Molecular Weight Distribution and Antioxidant Activity of Enzymatic Hydrolysates from Rhopilema hispidum and Nemopilema nomurai Under Different Enzymatic Hydrolysis Conditions
Abstract
1. Introduction
2. Results and Discussion
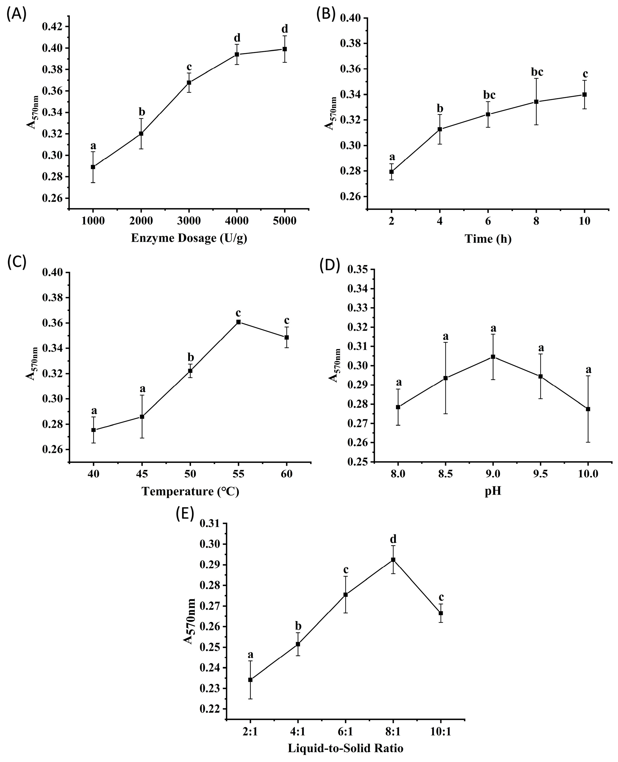
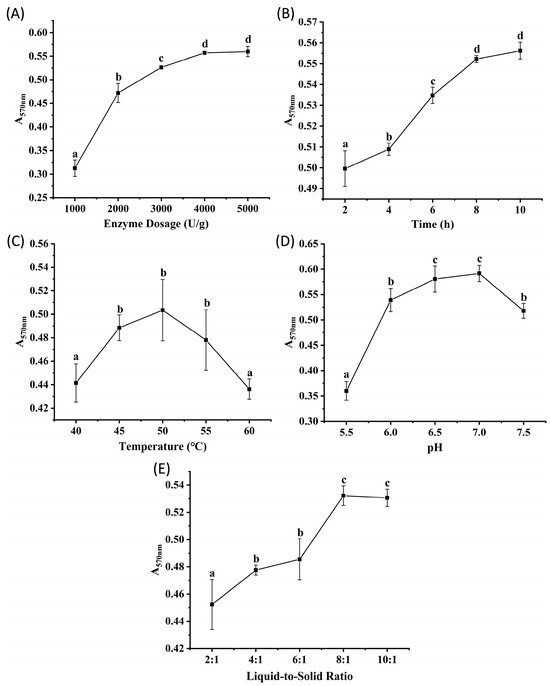
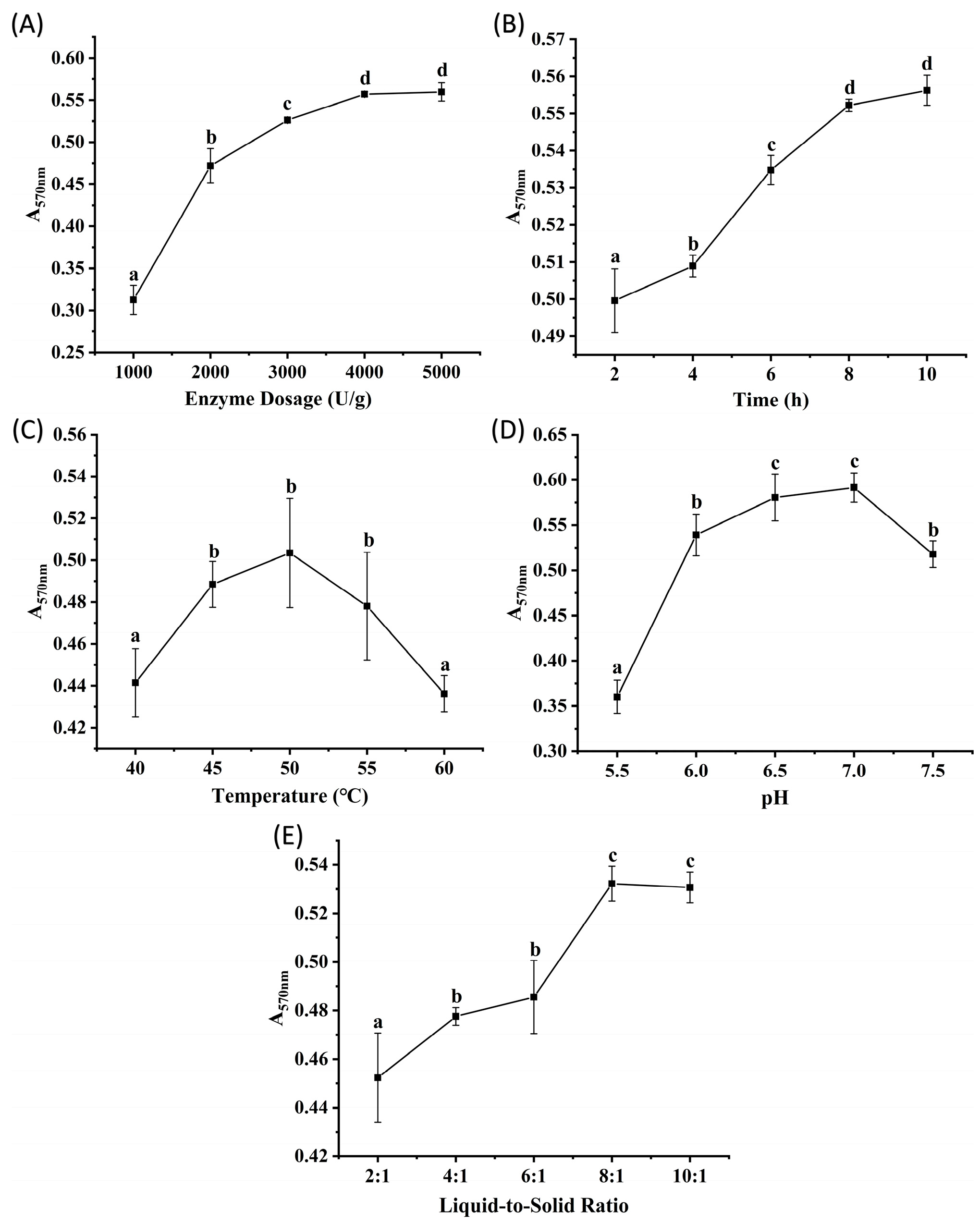
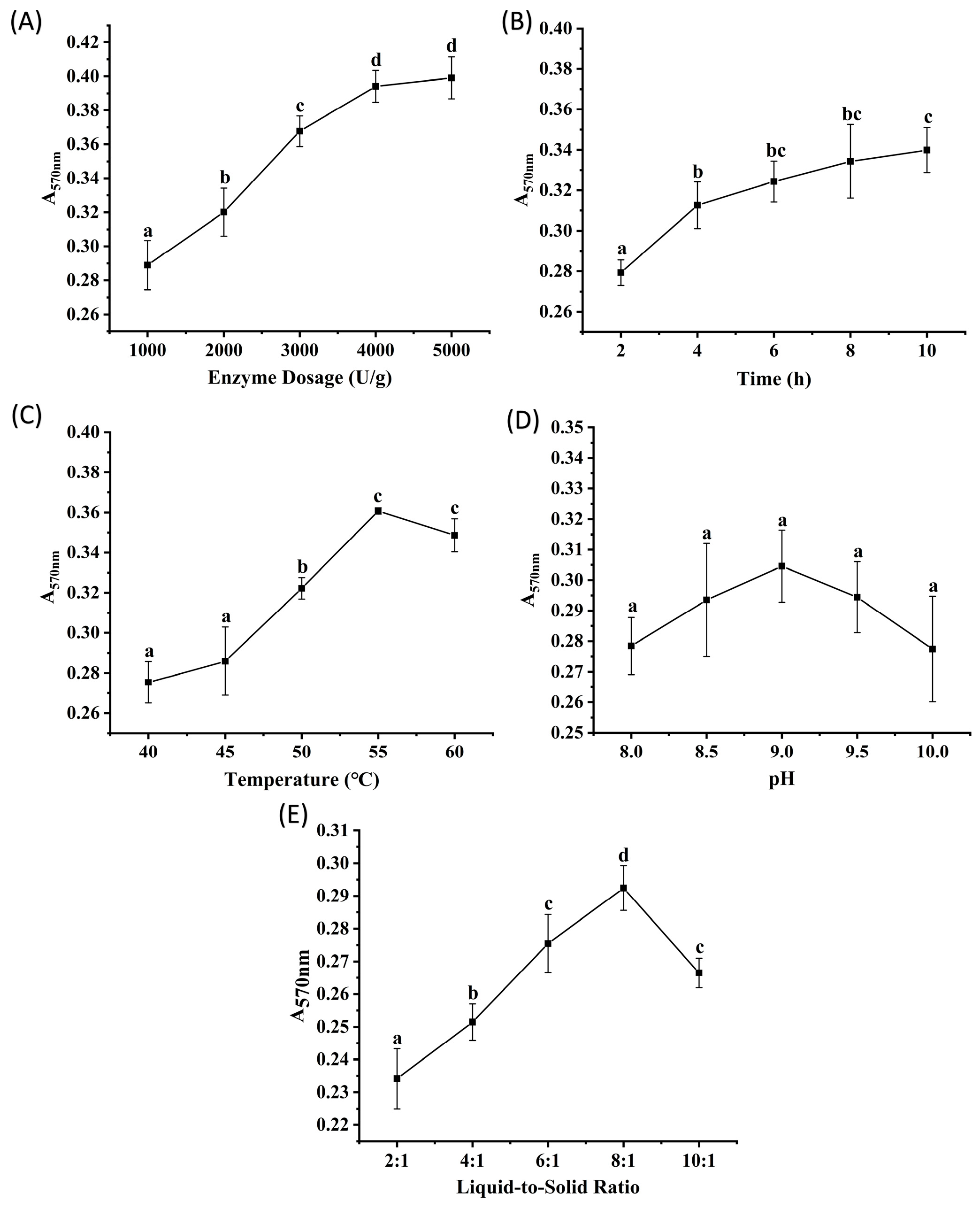
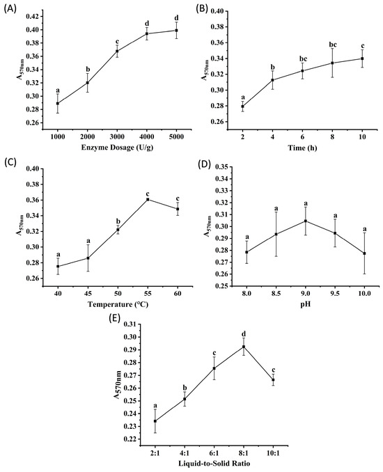
2.1. Single-Factor Experiment
2.2. Orthogonal Experiment
2.3. Degree of Hydrolysis (DH)
2.4. Molecular Weight Distribution
2.5. Antioxidant Activity
3. Materials and Methods
3.1. Materials
3.2. Jellyfish Enzymatic Hydrolysis Process
3.3. The Ninhydrin Colorimetry Assay
3.4. Single-Factor Experiments of Proteolysis
3.5. Proteolysis Orthogonal Experiments
3.6. Determination of Degree of Hydrolysis (DH)
3.7. Determination of Molecular Weight Distribution
3.8. Determination of Antioxidant Activity
3.9. Statistical Analysis
4. Conclusions
Author Contributions
Funding
Institutional Review Board Statement
Data Availability Statement
Conflicts of Interest
Abbreviations
| R. hispidum | Rhopilema hispidum |
| N. nomurai | Nemopilema nomurai |
| DH | Degree of hydrolysis |
| •OH | Hydroxyl radical |
| DPPH• | 1,1-diphenyl-2-picrylhydrazyl radical |
| O2•− | Superoxide anion |
| GSH | Glutathione |
References
- Zhang, Q.; Song, C.; Zhao, J.; Shi, X.; Sun, M.; Liu, J.; Fu, Y.; Jin, W.; Zhu, B. Separation and Characterization of Antioxidative and Angiotensin Converting Enzyme Inhibitory Peptide from Jellyfish Gonad Hydrolysate. Molecules 2018, 23, 94. [Google Scholar] [CrossRef]
- Upata, M.; Siriwoharn, T.; Makkhun, S.; Yarnpakdee, S.; Regenstein, J.M.; Wangtueai, S. Tyrosinase Inhibitory and Antioxidant Activity of Enzymatic Protein Hydrolysate from Jellyfish (Lobonema smithii). Foods 2022, 11, 615. [Google Scholar] [CrossRef]
- Prommasith, P.; Surayot, U.; Autsavapromporn, N.; Rod-in, W.; Rachtanapun, P.; Wangtueai, S. Immunomodulatory, Anticancer, and Antioxidative Activities of Bioactive Peptide Fractions from Enzymatically Hydrolyzed White Jellyfish (Lobonema smithii). Foods 2024, 13, 3350. [Google Scholar] [CrossRef]
- De Domenico, S.; De Rinaldis, G.; Paulmery, M.; Piraino, S.; Leone, A. Barrel Jellyfish (Rhizostoma pulmo) as Source of Antioxidant Peptides. Mar. Drugs 2019, 17, 134. [Google Scholar] [CrossRef]
- Leone, A.; Lecci, R.M.; Durante, M.; Meli, F.; Piraino, S. The Bright Side of Gelatinous Blooms: Nutraceutical Value and Antioxidant Properties of Three Mediterranean Jellyfish (Scyphozoa). Mar. Drugs 2015, 13, 4654–4681. [Google Scholar] [CrossRef]
- Muangrod, P.; Charoenchokpanich, W.; Roytrakul, S.; Rungsardthong, V.; Charoenlappanit, S.; Wonganu, B.; Tabtimmai, L.; Chamsodsai, P.; Casanova, F.; Thumthanaruk, B. Bioactivity assessment of peptides derived from salted jellyfish (Rhopilema hispidum) byproducts. PLoS ONE 2025, 20, e0318781. [Google Scholar] [CrossRef]
- Felician, F.F.; Yu, R.H.; Li, M.Z.; Li, C.J.; Chen, H.Q.; Jiang, Y.; Tang, T.; Qi, W.Y.; Xu, H.M. The wound healing potential of collagen peptides derived from the jellyfish Rhopilema esculentum. Chin. J. Traumatol. 2019, 22, 12–20. [Google Scholar] [CrossRef]
- Barzkar, N.; Bunphueak, P.; Chamsodsai, P.; Muangrod, P.; Thumthanaruk, B.; Rungsardthong, V.; Tabtimmai, L. Jellyfish protein hydrolysates: Multifunctional bioactivities unveiled in the battle against diabetes, inflammation, and bacterial pathogenesis. Microb. Pathog. 2024, 191, 106648. [Google Scholar] [CrossRef]
- Ballesteros, A.; Torres, R.; Pascual-Torner, M.; Revert-Ros, F.; Tena-Medialdea, J.; García-March, J.R.; Lloret, J.; Gili, J.M. Jellyfish Collagen in the Mediterranean Spotlight: Transforming Challenges into Opportunities. Mar. Drugs 2025, 23, 200. [Google Scholar] [CrossRef]
- Killi, N.; Bonello, G.; Mariottini, G.L.; Pardini, P.; Pozzolini, M.; Cengiz, S. Nematocyst types and venom effects of Aurelia aurita and Velella velella from the Mediterranean Sea. Toxicon 2020, 175, 57–63. [Google Scholar] [CrossRef]
- Teng, L.C.; Wang, X.Q.; Yu, H.H.; Li, R.F.; Geng, H.; Xing, R.E.; Liu, S.; Li, P. Jellyfish Peptide as an Alternative Source of Antioxidant. Antioxidants 2023, 12, 742. [Google Scholar] [CrossRef]
- Leduc, A.; Fournier, V.; Henry, J. A standardized, innovative method to characterize the structure of aquatic protein hydrolysates. Heliyon 2020, 6, e04170. [Google Scholar] [CrossRef]
- Zhu, H.; Zhang, Y.; Yang, T.; Zheng, D.Y.; Liu, X.J.; Zhang, J.T.; Zheng, M.M. Preparation of immobilized Alcalase based on metal affinity for efficient production of bioactive peptides. LWT-Food Sci. Technol. 2022, 162, 113505. [Google Scholar] [CrossRef]
- Zhang, W.C.; Chan, J.X.; Lu, Y.Y.; Liu, S.Q. Pre-treatment of coconut kernels by proteases to modulate the flavour of coconut oil. Food Biosci. 2022, 48, 101736. [Google Scholar] [CrossRef]
- Zheng, X.Q.; Wang, J.T.; Liu, X.L.; Sun, Y.; Zheng, Y.J.; Wang, X.J.; Liu, Y. Effect of hydrolysis time on the physicochemical and functional properties of corn glutelin by Protamex hydrolysis. Food Chem. 2015, 172, 407–415. [Google Scholar] [CrossRef]
- Mongkonkamthorn, N.; Malila, Y.; Regenstein, J.M.; Wangtueai, S. Enzymatic Hydrolysis Optimization for Preparation of Tuna Dark Meat Hydrolysate with Antioxidant and Angiotensin I-Converting Enzyme (ACE) Inhibitory Activities. J. Aquat. Food Prod. Technol. 2021, 30, 1090–1108. [Google Scholar] [CrossRef]
- Qu, J.; Zhang, M.; Hong, T.; Xu, X.; Xu, D. Improvement of adzuki bean paste quality by Flavourzyme-mediated enzymatic hydrolysis. Food Biosci. 2023, 51, 102205. [Google Scholar] [CrossRef]
- Lu, X.; Zhang, L.X.; Sun, Q.; Song, G.H.; Huang, J.N. Extraction, identification and structure-activity relationship of antioxidant peptides from sesame (Sesamum indicum L.) protein hydrolysate. Food Res. Int. 2019, 116, 707–716. [Google Scholar] [CrossRef]
- Landi, N.; Clemente, A.; Pedone, P.V.; Ragucci, S.; Di Maro, A. An Updated Review of Bioactive Peptides from Mushrooms in a Well-Defined Molecular Weight Range. Toxins 2022, 14, 84. [Google Scholar] [CrossRef]
- Seong, S.H.; Lee, Y.I.; Lee, J.H.; Choi, S.; Kim, I.A.; Suk, J.; Jung, I.H.; Baeg, C.; Kim, J.; Oh, D.; et al. Low-molecular-weight collagen peptides supplement promotes a healthy skin: A randomized, double-blinded, placebo-controlled study. J. Cosmet. Dermatol. 2024, 23, 554–562. [Google Scholar] [CrossRef]
- Yu, F.M.; He, K.; Dong, X.Z.; Zhang, Z.W.; Wang, F.L.; Tang, Y.P.; Chen, Y.; Ding, G.F. Immunomodulatory activity of low molecular-weight peptides from Nibea japonica skin in cyclophosphamide-induced immunosuppressed mice. J. Funct. Foods 2020, 68, 103888. [Google Scholar] [CrossRef]
- Ballatore, M.B.; Bettiol, M.D.; Vanden Braber, N.L.; Aminahuel, C.A.; Rossi, Y.E.; Petroselli, G.; Erra-Balsells, R.; Cavaglieri, L.R.; Montenegro, M.A. Antioxidant and cytoprotective effect of peptides produced by hydrolysis of whey protein concentrate with trypsin. Food Chem. 2020, 319, 126472. [Google Scholar] [CrossRef]
- Pezeshk, S.; Ojagh, S.M.; Rezaei, M.; Shabanpour, B. Fractionation of Protein Hydrolysates of Fish Waste Using Membrane Ultrafiltration: Investigation of Antibacterial and Antioxidant Activities. Probiotics Antimicrob. Proteins 2019, 11, 1015–1022. [Google Scholar] [CrossRef] [PubMed]
- Gao, J.J.; Ning, C.; Wang, M.X.; Wei, M.M.; Ren, Y.F.; Li, W.X. Structural, antioxidant activity, and stability studies of jellyfish collagen peptide-calcium chelates. Food Chem.-X 2024, 23, 101706. [Google Scholar] [CrossRef]
- Di Filippo, G.; Melchior, S.; Plazzotta, S.; Calligaris, S.; Innocente, N. Effect of enzymatic hydrolysis with Alcalase or Protamex on technological and antioxidant properties of whey protein hydrolysates. Food Res. Int. 2024, 188, 114499. [Google Scholar] [CrossRef]
- Lee, J.; Koo, N.; Min, D.B. Reactive oxygen species, aging, and antioxidative nutraceuticals. Compr. Rev. Food Sci. Food Saf. 2004, 3, 21–33. [Google Scholar] [CrossRef]
- Sun, T.; Xie, W.M.; Xu, P.X. Superoxide anion scavenging activity of graft chitosan derivatives. Carbohydr. Polym. 2004, 58, 379–382. [Google Scholar] [CrossRef]
- Canabady-Rochelle, L.L.S.; Harscoat-Schiavo, C.; Kessler, V.; Aymes, A.; Fournier, F.; Girardet, J.M. Determination of reducing power and metal chelating ability of antioxidant peptides: Revisited methods. Food Chem. 2015, 183, 129–135. [Google Scholar] [CrossRef]
- Wang, S.; Wang, D.; Tao, L.; Xu, Y. Comparative study on methods for determination of amino acid nitrogen in Huangjiu and Mijiu. Food Ferment. Ind. 2019, 45, 232–238. [Google Scholar]
- Rutherfurd, S.M. Methodology for Determining Degree of Hydrolysis of Proteins in Hydrolysates: A Review. J. AOAC Int. 2010, 93, 1515–1522. [Google Scholar] [CrossRef]
- Wang, X.; Yu, H.; Xing, R.; Chen, X.; Liu, S.; Li, P. Optimization of antioxidative peptides from mackerel (Pneumatophorus japonicus) viscera. PeerJ 2018, 6, e4373. [Google Scholar] [CrossRef]
- Yu, H.H.; Liu, X.G.; Xing, R.E.; Liu, S.; Li, C.; Li, P.C. Radical scavenging activity of protein from tentacles of jellyfish Rhopilema esculentum. Bioorg. Med. Chem. Lett. 2005, 15, 2659–2664. [Google Scholar] [CrossRef]
- Wang, L.Q.; Guo, R.; Liang, X.R.; Ji, Y.T.; Zhang, J.J.; Gai, G.W.; Guo, Z.Y. Preparation and Antioxidant Activity of New Carboxymethyl Chitosan Derivatives Bearing Quinoline Groups. Mar. Drugs 2023, 21, 606. [Google Scholar] [CrossRef]






| Run Number | Time (A, h) | Liquid-to-Solid Ratio (B) | Temperature (C, °C) | Enzyme Dosage (D, U/g) | pH (E) | A570nm |
|---|---|---|---|---|---|---|
| 1 | 4 | 6:1 | 50 | 2000 | 8.5 | 0.39 |
| 2 | 4 | 6:1 | 50 | 2000 | 9.0 | 0.37 |
| 3 | 4 | 6:1 | 50 | 2000 | 9.5 | 0.40 |
| 4 | 4 | 8:1 | 55 | 3000 | 8.5 | 0.26 |
| 5 | 4 | 8:1 | 55 | 3000 | 9.0 | 0.30 |
| 6 | 4 | 8:1 | 55 | 3000 | 9.5 | 0.32 |
| 7 | 4 | 10:1 | 60 | 4000 | 8.5 | 0.32 |
| 8 | 4 | 10:1 | 60 | 4000 | 9.0. | 0.33 |
| 9 | 4 | 10:1 | 60 | 4000 | 9.5 | 0.36 |
| 10 | 6 | 6:1 | 55 | 4000 | 8.5 | 0.30 |
| 11 | 6 | 6:1 | 55 | 4000 | 9.0 | 0.34 |
| 12 | 6 | 6:1 | 55 | 4000 | 9.5 | 0.38 |
| 13 | 6 | 8:1 | 60 | 2000 | 8.5 | 0.38 |
| 14 | 6 | 8:1 | 60 | 2000 | 9.0 | 0.39 |
| 15 | 6 | 8:1 | 60 | 2000 | 9.5 | 0.38 |
| 16 | 6 | 10:1 | 50 | 3000 | 8.5 | 0.28 |
| 17 | 6 | 10:1 | 50 | 3000 | 9.0 | 0.32 |
| 18 | 6 | 10:1 | 50 | 3000 | 9.5 | 0.33 |
| 19 | 8 | 6:1 | 60 | 3000 | 8.5 | 0.41 |
| 20 | 8 | 6:1 | 60 | 3000 | 9.0 | 0.40 |
| 21 | 8 | 6:1 | 60 | 3000 | 9.5 | 0.41 |
| 22 | 8 | 8:1 | 50 | 4000 | 8.5 | 0.36 |
| 23 | 8 | 8:1 | 50 | 4000 | 9.0 | 0.35 |
| 24 | 8 | 8:1 | 50 | 4000 | 9.5 | 0.35 |
| 25 | 8 | 10:1 | 55 | 2000 | 8.5 | 0.39 |
| 26 | 8 | 10:1 | 55 | 2000 | 9.0 | 0.38 |
| 27 | 8 | 10:1 | 55 | 2000 | 9.5 | 0.39 |
| k1 | 3.05 | 3.39 | 3.15 | 3.46 | 3.10 | |
| k2 | 3.11 | 3.10 | 3.07 | 3.04 | 3.19 | |
| k3 | 3.44 | 3.10 | 3.38 | 3.10 | 3.32 | |
| R | 0.39 | 0.29 | 0.31 | 0.42 | 0.22 | |
| Optimal Levels | A3 | B1 | C3 | D1 | E3 | |
| p-value | <0.001 | 0.002 | 0.002 | <0.001 | 0.037 |
| Run Number | Time (A, h) | Liquid-to-Solid Ratio (B) | Temperature (C, °C) | Enzyme Dosage (D, U/g) | pH (E) | A570nm |
|---|---|---|---|---|---|---|
| 1 | 4 | 6 | 45 | 2000 | 6.5 | 0.61 |
| 2 | 4 | 6 | 45 | 2000 | 7.0 | 0.61 |
| 3 | 4 | 6 | 45 | 2000 | 7.5 | 0.61 |
| 4 | 4 | 8 | 50 | 3000 | 6.5 | 0.64 |
| 5 | 4 | 8 | 50 | 3000 | 7.0 | 0.65 |
| 6 | 4 | 8 | 50 | 3000 | 7.5 | 0.67 |
| 7 | 4 | 10 | 55 | 4000 | 6.5 | 0.81 |
| 8 | 4 | 10 | 55 | 4000 | 7.0 | 0.85 |
| 9 | 4 | 10 | 55 | 4000 | 7.5 | 0.86 |
| 10 | 6 | 6 | 50 | 4000 | 6.5 | 0.77 |
| 11 | 6 | 6 | 50 | 4000 | 7.0 | 0.80 |
| 12 | 6 | 6 | 50 | 4000 | 7.5 | 0.80 |
| 13 | 6 | 8 | 55 | 2000 | 6.5 | 0.64 |
| 14 | 6 | 8 | 55 | 2000 | 7.0 | 0.77 |
| 15 | 6 | 8 | 55 | 2000 | 7.5 | 0.66 |
| 16 | 6 | 10 | 45 | 3000 | 6.5 | 0.71 |
| 17 | 6 | 10 | 45 | 3000 | 7.0 | 0.73 |
| 18 | 6 | 10 | 45 | 3000 | 7.5 | 0.76 |
| 19 | 8 | 6 | 55 | 3000 | 6.5 | 0.71 |
| 20 | 8 | 6 | 55 | 3000 | 7.0 | 0.68 |
| 21 | 8 | 6 | 55 | 3000 | 7.5 | 0.65 |
| 22 | 8 | 8 | 45 | 4000 | 6.5 | 0.73 |
| 23 | 8 | 8 | 45 | 4000 | 7.0 | 0.74 |
| 24 | 8 | 8 | 45 | 4000 | 7.5 | 0.77 |
| 25 | 8 | 10 | 50 | 2000 | 6.5 | 0.71 |
| 26 | 8 | 10 | 50 | 2000 | 7.0 | 0.75 |
| 27 | 8 | 10 | 50 | 2000 | 7.5 | 0.79 |
| k1 | 6.31 | 6.25 | 6.26 | 6.16 | 6.33 | |
| k2 | 6.66 | 6.27 | 6.59 | 6.21 | 6.61 | |
| k3 | 6.53 | 6.98 | 6.65 | 7.13 | 6.57 | |
| R | 0.35 | 0.73 | 0.39 | 0.98 | 0.28 | |
| Optimal Levels | A2 | B3 | C3 | D3 | E2 | |
| p-value | 0.028 | <0.001 | 0.006 | <0.001 | 0.055 |
| Run Number | Time (A, h) | Liquid-to-Solid Ratio (B) | Temperature (C, °C) | Enzyme Dosage (D, U/g) | pH (E) | A570nm |
|---|---|---|---|---|---|---|
| 1 | 4 | 6 | 45 | 2000 | 6.0 | 0.35 |
| 2 | 4 | 6 | 45 | 2000 | 6.5 | 0.36 |
| 3 | 4 | 6 | 45 | 2000 | 7.0 | 0.36 |
| 4 | 4 | 8 | 50 | 3000 | 6.0 | 0.38 |
| 5 | 4 | 8 | 50 | 3000 | 6.5 | 0.39 |
| 6 | 4 | 8 | 50 | 3000 | 7.0 | 0.40 |
| 7 | 4 | 10 | 55 | 4000 | 6.0 | 0.41 |
| 8 | 4 | 10 | 55 | 4000 | 6.5 | 0.41 |
| 9 | 4 | 10 | 55 | 4000 | 7.0 | 0.43 |
| 10 | 6 | 6 | 50 | 4000 | 6.0 | 0.44 |
| 11 | 6 | 6 | 50 | 4000 | 6.5 | 0.47 |
| 12 | 6 | 6 | 50 | 4000 | 7.0 | 0.45 |
| 13 | 6 | 8 | 55 | 2000 | 6.0 | 0.38 |
| 14 | 6 | 8 | 55 | 2000 | 6.5 | 0.39 |
| 15 | 6 | 8 | 55 | 2000 | 7.0 | 0.39 |
| 16 | 6 | 10 | 45 | 3000 | 6.0 | 0.41 |
| 17 | 6 | 10 | 45 | 3000 | 6.5 | 0.42 |
| 18 | 6 | 10 | 45 | 3000 | 7.0 | 0.43 |
| 19 | 8 | 6 | 55 | 3000 | 6.0 | 0.42 |
| 20 | 8 | 6 | 55 | 3000 | 6.5 | 0.43 |
| 21 | 8 | 6 | 55 | 3000 | 7.0 | 0.47 |
| 22 | 8 | 8 | 45 | 4000 | 6.0 | 0.49 |
| 23 | 8 | 8 | 45 | 4000 | 6.5 | 0.49 |
| 24 | 8 | 8 | 45 | 4000 | 7.0 | 0.49 |
| 25 | 8 | 10 | 50 | 2000 | 6.0 | 0.44 |
| 26 | 8 | 10 | 50 | 2000 | 6.5 | 0.45 |
| 27 | 8 | 10 | 50 | 2000 | 7.0 | 0.44 |
| k1 | 3.50 | 3.75 | 3.80 | 3.57 | 3.72 | |
| k2 | 3.78 | 3.81 | 3.87 | 3.74 | 3.82 | |
| k3 | 4.12 | 3.84 | 3.74 | 4.09 | 3.86 | |
| R | 0.62 | 0.08 | 0.13 | 0.53 | 0.14 | |
| Optimal Levels | A3 | B3 | C2 | D3 | E3 | |
| p-value | <0.001 | 0.121 | 0.011 | <0.001 | 0.007 |
| Enzyme | Time (A, h) | Liquid-to-Solid Ratio (B) | Temperature (C, °C) | Enzyme Dosage (D, U/g) | pH (E) |
|---|---|---|---|---|---|
| Alcalase | 8 | 6:1 | 60 | 2000 | 9.5 |
| Flavourzyme | 6 | 6:1 | 50 | 3000 | 7.0 |
| Protamex | 8 | 6:1 | 50 | 4000 | 7.0 |
| Enzyme | Time (A,h) | Liquid-to-Solid Ratio (B) | Temperature (C, °C) | Enzyme Dosage (D, U/g) | pH (E) |
|---|---|---|---|---|---|
| Alcalase | 2 | 2:1 | 40 | 1000 | 8.0 |
| 4 | 4:1 | 45 | 2000 | 8.5 | |
| 6 | 6:1 | 50 | 3000 | 9.0 | |
| 8 | 8:1 | 55 | 4000 | 9.5 | |
| 10 | 10:1 | 60 | 5000 | 10.0 | |
| Flavourzyme | 2 | 2:1 | 40 | 1000 | 6.0 |
| 4 | 4:1 | 45 | 2000 | 6.5 | |
| 6 | 6:1 | 50 | 3000 | 7.0 | |
| 8 | 8:1 | 55 | 4000 | 7.5 | |
| 10 | 10:1 | 60 | 5000 | 8.0 | |
| Protamex | 2 | 2:1 | 45 | 1000 | 5.5 |
| 4 | 4:1 | 50 | 2000 | 6.0 | |
| 6 | 6:1 | 55 | 3000 | 6.5 | |
| 8 | 8:1 | 60 | 4000 | 7.0 | |
| 10 | 10:1 | 65 | 5000 | 7.5 |
| Enzyme | Levels | Time (A, h) | Liquid-to-Solid Ratio (B) | Temperature (C, °C) | Enzyme Dosage (D, U/g) | pH (E) |
|---|---|---|---|---|---|---|
| Alcalase | 1 | 4 | 6:1 | 50 | 2000 | 8.5 |
| 2 | 6 | 8:1 | 55 | 3000 | 9.0 | |
| 3 | 8 | 10:1 | 60 | 4000 | 9.5 | |
| Flavourzyme | 1 | 4 | 6:1 | 45 | 2000 | 6.5 |
| 2 | 6 | 8:1 | 50 | 3000 | 7.0 | |
| 3 | 8 | 10:1 | 55 | 4000 | 7.5 | |
| Protamex | 1 | 4 | 6:1 | 45 | 2000 | 6.0 |
| 2 | 6 | 8:1 | 50 | 3000 | 6.5 | |
| 3 | 8 | 10:1 | 55 | 4000 | 7.0 |
| Run Number | Time (A, h) | Liquid-to-Solid Ratio (B) | Temperature (C, °C) | Enzyme Dosage (D, U/g) | pH (E) |
|---|---|---|---|---|---|
| 1 | 1 | 1 | 1 | 1 | 1 |
| 2 | 1 | 1 | 1 | 1 | 2 |
| 3 | 1 | 1 | 1 | 1 | 3 |
| 4 | 1 | 2 | 2 | 2 | 1 |
| 5 | 1 | 2 | 2 | 2 | 2 |
| 6 | 1 | 2 | 2 | 2 | 3 |
| 7 | 1 | 3 | 3 | 3 | 1 |
| 8 | 1 | 3 | 3 | 3 | 2 |
| 9 | 1 | 3 | 3 | 3 | 3 |
| 10 | 2 | 1 | 2 | 3 | 1 |
| 11 | 2 | 1 | 2 | 3 | 2 |
| 12 | 2 | 1 | 2 | 3 | 3 |
| 13 | 2 | 2 | 3 | 1 | 1 |
| 14 | 2 | 2 | 3 | 1 | 2 |
| 15 | 2 | 2 | 3 | 1 | 3 |
| 16 | 2 | 3 | 1 | 2 | 1 |
| 17 | 2 | 3 | 1 | 2 | 2 |
| 18 | 2 | 3 | 1 | 2 | 3 |
| 19 | 3 | 1 | 3 | 2 | 1 |
| 20 | 3 | 1 | 3 | 2 | 2 |
| 21 | 3 | 1 | 3 | 2 | 3 |
| 22 | 3 | 2 | 1 | 3 | 1 |
| 23 | 3 | 2 | 1 | 3 | 2 |
| 24 | 3 | 2 | 1 | 3 | 3 |
| 25 | 3 | 3 | 2 | 1 | 1 |
| 26 | 3 | 3 | 2 | 1 | 2 |
| 27 | 3 | 3 | 2 | 1 | 3 |
Disclaimer/Publisher’s Note: The statements, opinions and data contained in all publications are solely those of the individual author(s) and contributor(s) and not of MDPI and/or the editor(s). MDPI and/or the editor(s) disclaim responsibility for any injury to people or property resulting from any ideas, methods, instructions or products referred to in the content. |
© 2025 by the authors. Licensee MDPI, Basel, Switzerland. This article is an open access article distributed under the terms and conditions of the Creative Commons Attribution (CC BY) license (https://creativecommons.org/licenses/by/4.0/).
Share and Cite
Liu, X.; Teng, L.; Shen, W.; Li, R.; Liu, S.; Xing, R.; Yu, H. Molecular Weight Distribution and Antioxidant Activity of Enzymatic Hydrolysates from Rhopilema hispidum and Nemopilema nomurai Under Different Enzymatic Hydrolysis Conditions. Mar. Drugs 2025, 23, 447. https://doi.org/10.3390/md23120447
Liu X, Teng L, Shen W, Li R, Liu S, Xing R, Yu H. Molecular Weight Distribution and Antioxidant Activity of Enzymatic Hydrolysates from Rhopilema hispidum and Nemopilema nomurai Under Different Enzymatic Hydrolysis Conditions. Marine Drugs. 2025; 23(12):447. https://doi.org/10.3390/md23120447
Chicago/Turabian StyleLiu, Xiaoxiao, Lichao Teng, Wen Shen, Rongfeng Li, Song Liu, Ronge Xing, and Huahua Yu. 2025. "Molecular Weight Distribution and Antioxidant Activity of Enzymatic Hydrolysates from Rhopilema hispidum and Nemopilema nomurai Under Different Enzymatic Hydrolysis Conditions" Marine Drugs 23, no. 12: 447. https://doi.org/10.3390/md23120447
APA StyleLiu, X., Teng, L., Shen, W., Li, R., Liu, S., Xing, R., & Yu, H. (2025). Molecular Weight Distribution and Antioxidant Activity of Enzymatic Hydrolysates from Rhopilema hispidum and Nemopilema nomurai Under Different Enzymatic Hydrolysis Conditions. Marine Drugs, 23(12), 447. https://doi.org/10.3390/md23120447

