Results
2.1. Suitable pH for Collagen Extraction, Using HCl as the Extraction Medium
2.2. pH, Solubility and Viscosity During Extraction
2.2.1. pH of the Solutions During Extraction
2.2.2. Solubility of Fish Skin During Extraction
2.2.3. Viscosity of the Solutions During Extraction
2.3. Morphology and Microstructure of Collagen
2.4. Native Triple-Helical Structure of Collagen
2.4.1. ATR-FTIR Spectra of Collagen
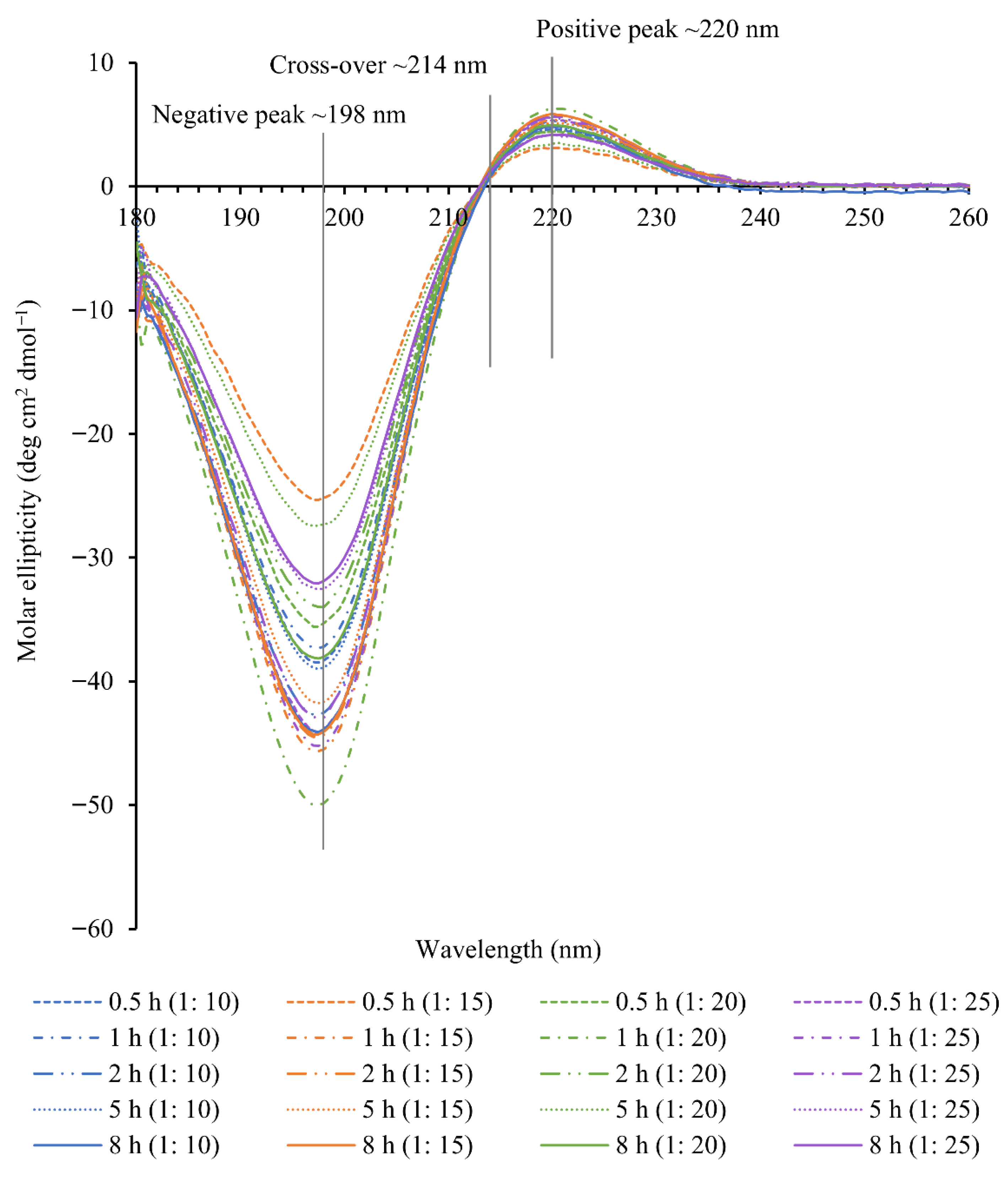
2.4.2. CD Spectra of Collagen
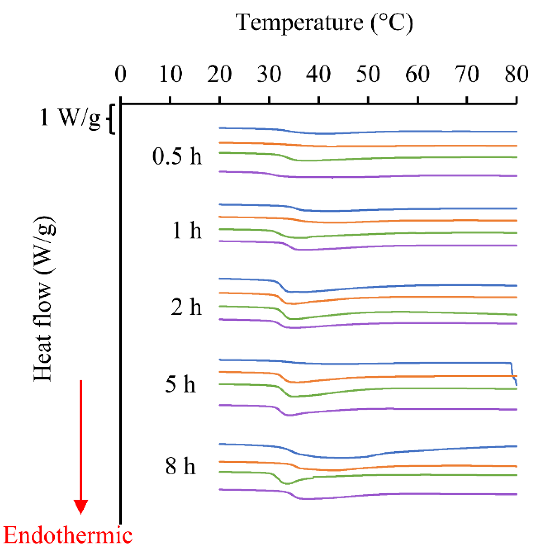
2.5. Thermal Stability of Collagen
2.6. Yield of Collagen
3. Discussion
3.1. pH, Solubility and Viscosity During Extraction
3.2. Morphology and Microstructure of Collagen
3.3. Native Triple-Helical Structure of Collagen
3.4. Thermal Stability of Collagen
3.5. Yield of Collagen
4. Methods
4.1. Sample Preparation
4.2. Determination of the Suitable HCl Concentration (pH) for Collagen Extraction
4.3. Experimental Protocol to Select the Suitable Extraction Time and Mass to Volume Ratio
4.4. pH of the Solutions
4.5. Solubility of the Fish Skin After Homogenization
4.6. Viscosity of the Solutions After Homogenization
4.7. Morphology and Microstructure of Collagen
4.8. Native Triple-Helical Structure of Collagen
4.8.1. ATR-FTIR Spectroscopy
4.8.2. CD Spectroscopy
4.8.3. Thermal Stability by DSC
4.8.4. Yield of Collagen
5. Conclusions
Author Contributions
Funding
Institutional Review Board Statement
Data Availability Statement
Acknowledgments
Conflicts of Interest
Abbreviations
| ATR-FTIR | Attenuated Total Reflectance-Fourier Transform Infra-Red |
| SEM | Scanning Electron Spectroscopy |
| CD | Circular Dichroism |
| SD | Standard Deviation |
| DSC | Differential Scanning Calorimetry |
References
- Lakmini, K.P.C.; Gonapinuwala, S.T.; Senarath, H.P.C.; Fernando, C.A.N.; Wijesekara, I.; De Croos, M.D.S.T. Effect of autoclaving as a pre-treatment in the wet reduction process for extracting fish oil from yellowfin tuna heads. Sri Lanka J. Aquat. Sci. 2022, 27, 43–61. [Google Scholar] [CrossRef]
- Liyanage, C.S.; Gonapinuwala, S.T.; Fernando, C.A.N.; De Croos, M.D.S.T. Physico-chemical properties of chitosan extracted from Whiteleg shrimp (Litopenaeus vannamei) processing shell waste in Sri Lanka. Sri Lanka J. Aquat. Sci. 2022, 27, 23–36. [Google Scholar] [CrossRef]
- Liyanage, C.S.; Gonapinuwala, S.T.; Fernando, C.A.N.; De Croos, M.D.S.T. A Simple and Effective Method to Extract Chitosan from Crustacean Shell Waste. J. Aquat. Food Prod. Technol. 2023, 32, 396–415. [Google Scholar] [CrossRef]
- Wasswa, J.; Tang, J.; Gu, X. Utilization of fish processing by-products in the gelatin industry. Food Rev. Int. 2007, 23, 159–174. [Google Scholar] [CrossRef]
- Xu, S.; Yang, H.; Shen, L.; Li, G. Purity and yield of collagen extracted from southern catfish (Silurus meridionalis Chen) skin through improved pretreatment methods. Int. J. Food Prop. 2017, 20, S141–S153. [Google Scholar] [CrossRef]
- Li, Z.R.; Wang, B.; Chi, C.F.; Zhang, Q.H.; Gong, Y.D.; Tang, J.J.; Luo, H.; Ding, G.F. Isolation and characterization of acid soluble collagens and pepsin soluble collagens from the skin and bone of Spanish mackerel (Scomberomorous niphonius). Food Hydrocoll. 2013, 31, 103–113. [Google Scholar] [CrossRef]
- Wu, X.; Cai, L.; Cao, A.; Wang, Y.; Li, T.; Li, J. Comparative study on acid-soluble and pepsin-soluble collagens from skin and swim bladder of grass carp (Ctenopharyngodon idella). J. Sci. Food Agric. 2016, 96, 815–821. [Google Scholar] [CrossRef]
- Riaz, T.; Zeeshan, R.; Zarif, F.; Ilyas, K.; Muhammad, N.; Safi, S.Z.; Rahim, A.; Rizvi, S.A.A.; Rehman, I.U. FTIR analysis of natural and synthetic collagen. Appl. Spectrosc. Rev. 2018, 53, 703–746. [Google Scholar] [CrossRef]
- Sun, L.; Li, B.; Song, W.; Si, L.; Hou, H. Characterization of Pacific cod (Gadus macrocephalus) skin collagen and fabrication of collagen sponge as a good biocompatible biomedical material. Process Biochem. 2017, 63, 229–235. [Google Scholar] [CrossRef]
- Zhu, S.; Yuan, Q.; Yin, T.; You, J.; Gu, Z.; Xiong, S.; Hu, Y. Self-assembly of collagen-based biomaterials: Preparation, characterizations and biomedical applications. J. Mater. Chem. B 2018, 6, 2650–2676. [Google Scholar] [CrossRef]
- Qi, P.; Zhou, Y.; Wang, D.; He, Z.; Li, Z. A new collagen solution with high concentration and collagen native structure perfectly preserved. RSC Adv. 2015, 5, 87180–87186. [Google Scholar] [CrossRef]
- Subhan, F.; Ikram, M.; Shehzad, A.; Ghafoor, A. Marine collagen: An emerging player in biomedical applications. J. Food Sci. Technol. 2015, 52, 4703–4707. [Google Scholar] [CrossRef] [PubMed]
- Yamamoto, K.; Yoshizawa, Y.; Yanagiguchi, K.; Ikeda, T.; Yamada, S.; Hayashi, Y. The characterization of fish (tilapia) collagen sponge as a biomaterial. Int. J. Polym. Sci. 2015, 2015, 957385. [Google Scholar] [CrossRef]
- Sousa, R.O.; Alves, A.L.; Carvalho, D.N.; Martins, E.; Oliveira, C.; Silva, T.H.; Reis, R.L. Acid and enzymatic extraction of collagen from Atlantic cod (Gadus morhua) swim bladders envisaging health-related applications. J. Biomater. Sci. Polym. Ed. 2020, 31, 20–37. [Google Scholar] [CrossRef] [PubMed]
- Ahmed, R.; Haq, M.; Chun, B.S. Characterization of marine derived collagen extracted from the by-products of bigeye tuna (Thunnus obesus). Int. J. Biol. Macromol. 2019, 135, 668–676. [Google Scholar] [CrossRef]
- Hofman, K.; Tucker, N.; Stanger, J.; Staiger, M.; Marshall, S.; Hall, B. Effects of the molecular format of collagen on characteristics of electrospun fibers. J. Mater. Sci. 2012, 47, 1148–1155. [Google Scholar] [CrossRef]
- Skierka, E.; Sadowska, M. The influence of different acids and pepsin on the extractability of collagen from the skin of Baltic cod (Gadus morhua). Food Chem. 2007, 105, 1302–1306. [Google Scholar] [CrossRef]
- Schmidt, M.M.; Dornelles, R.C.P.; Mello, R.O.; Kubota, E.H.; Mazutti, M.A.; Kempka, A.P.; Demiate, I.M. Collagen extraction process. Int. Food Res. J. 2016, 23, 913. [Google Scholar]
- Pal, G.K.; Suresh, P.V. Sustainable valorisation of seafood by-products: Recovery of collagen and development of collagen-based novel functional food ingredients. Innov. Food Sci. Emerg. Technol. 2016, 37, 201–215. [Google Scholar] [CrossRef]
- Bak, S.Y.; Lee, S.W.; Choi, C.H.; Kim, H.W. Assessment of the influence of acetic acid residue on type I collagen during isolation and characterization. Materials 2018, 11, 2518. [Google Scholar] [CrossRef]
- Ampitiya, A.G.D.M.; Gonapinuwala, S.T.; Fernando, C.A.N.; De Croos, M.D.S.T. Extraction and characterization of type I collagen from the skin offcuts generated at the commercial fish processing centers. J. Food Sci. Technol. 2023, 60, 484–493. [Google Scholar] [CrossRef] [PubMed]
- Wang, L.; An, X.; Yang, F.; Xin, Z.; Zhao, L.; Hu, Q. Isolation and characterisation of collagens from the skin, scale and bone of deep-sea redfish (Sebastes mentella). Food Chem. 2008, 108, 616–623. [Google Scholar] [CrossRef]
- Muralidharan, N.; JeyaShakila, R.; Sukumar, D.; Jeyasekaran, G. Skin, bone and muscle collagen extraction from the trash fish, leather jacket (Odonus niger) and their characterization. J. Food Sci. Technol. 2013, 50, 1106–1113. [Google Scholar] [CrossRef]
- Zhou, Y.; Li, S.; Wang, D.; Zhao, Y.; Lei, X. Estimation of type i collagen structure dissolved in inorganical acids from circular dichroism spectra. Biosci. J. 2018, 34, 778–789. [Google Scholar] [CrossRef]
- Gonapinuwala, S.T.; Jones, J.R.; Kirk, S.; De Croos, M.D.S.T.; Bronlund, J.E. Collagen Fibrils with Native D-periodicity from Fish Skin: A Simplified Fibrillogenesis Method. Food Bioprocess Tech. 2025, 18, 3834–3847. [Google Scholar] [CrossRef]
- Gonapinuwala, S.T.; Jones, J.R.; Kirk, S.; De Croos, M.D.S.T.; Bronlund, J.E. Collagen with Native Triple-Helical Structure from Representative Cold-Water and Warm-Water Fish Skins Using a Modified Protocol. Food Bioprocess Tech. 2025, 18, 7993–8007. [Google Scholar] [CrossRef]
- Sun, M.; Wei, X.; Wang, H.; Xu, C.; Wei, B.; Zhang, J.; He, L.; Xu, Y.; Li, S. Structure Restoration of Thermally Denatured Collagen by Ultrahigh Pressure Treatment. Food Bioprocess Tech. 2020, 13, 367–378. [Google Scholar] [CrossRef]
- Martins, E.; Fernandes, R.; Alves, A.L.; Sousa, R.O.; Reis, R.L.; Silva, T.H. Skin byproducts of Reinhardtius hippoglossoides (Greenland Halibut) as ecosustainable source of marine collagen. Appl. Sci. 2022, 12, 11282. [Google Scholar] [CrossRef]
- Martins, E.; Diogo, G.S.; Pires, R.; Reis, R.L.; Silva, T.H. 3D biocomposites comprising marine collagen and silica-based materials inspired on the composition of marine sponge skeletons envisaging bone tissue regeneration. Mar. Drugs. 2022, 20, 718. [Google Scholar] [CrossRef] [PubMed]
- Harnkarnsujarit, N.; Kawai, K.; Suzuki, T. Effects of freezing temperature and water activity on microstructure, color, and protein conformation of freeze-dried bluefin tuna (Thunnus orientalis). Food Bioprocess Tech. 2015, 8, 916–925. [Google Scholar] [CrossRef]
- Jeong, H.S.; Venkatesanm, J.; Kim, S.K. Isolation and characterization of collagen from marine fish (Thunnus obesus). Biotechnol. Bioprocess Eng. 2013, 18, 1185–1191. [Google Scholar] [CrossRef]
- Drzewiecki, K.E.; Grisham, D.R.; Parmar, A.S.; Nanda, V.; Shreiber, D.I. Circular dichroism spectroscopy of collagen fibrillogenesis: A new use for an old technique. Biophys. J. 2016, 111, 2377–2386. [Google Scholar] [CrossRef]
- Rodger, A.; Marshall, D. Beginners guide to circular dichroism. Biochemist 2021, 43, 58–64. [Google Scholar] [CrossRef]
- Gopinath, A.; Shanmugam, G.; Madhan, B.; Rao, J.R. Differential behavior of native and denatured collagen in the presence of alcoholic solvents: A gateway to instant structural analysis. Int. J. Biol. Macromol. 2017, 102, 1156–1165. [Google Scholar] [CrossRef]
- Liu, X.; Dan, N.; Dan, W. Preparation and characterization of an advanced collagen aggregate from porcine acellular dermal matrix. Int. J. Biol. Macromol. 2016, 88, 179–188. [Google Scholar] [CrossRef]
- Akita, M.; Nishikawa, Y.; Shigenobu, Y.; Ambe, D.; Morita, T.; Morioka, K.; Adachi, K. Correlation of proline, hydroxyproline and serine content, denaturation temperature and circular dichroism analysis of type I collagen with the physiological temperature of marine teleosts. Food Chem. 2020, 329, 126775. [Google Scholar] [CrossRef] [PubMed]
- Perez-Puyana, V.; Ostos, F.J.; López-Cornejo, P.; Romero, A.; Guerrero, A. Assessment of the denaturation of collagen protein concentrates using different techniques. Biol. Chem. 2019, 400, 1583–1591. [Google Scholar] [CrossRef] [PubMed]
- Rodríguez, F.; Morán, L.; González, G.; Troncoso, E.; Zúñiga, R.N. Collagen extraction from mussel byssus: A new marine collagen source with physicochemical properties of industrial interest. J. Food Sci. Technol. 2017, 54, 1228–1238. [Google Scholar] [CrossRef]
- Woo, J.W.; Yu, S.J.; Cho, S.M.; Lee, Y.B.; Kim, S.B. Extraction optimization and properties of collagen from yellowfin tuna (Thunnus albacares) dorsal skin. Food Hydrocoll. 2008, 22, 879–887. [Google Scholar] [CrossRef]
- Song, Z.; Liu, H.; Chen, L.; Chen, L.; Zhou, C.; Hong, P.; Deng, C. Characterization and comparison of collagen extracted from the skin of the Nile tilapia by fermentation and chemical pretreatment. Food Chem. 2021, 340, 128139. [Google Scholar] [CrossRef]
- Gobeaux, F.; Mosser, G.; Anglo, A.; Panine, P.; Davidson, P.; Giraud-Guille, M.M.; Belamie, E. Fibrillogenesis in dense collagen solutions: A physicochemical study. J. Mol. Biol. 2008, 376, 1509–1522. [Google Scholar] [CrossRef]
- Mosser, G.; Anglo, A.; Helary, C.; Bouligand, Y.; Giraud-Guille, M.M. Dense tissue-like collagen matrices formed in cell-free conditions. Matrix Biol. 2006, 25, 3–13. [Google Scholar] [CrossRef] [PubMed]
- Chen, J.; Li, L.; Yi, R.; Xu, N.; Gao, R.; Hong, B. Extraction and characterization of acid-soluble collagen from scales and skin of tilapia (Oreochromis niloticus). LWT-Food Sci. Technol. 2016, 66, 453–459. [Google Scholar] [CrossRef]
- Liu, D.; Liang, L.; Regenstein, J.M.; Zhou, P. Extraction and characterisation of pepsin-solubilised collagen from fins, scales, skins, bones and swim bladders of bighead carp (Hypophthalmichthys nobilis). Food Chem. 2012, 133, 1441–1448. [Google Scholar] [CrossRef]
- Farrell, H.M., Jr.; Wickham, E.D.; Unruh, J.J.; Qi, P.X.; Hoagland, P.D. Secondary structural studies of bovine caseins: Temperature dependence of β-casein structure as analyzed by circular dichroism and FTIR spectroscopy and correlation with micellization. Food Hydrocoll. 2001, 15, 341–354. [Google Scholar] [CrossRef]
- Goissis, G.; Piccirili, L.; Goes, J.C.; de Guzzi Plepis, A.M.; Das-Gupta, D.K. Anionic collagen: Polymer composites with improved dielectric and rheological properties. Artif. Organs 1998, 22, 203–209. [Google Scholar] [CrossRef] [PubMed]
- Barzideh, Z.; Latiff, A.A.; Gan, C.Y.; Benjakul, S.; Karim, A.A. Isolation and characterisation of collagen from the ribbon jellyfish (Chrysaora sp.). Int. J. Food Sci. Technol. 2014, 49, 1490–1499. [Google Scholar] [CrossRef]
- Nishad Fathima, N.; Saranya Devi, R.; Rekha, K.B.; Dhathathreyan, A. Collagen-curcumin interaction—A physico-chemical study. J. Chem. Sci. 2009, 121, 509–514. [Google Scholar] [CrossRef]
- Liao, W.; Guanghua, X.; Li, Y.; Shen, X.R.; Li, C. Comparison of characteristics and fibril-forming ability of skin collagen from barramundi (Lates calcarifer) and tilapia (Oreochromis niloticus). Int. J. Biol. Macromol. 2018, 107, 549–559. [Google Scholar] [CrossRef]
- Chen, X.; Guo, Z.; Zhang, J.; Li, Y.; Duan, R. A new method for determining the denaturation temperature of collagen. Food Chem. 2021, 343, 128393. [Google Scholar] [CrossRef]
- Gauza-Włodarczyk, M.; Kubisz, L.; Mielcarek, S.; Włodarczyk, D. Comparison of thermal properties of fish collagen and bovine collagen in the temperature range 298–670 K. Mater. Sci. Eng. C 2017, 80, 468–471. [Google Scholar] [CrossRef]
- Zeugolis, D.I.; Raghunath, M. The physiological relevance of wet versus dry differential scanning calorimetry for biomaterial evaluation: A technical note. Polym. Int. 2010, 59, 1403–1407. [Google Scholar] [CrossRef]
- Kittiphattanabawon, P.; Benjakul, S.; Visessanguan, W.; Nagai, T.; Tanaka, M. Characterisation of acid-soluble collagen from skin and bone of bigeye snapper (Priacanthus tayenus). Food Chem. 2005, 89, 363–372. [Google Scholar] [CrossRef]
- Nalinanon, S.; Benjakul, S.; Kishimura, H.; Osako, K. Type I collagen from the skin of ornate threadfin bream (Nemipterus hexodon): Characteristics and effect of pepsin hydrolysis. Food Chem. 2011, 125, 500–507. [Google Scholar] [CrossRef]
- Liu, W.; Tian, Z.; Li, C.; Li, G. Thermal denaturation of fish collagen in solution: A calorimetric and kinetic analysis. Thermochim. Acta 2014, 581, 32–40. [Google Scholar] [CrossRef]
- Burjanadze, T.V. New analysis of the phylogenetic change of collagen thermostability. Biopolym. Orig. Res. Biomol. 2000, 53, 523–528. [Google Scholar] [CrossRef]
- Bae, I.; Osatomi, K.; Yoshida, A.; Osako, K.; Yamaguchi, A.; Hara, K. Biochemical properties of acid-soluble collagens extracted from the skins of underutilised fishes. Food Chem. 2008, 108, 49–54. [Google Scholar] [CrossRef]
- Holmes, R.; Kirk, S.; Tronci, G.; Yang, X.; Wood, D. Influence of telopeptides on the structural and physical properties of polymeric and monomeric acid-soluble type I collagen. Mater. Sci. Eng. C 2017, 77, 823–827. [Google Scholar] [CrossRef]
- AOAC International. Official Methods of Analysis of the Association of Official Analytical Chemists, 15th ed.; Helrich, K., Ed.; Association of Official Analytical Chemists, Inc.: Arlington, VA, USA, 1990. [Google Scholar]








| Extraction Time (h) | Skin: HCl (m/v) Ratio | HCl pH (Initial) | pH by the End of Extraction Time | pH by the End of Homogenization | pH Before Starting the Fibrillogenesis |
|---|---|---|---|---|---|
| 0.5 | 1:10 | 2.04 | 3.24 | 3.99 | 4.20 |
| 1:15 | 2.04 | 3.21 | 3.30 | 3.46 | |
| 1:20 | 2.04 | 3.02 | 2.95 | 3.06 | |
| 1:25 | 2.04 | 2.83 | 2.70 | 2.71 | |
| 1 | 1:10 | 2.04 | 4.12 | 4.57 | 4.60 |
| 1:15 | 2.04 | 3.57 | 3.87 | 3.91 | |
| 1:20 | 2.04 | 3.29 | 3.15 | 3.29 | |
| 1:25 | 2.05 | 2.92 | 2.83 | 2.83 | |
| 2 | 1:10 | 1.99 | 3.95 | 4.02 | 4.23 |
| 1:15 | 2.00 | 3.42 | 3.56 | 3.60 | |
| 1:20 | 2.00 | 3.34 | 3.42 | 3.48 | |
| 1:25 | 2.00 | 3.04 | 2.97 | 3.00 | |
| 5 | 1:10 | 2.04 | 4.51 | 4.58 | 4.61 |
| 1:15 | 2.00 | 3.92 | 4.11 | 4.21 | |
| 1:20 | 2.01 | 3.66 | 3.75 | 3.82 | |
| 1:25 | 2.01 | 3.07 | 3.18 | 3.22 | |
| 8 | 1:10 | 2.00 | 4.82 | 4.90 | 4.93 |
| 1:15 | 2.02 | 4.14 | 4.17 | 4.29 | |
| 1:20 | 2.01 | 3.64 | 3.77 | 3.77 | |
| 1:25 | 1.99 | 3.16 | 3.25 | 3.28 |
| Amide Peak | General Range of Wavenumber (cm−1) * | m/v Ratio | Extraction Time | ||||
|---|---|---|---|---|---|---|---|
| 0.5 h | 1 h | 2 h | 5 h | 8 h | |||
| Amide A | 3400–3440 | 1: 10 | 3303 (±5) | 3300 (±5) | 3298 (±11) | 3298 (±9) | 3289 (±4) |
| 1: 15 | 3298 (±5) | 3298 (±6) | 3299 (±4) | 3301 (±3) | 3294 (±7) | ||
| 1: 20 | 3303 (±4) | 3296 (±4) | 3297 (±10) | 3301 (±7) | 3298 (±5) | ||
| 1: 25 | 3298 (±6) | 3300 (±3) | 3298 (±8) | 3297 (±5) | 3293 (±10) | ||
| Amide B | near 2920 | 1: 10 | 2924 (±1) | 2923 (±1) | 2924 (±1) | 2924 (±1) | 2924 (±1) |
| 1: 15 | 2924 (±1) | 2923 (±1) | 2924 (±1) | 2924 (±1) | 2923 (±0) | ||
| 1: 20 | 2924 (±1) | 2923 (±1) | 2924 (±2) | 2924 (±0) | 2924 (±0) | ||
| 1: 25 | 2923 (±1) | 2924 (±1) | 2924 (±0) | 2924 (±1) | 2923 (±1) | ||
| Amide I | 1600–1700 | 1: 10 | 1649 (±5) | 1641 (±6) | 1646 (±9) | 1644 (±7) | 1651 (±3) |
| 1: 15 | 1645 (±5) | 1644 (±9) | 1642 (±6) | 1647 (±6) | 1639 (±4) | ||
| 1: 20 | 1647 (±8) | 1636 (±3) | 1642 (±7) | 1647 (±7) | 1641 (±5) | ||
| 1: 25 | 1650 (±2) | 1649 (±3) | 1649 (±2) | 1649 (±2) | 1645 (±5) | ||
| Amide II | 1550–1600 | 1: 10 | 1541 (±4) | 1540 (±5) | 1545 (±6) | 1541 (±7) | 1538 (±1) |
| 1: 15 | 1542 (±5) | 1542 (±6) | 1540 (±3) | 1546 (±5) | 1538 (±2) | ||
| 1: 20 | 1543 (±3) | 1540 (±3) | 1540 (±5) | 1547 (±3) | 1536 (±3) | ||
| 1: 25 | 1542 (±3) | 1540 (±3) | 1542 (±5) | 1548 (±2) | 1536 (±4) | ||
| Amide III | 1230–1300 | 1: 10 | 1236 (±1) | 1235 (±2) | 1237 (±1) | 1236 (±2) | 1235 (±1) |
| 1: 15 | 1236 (±1) | 1235 (±2) | 1236 (±1) | 1238 (±1) | 1234 (±1) | ||
| 1: 20 | 1237 (±1) | 1235 (±2) | 1236 (±1) | 1238 (±1) | 1233 (±1) | ||
| 1: 25 | 1236 (±0) | 1237 (±1) | 1236 (±1) | 1237 (±1) | 1233 (±2) | ||
| Time (h) | m/v Ratio | Absorption Ratio by FTIR | Rpn Ratio by CD | Onset Temperature (°C) | Denaturation Temperature (°C) | Enthalpy of Denaturation (J/g) |
|---|---|---|---|---|---|---|
| 0.5 | 1:10 | 0.85 ± 0.01 | −0.12 | 26.13 | 40.13 | 24.90 |
| 1:15 | 0.87 ± 0.01 | −0.12 | 22.82 | 41.49 | 21.83 | |
| 1:20 | 0.85 ± 0.02 | −0.12 | 25.78 | 37.41 | 52.52 | |
| 1:25 | 0.86 ± 0.02 | −0.12 | 21.46 | 39.44 | 36.07 | |
| 1 | 1:10 | 0.86 ± 0.02 | −0.13 | 21.04 | 41.43 | 40.50 |
| 1:15 | 0.87 ± 0.01 | −0.13 | 20.89 | 42.34 | 26.51 | |
| 1:20 | 0.86 ± 0.02 | −0.13 | 25.89 | 36.03 | 49.15 | |
| 1:25 | 0.85 ± 0.01 | −0.12 | 21.34 | 36.79 | 46.66 | |
| 2 | 1:10 | 0.86 ± 0.02 | −0.12 | 20.85 | 34.23 | 78.45 |
| 1:15 | 0.86 ± 0.02 | −0.12 | 21.76 | 34.66 | 44.59 | |
| 1:20 | 0.84 ± 0.01 | −0.13 | 27.00 | 34.50 | 49.09 | |
| 1:25 | 0.88 ± 0.03 | −0.13 | 21.30 | 34.98 | 40.90 | |
| 5 | 1:10 | 0.85 ± 0.02 | −0.12 | 25.82 | 42.12 | 24.06 |
| 1:15 | 0.86 ± 0.01 | −0.12 | 28.14 | 35.20 | 42.89 | |
| 1:20 | 0.86 ± 0.01 | −0.12 | 26.15 | 35.05 | 54.01 | |
| 1:25 | 0.87 ± 0.01 | −0.13 | 27.34 | 33.98 | 33.22 | |
| 8 | 1:10 | 0.82 ± 0.02 | −0.11 | 26.34 | 42.59 | 69.36 |
| 1:15 | 0.84 ± 0.03 | −0.13 | 30.55 | 42.85 | 36.40 | |
| 1:20 | 0.84 ± 0.01 | −0.13 | 27.51 | 33.59 | 34.15 | |
| 1:25 | 0.85 ± 0.02 | −0.13 | 28.35 | 37.70 | 39.79 |
Disclaimer/Publisher’s Note: The statements, opinions and data contained in all publications are solely those of the individual author(s) and contributor(s) and not of MDPI and/or the editor(s). MDPI and/or the editor(s) disclaim responsibility for any injury to people or property resulting from any ideas, methods, instructions or products referred to in the content. |
© 2026 by the authors. Licensee MDPI, Basel, Switzerland. This article is an open access article distributed under the terms and conditions of the Creative Commons Attribution (CC BY) license.
Share and Cite
Gonapinuwala, S.T.; Jones, J.R.; Kirk, S.; de Croos, M.D.S.T.; Bronlund, J.E. Optimized Conditions for Extracting Native Type-I Collagen from Discarded Fish Skin Using Hydrochloric Acid to Overcome the Drawbacks of Acetic Acid. Mar. Drugs 2026, 24, 28. https://doi.org/10.3390/md24010028
Gonapinuwala ST, Jones JR, Kirk S, de Croos MDST, Bronlund JE. Optimized Conditions for Extracting Native Type-I Collagen from Discarded Fish Skin Using Hydrochloric Acid to Overcome the Drawbacks of Acetic Acid. Marine Drugs. 2026; 24(1):28. https://doi.org/10.3390/md24010028
Chicago/Turabian StyleGonapinuwala, S.T., J.R. Jones, S. Kirk, M.D.S.T. de Croos, and J.E. Bronlund. 2026. "Optimized Conditions for Extracting Native Type-I Collagen from Discarded Fish Skin Using Hydrochloric Acid to Overcome the Drawbacks of Acetic Acid" Marine Drugs 24, no. 1: 28. https://doi.org/10.3390/md24010028
APA StyleGonapinuwala, S. T., Jones, J. R., Kirk, S., de Croos, M. D. S. T., & Bronlund, J. E. (2026). Optimized Conditions for Extracting Native Type-I Collagen from Discarded Fish Skin Using Hydrochloric Acid to Overcome the Drawbacks of Acetic Acid. Marine Drugs, 24(1), 28. https://doi.org/10.3390/md24010028

