Sulfated Aeruginosins from Lake Kinneret: Microcystis Bloom, Isolation, Structure Elucidation, and Biological Activity
Abstract
1. Introduction
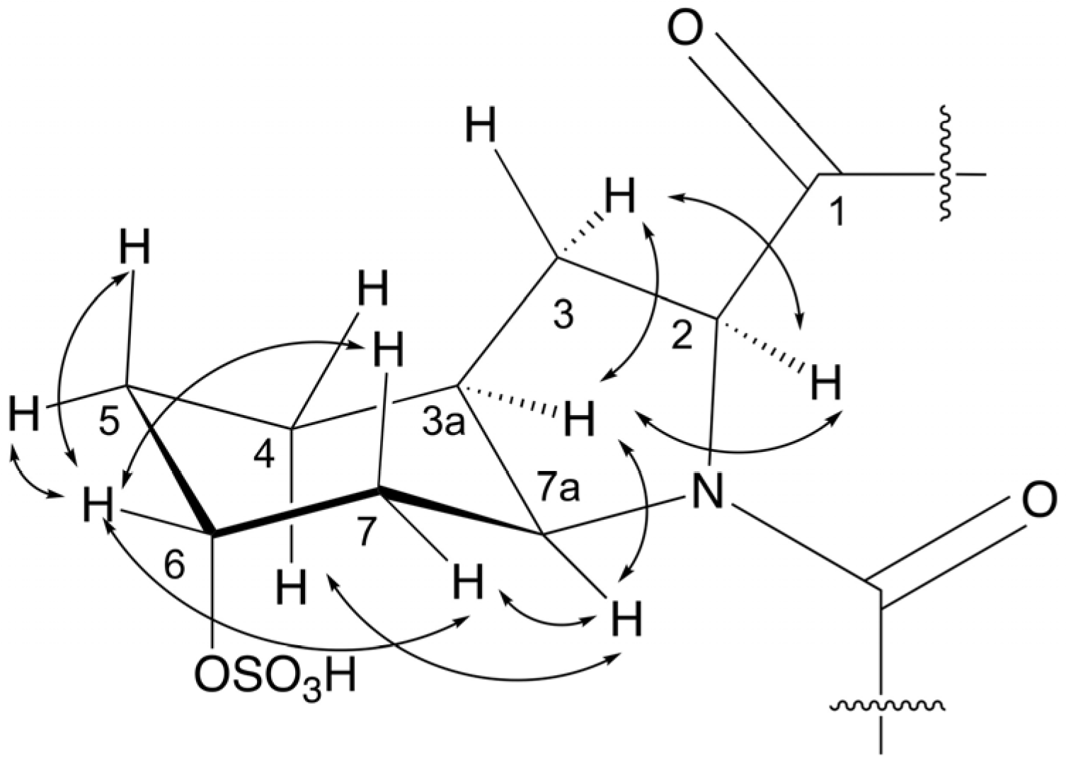
2. Results
3. Materials and Methods
3.1. General Experimental Procedure
3.2. Biological Material
3.3. Isolation Procedure
3.4. Physical Data of the Compounds
3.5. Determination of the Absolute Configuration of the Amino Acids by Marfey’s Method [30]
3.6. Determination of Absolute Configuration of the Hydroxy Acids
3.7. Protease Inhibition Assays
4. Conclusions
Supplementary Materials
Author Contributions
Funding
Data Availability Statement
Acknowledgments
Conflicts of Interest
References
- Chlipala, G.E.; Mo, S.; Orjala, J. Chemodiversity in freshwater and terrestrial cyanobacteria—A source for drug discovery. Curr. Drug Targets 2011, 12, 1654–1673. [Google Scholar] [CrossRef] [PubMed]
- Shah, S.A.A.; Akhter, N.; Auckloo, B.N.; Khan, I.; Lu, Y.; Wang, K.; Wu, B.; Guo, Y.-W. Structural diversity, biological properties and application of natural products from cyanobacteria. A review. Mar. Drugs 2017, 15, 354. [Google Scholar] [CrossRef]
- Huang, I.S.; Zimba, P.V. Cyanobacterial bioactive metabolites—A review of their chemistry and biology. Harmful Algae 2019, 83, 42–94. [Google Scholar] [CrossRef] [PubMed]
- Bishoyi, A.K.; Sahoo, C.R.; Padhy, R.N. Recent progression of cyanobacteria and their pharmaceutical utility: An update. J. Biomol. Struct. Dyn. 2023, 41, 4219–4252. [Google Scholar] [CrossRef]
- Taori, K.; Liu, Y.; Paul, V.J.; Luesch, H. Combinatorial strategies by marine cyanobacteria: Symplostatin 4, an antimitotic natural dolastatin 10/15 hybrid that synergizes with the coproduced HDAC inhibitor largazole. ChemBioChem 2009, 10, 1634–1639. [Google Scholar] [CrossRef]
- Carmeli, S.; Moore, R.E.; Patterson, M.L. Mirabimides A-D, new N-acylpyrrollinones from the blue-green alga Scytonema mirabille. Tetrahedron 1991, 47, 2087–2096. [Google Scholar] [CrossRef]
- Linington, R.G.; González, J.; Ureña, L.D.; Romero, L.I.; Ortega-Barría, E.; Gerwick, W.H. Venturamides A and B: Antimalarial constituents of the Panamanian marine cyanobacterium Oscillatoria sp. J. Nat. Prod. 2007, 70, 397–401. [Google Scholar] [CrossRef]
- Ziemert, N.; Ishida, K.; Quillardet, P.; Bouchier, C.; Hertweck, C.; de Marsac, N.T.; Dittmann, E. Microcyclamide biosynthesis in two strains of Microcystis aeruginosa: From structure to genes and vice versa. Appl. Environ. Microbiol. 2008, 74, 1791–1797. [Google Scholar] [CrossRef]
- An, T.; Kumar, T.K.S.; Wang, M.; Liu, L.; Lay, J.O.; Liyanage, R.; Berry, J.; Gantar, M.; Gawley, R.E.; Rein, K. Structure of pahayoklides A and B, cyclic peptides from a Lyngby sp. J. Nat. Prod. 2007, 70, 730–735. [Google Scholar] [CrossRef]
- Pargament, I.; Carmeli, S. Schizotrin A, a novel antimicrobial cyclic peptide from a cyanobacterium. Tetrahedron Lett. 1994, 35, 8473–8476. [Google Scholar] [CrossRef]
- Taori, K.; Matthew, S.; Rocca, J.R.; Paul, V.J.; Luesch, H. Lyngbyastatins 5–7, potent elastase inhibitors from Floridian marine cyanobacteria, Lyngbya spp. J. Nat. Prod. 2007, 70, 1593–1600. [Google Scholar] [CrossRef] [PubMed]
- Murakami, M.; Kodani, S.; Ishida, K.; Matsuda, H.; Yamaguchi, K. Micropeptin 103, a chymotrypsin inhibitor from the cyanobacterium Microcystis viridis (NIES-103). Tetrahedron Lett. 1997, 38, 3035–3038. [Google Scholar] [CrossRef]
- Schmidt, E.W.; Harper, M.K.; Faulkner, D.J. Mozamides A and B, cyclic peptides from a theonelid sponge from Mozambique. J. Nat. Prod. 1977, 60, 779–782. [Google Scholar] [CrossRef]
- Harad, K.-i.; Fujii, K.; Shimada, T.; Suzuki, M. Two cyclic peptides, anabaenopeptines, a third group of bioactive compounds from the cyanobacterium Anabaena flos-aquae NRC 525-17. Tetrahedron Lett. 1995, 36, 1511–1514. [Google Scholar] [CrossRef]
- Carroll, A.R.; Pierens, G.K.; Fechner, G.; De Almeida, L.P.; Ngo, A.; Simpson, M.; Hyde, E.; Hooper, J.N.; Boström, S.L.; Musil, D.; et al. Dysinosin A: A novel inhibitor of factor VIIa and thrombin from a new genus and species of Australian sponge of the family dysideidae. J. Am. Chem. Soc. 2002, 124, 13340–13341. [Google Scholar] [CrossRef]
- Murakami, M.; Okita, Y.; Ishida, K.; Matsuda, H.; Yamaguchi, K. Aeruginosin 298-A, a thrombin and trypsin inhibitor from the blue-green alga Microcystis aeruginosa (NIES-298). Tetrahedron Lett. 1994, 35, 3129–3132. [Google Scholar] [CrossRef]
- Ersmark, K.; Del, V.J.R.; Hanessian, S. Chemistry and biology of the aeruginosin family of serine protease inhibitors. Angew. Chem. Int. Ed. 2008, 47, 1202–1223. [Google Scholar] [CrossRef]
- Liu, J.; Zhang, M.; Huang, Z.; Fang, J.; Wang, Z.; Zhou, C.; Qiu, X. Diversity, Biosynthesis and Bioactivity of Aeruginosins, a Family of Cyanobacteria-Derived Nonribosomal Linear Tetrapeptides. Mar. Drugs 2023, 21, 217. [Google Scholar] [CrossRef]
- Lifshitz, M.; Carmeli, S. Metabolites of a Microcystis aeruginosa bloom material from Lake Kinneret, Israel. J. Nat. Prod. 2012, 75, 209–219. [Google Scholar] [CrossRef]
- Scherer, M.; Gademann, K. Total Synthesis and Structural Revision of Aeruginosin KT608A. Org. Lett. 2017, 19, 3915–3918. [Google Scholar] [CrossRef]
- Ninio, S.; Lupu, A.; Viner-Mozzini, Y.; Zohary, T.; Sukenik, A. Multiannual variations in Microcystis bloom episodes—Temperature drives shift in species composition. Harmful Algae 2020, 92, 101710. [Google Scholar] [CrossRef] [PubMed]
- Kaplan-Levy, R.N.; Alster-Gloukhovski, A.; Benyamini, Y.; Zohary, T. Lake Kinneret phytoplankton: Integrating classical and molecular taxonomy. Hydrobiologia 2016, 764, 283–302. [Google Scholar] [CrossRef]
- Weisthal Algor, S.; Sukenik, A.; Carmeli, S. Hydantoanabaenopeptins from Lake Kinneret Microcystis bloom, Isolation, and Structure Elucidation of the Possible Intermediates in the Anabaenopeptins Biosynthesis. Mar. Drugs 2023, 21, 401. [Google Scholar] [CrossRef]
- Elkobi-Peer, S.; Faigenbaum, R.; Carmeli, S. Bromine- and Chlorine-Containing Aeruginosins from Microcystis aeruginosa Bloom Material Collected in Kibbutz Geva, Israel. J. Nat. Prod. 2012, 75, 2144–2151. [Google Scholar] [CrossRef] [PubMed]
- Marfey, P. Marfey’s reagent: 1-fluoro-2,4-dinitrophenyl-5-L-alanine amide. Carlsberg Res. Commun. 1984, 49, 591–596. [Google Scholar] [CrossRef]
- Fujii, K.; Sivonen, K.; Adachi, K.; Noguchi, K.; Shimizu, Y.; Sano, H.; Hirayama, K.; Suzuki, M.; Harada, K. Comparative Study of Toxic and Non-toxic Cyanobacterial Products: A Novel Glycoside, Suomilide, from Non-toxic Nudularia spumigena HKVV. Tetrahedron Lett. 1997, 38, 5529–5532. [Google Scholar] [CrossRef]
- Ishida, K.; Okita, Y.; Matsuda, H.; Okino, T.; Murakami, M. Aeruginosins, protease inhibitors from the cyanobacterium Microcystis aeruginosa. Tetrahedron 1999, 55, 10971–10988. [Google Scholar] [CrossRef]
- Adiv, S.; Carmeli, S. Protease inhibitors from a Microcystis aeruginosa bloom material collected from the Dalton water reservoir, Israel. J. Nat. Prod. 2013, 76, 2307–2315. [Google Scholar] [CrossRef]
- Hasin, O.; Carmeli, S. Isolation and elucidation of structures of secondary metabolites from a Microcystis sp. Bloom material collected in southern Israel. Nat. Prod. Commun. 2018, 13, 1313–1318. [Google Scholar] [CrossRef]
- Fujii, K.; Ikai, Y.; Mayumi, T.; Oka, H.; Suzuki, M.; Harada, K.-I. A Nonempirical Method Using LC/MS for Determination of the Absolute Configuration of Constituent Amino Acids in a Peptide: Elucidation of Limitations of Marfey’s Method and of Its Separation Mechanism. Anal. Chem. 1997, 69, 3346–3352. [Google Scholar] [CrossRef]
- Sukenik, A.; Rosin, C.; Porat, R.; Teltsch, B.; Banker, R.; Carmeli, S. Toxins from Cyanobacteria and Their Potential Impact on Water Quality of Lake Kinneret, Israel. Isr. J. Plant Sci. 1998, 46, 109–115. [Google Scholar] [CrossRef]
- Beresovsky, D.; Hadas, O.; Livne, A.; Sukenik, A.; Kaplan, A.; Carmeli, S. Toxins and Biologically Active Secondary Metabolites of Microcystis sp. isolated from Lake Kinneret. Isr. J. Chem. 2006, 46, 79–87. [Google Scholar] [CrossRef]


| Position | δC mult. | δH mult. (J in Hz) | HMBC Correlation | COSY Correlation | TOCSY Correlation | ROESY Correlation |
|---|---|---|---|---|---|---|
| Hpla 1 | 173.2, C | Phe-2,2-NH, Hpla-2,3a,3b | ||||
| 2 | 72.3, CH | 3.99, dd (7.9, 3.2) | Hpla-3 | Hpla-3a,3b | Hpla-3a,3b | Phe-2-NH, Hpla-3a,3b,5,5′ |
| 2-OH | 5.75, brm | |||||
| 3a 3b | 39.6, CH2 | 2.81, dd (14.1, 3.5) 2.55, dd (14.1, 8.0) | Hpla-5,5′ | Hpla-2,3b Hpla-2,3a | Hpla-2,3b Hpla-2,3a | ChoiSul-2, Hpla-2,3b, 5,5′ Hpla-2,3a, 5,5′ |
| 4 | 128.5, C | Hpla-2,3a, 3b,6,6′, | ||||
| 5,5′ | 130.6, CH × 2 | 6.98, d (8.4) | Hpla-3a, 3b,5′,5 | Hpla-6,6′ | Hpla-6,6′ | Hpla-2, 2.81, 2.55 |
| 6,6′ | 114.9, CH × 2 | 6.64, d (8.4) | Hpla-6′,6 | Hpla-5,5′ | Hpla-5,5′ | Phe-5,5′ |
| 7 | 155.9, C | Hpla-5,5′, 6,6′ | ||||
| Phe 1 | 169.0, C | Phe-2,2-NH,3a,3b, ChoiSul-7a | ||||
| 2 | 51.5, CH | 4.64, q (7.1) | Phe-2-NH, 3a,3b | Phe-2-NH, 3a,3b | Phe-2-NH, 3a,3b | Phe-2-NH, 3a,3b,5,5′, ChoiSul-7eq,7a |
| 2-NH | 7.62, d (7.1) | Phe-2 | Phe-2,3a, 3b | Phe-2,3a, 3b, Hpla-2 | ||
| 3a 3b | 38.3, CH2 | 2.85, dd (13.2, 6.4) 2.76, dd (13.2, 8.1) | Phe-2-NH, 5,5′ | Phe-2,3b Phe-2,3a | Phe-2, 2-NH,3b Phe-2, 2-NH,3b | Phe-2, 2-NH,3b,5,5′, ChoiSul-7a Phe-2, 2-NH,3b,5,5′, ChoiSul-7a |
| 4 | 136.4, C | Phe-2,3a, 3b,6,6′ | ||||
| 5,5′ | 129.7, CH × 2 | 7.10, d (7.3) | Phe-3a,3b 5′,5 | Phe-6,6′, | Phe-6,6′, | Phe-2,3a, 3b, ChoiSul-2,7a |
| 6,6′ | 128.4, CH × 2 | 7.26, t (7.3) | Phe-6′,6 | Phe-5,5′,7 | Phe-5,5′,7 | ChoiSul-2 |
| 7 | 126.7, CH | 7.20, t (7.3) | Phe-5,5′ | Phe-6,6′ | Phe-6,6′ | |
| ChoiSul 1 | 171.5, C | Agm-1-NH,1, ChoiSul-2,3pa | ||||
| 2 | 59.9, CH | 4.05, t (9.1) | ChoiSul-7a | ChoiSul-3pa, 3pe | ChoiSul-3pa, 3pe,3a,7pe, 7a | Agm-1-NH, Phe-5,5′,6,6′, ChoiSul-3pe, 3a |
| 3pe b 3pa b | 30.6, CH2 | 1.89, m 1.66, m | ChoiSul-2,7a | ChoiSul-3pa, 3a ChoiSul-3pe, 3a | ChoiSul-3pa, 3a,5a, ChoiSul-3pe, 3a | ChoiSul-2,3pa,3a ChoiSul-3pe |
| 3a | 35.8, CH | 1.58, m | ChoiSul-7a | ChoiSul-3pe, 3pa,4a,7a, | ChoiSul-3pe,7a | |
| 4a 4b | 19.4, CH2 | 1.71, m 1.29, m | ChoiSul-3a,4b ChoiSul-3a,4a | ChoiSul-7a | ||
| 5a 5b | 23.7, CH2 | 1.70, m 1.28, m | ChoiSul-5b,7pe ChoiSul-5a | ChoiSul-5b ChoiSul-5a | ||
| 6 | 70.9, CH | 4.29, brs | ChoiSul-5b | ChoiSul-5a,5b, 7pe,7pa | ChoiSul-5pe, 5b,7pe,7pa, 7a | Phe-3a, ChoiSul-5a,5b,7pe,7pa |
| 7pe b 7pa b | 31.3, CH2 | 2.27, m 1.49, m | ChoiSul-5pe, 7pa ChoiSul-7pe | ChoiSul-3pe, 7pa ChoiSul-3pe, 7pe | Phe-2, ChoiSul-6,7pa,7a, ChoiSul-6,7pe | |
| 7a | 54.3, CH | 3.66, dt (11.1, 5.8) | ChoiSul-3pe,3a | ChoiSul-3a, 7pe,7pa | ChoiSul-2,3a, 3pa,6,7pe, 7pa | Phe-2,5,5′, ChoiSul-3a,4a,7pe |
| Agm-1-NH | 7.68, t (5.0) | Agm-1 | Agm-1, 1.41 | ChoiSul-2, Agm-1, 2 | ||
| 1 | 38.1, CH2 | 3.02, m | Agm-1-NH | Agm-1-NH,2,4-NH | Agm-1-NH,2,4-NH | |
| 2 | 25.9, CH2 | 1.41, m | Agm-3,4 | Agm-1-NH | ||
| 3 | 26.3, CH2 | 1.41. m | Agm-2,4 | Agm-4-NH | Agm-1-NH,4-NH | |
| 4 | 40.4, CH2 | 3.02, m | Agm-1-NH, 12 | Agm-1-NH, 2 | Agm-2,3,4-NH, | |
| 4-NH | 8.58, brs | Agm-4 | Agm-3,4 | Agm-3,4 | ||
| 5 | 157.5, C | Agm-4 | ||||
| 5-NH, NH2 | 8.58, brs 8.69, brs | Agm-4 | Agm-3,4 | Agm-3,4 |
| Position | δC mult. | δH mult. (J in Hz) | HMBC Correlation | COSY Correlation | TOCSY Correlation | ROESY Correlation |
|---|---|---|---|---|---|---|
| Hpla 1 | 173.4, C | Hty-2-NH, Hpla-3a,3b | ||||
| 2 | 72.3, CH | 4.03, m | Hpla-3a,3b | Hpla-3a,3b | Hpla-3a,3b | |
| 2-OH | 5.73, brs | Hpla-2,3a,3b | ||||
| 3 | 39.4, CH2 | 2.86, dd (14.0,3.6) 2.62, dd (14.0,8.1) | Hpla-5,5′ | Hpla-2,3b Hpla-2,3a | ||
| 4 | 128.5, C | Hpla-3a,3b,6,6′ | ||||
| 5,5′ | 130.6, CH × 2 | 7.00, d (8.6) | Hpla-3a,3b,5′,5 | Hpla-6,6′ | Hpla-2,3a,3b | |
| 6,6′ | 114.9, CH × 2 | 6.63, d (8.6) | Hpla-6′,6 | Hpla-5,5′ | ||
| 7 | 155.9, C | Hpla-5,5′,6,6′ | ||||
| Hty 1 | 169.7, C | Hty-2 | ||||
| 2 | 50.5, CH | 4.49, dt (7.7,5.5) | Hty-3a,3b | Hty-3b,4 | Hpla-2, Hty-3a,4, ChoiSul-5b,7ax,7a | |
| 2-NH | 7.71, d (7.7) | Hty-2, | Hty-2,4 | Hpla-2,3a,3b Hty-2,3a,3b, ChoiSul-7ax | ||
| 3a 3b | 34.3, CH2 | 1.77, m 1.69, m | Hty-4 | Hty-2,3b,4 Hty-2,3a,4 | ChoiSul-7a | |
| 4 | 30.2, CH2 | 2.38, m | Hty-3a,3b | |||
| 5 | 131.6, C | Hty-4,7,7′, | ||||
| 6,6′ | 129.1, CH × 2 | 6.94, d (8.6) | Hty-4,6′,6 | Hty-7,7′ | Hty-3a,3b,4 | |
| 7,7′ | 115.3, CH × 2 | 6.65, d (8.6) | Hty-7′,7 | Hty-6,6′ | ||
| 8 | 155.6, C | Hty-6,6′,7,7′ | ||||
| ChoiSul 1 | 171.6, C | Hty-2-NH, ChoiSul-2, 3ax | ||||
| 2 | 60.1, CH | 4.18, dd (9.3,8.8) | ChoiSul-3pe,3pa | ChoiSul-3a,3pe | ChoiSul-3a,3pe, Agm-1-NH | |
| 3pe b 3pa b | 30.8, CH2 | 2.02, m 1.77, m | ChoiSul-2,7a | ChoiSul-3a ChoiSul-3a | ChoiSul-3pa ChoiSul-3pe | |
| 3a | 36.0, CH | 2.27, m | ChoiSul-3pa | ChoiSul-3pe,7a,4a,4b | ChoiSul-3pe,4a,4b,7pa | |
| 4a 4b | 19.6, CH2 | 1.97, m 1.44, m | ChoiSul-3pa,3a,4b,5b ChoiSul-3pa,3a,4a,5b | ChoiSul-4b ChoiSul-4a | ||
| 5a 5b | 23.9, CH2 | 1.76, m 1.38, m | ChoiSul-4a, 4b,5b,6, ChoiSul-4a,4b,5a,6 | ChoiSul-5b ChoiSul-5a, Hty-2 | ||
| 6 | 71.1, CH | 4.35, brs | ChoiSul-5a,5b,7pe,7pa | ChoiSul-4a7pe,7pa | ChoiSul-3a,7pe,7pa | |
| 7pe b 7pa b | 31.5, CH2 | 2.38, m 1.60, brt (12.0) | ChoiSul-6,7pa,7a ChoiSul-6,7pe,7a | Hty-2,2-NH | ||
| 7a | 54.3, CH | 4.03, m | ChoiSul-3a,7pe,7pa | ChoiSul-7pe,7pa,7a | Hty-2,3b ChoiSul-3pa,7pe,7a | |
| Agm 1-NH | 7.71, t (5.5) | Agm-1 | Agm-1,3 | ChoiSul-2, Agm-1,3 | ||
| 1 | 31.5, CH2 | 3.03, m | Agm-1-NH,2 | |||
| 2 | 31.5, CH2 | 1.42, m | Agm-1,3 | Agm-1 | ||
| 3 | 31.5, CH2 | 1.43, m | Agm-1,2,4 | |||
| 4 | 40.4, CH2 | 3.03, m | Agm-3 | Agm-3 | ||
| 4-NH | 8.58, t (5.6) | Agm-1 | Agm-1,3 | Agm-1,3 | ||
| 5 | 157.5, C | Agm-1 | ||||
| 5-NH2,NH | 7.65, brs |
| Position | δC, Mult. | δH, Mult. (J in Hz) | HMBC Correlation | COSY Correlation | TOCSY Correlation | ROESY Correlation |
|---|---|---|---|---|---|---|
| Hpla b 1 | 172.3, C | Ile-2,2NH, Hpla-2,2-OH,3a,3b | ||||
| 2 | 71.9, CH | 4.09, m | Hpla-2-OH,3a,3b | Hpla-2-OH,3a,3b | Hpla-2-OH,3a,3b | Hpla-3a,3b |
| 2-OH | 5.98, d (5.8) | Hpla-2 | Hpla-2,3a,3b | Ile-2-NH, Hpla-3a, 3b | ||
| 3a 3b | 39.4, CH2 | 2.92, dd (14.0,3.4) 2.70, dd (14.0,7.6) | Hpla-5,9 | Hpla-2,3b Hpla-2,3a | Hpla-2,2-OH,3b Hpla-2,2-OH,3a | Hpla-9 |
| 4 | 134.0, C | Hpla-3a,3b,8 | ||||
| 5 | 130.5, CH | 7.22, d (2.1) | Hpla-3a,3pa,8,9 | Hpla-9 | Hpla-8,9 | Hpla-3a,3b |
| 6 | 123.8, C | Hpla-5,8,9 | ||||
| 7 | 148.0, C | Hpla-5,8,9 | ||||
| 8 | 121.3, CH | 7.45, d (8.9) | Hpla-9 | Hpla-5,9 | ||
| 9 | 128.8, CH | 7.07, dd (8.9,2.1) | Hpla-3a, 3pb,5 | Hpla-5,8 | Hpla-5,8 | Hpla-3b |
| Ile 1 | 168.7, C | Ile-2,2-NH | ||||
| 2 | 51.8, CH | 4.55, dd (9.4,4.2) | Ile-4a,4b,6 | Ile-2-NH,3 | Ile-3 | Choi-7a |
| 2-NH | 7.37, d (9.4) | Ile-2 | Ile-2,3,6 | Hpla-2-OH, Ile-2 | ||
| 3 | 38.2, CH | 1.52, ddq (4.3,7.1, 6.7) | Ile-2,4a,4b,6 | Ile-2,4a,4b,6 | Ile-2,4a,4b,5,6 | Choi-6-OH |
| 4a 4b | 26.3, CH2 | 1.14, m 0.99, m | Ile-5,6 | Ile-3,4b,5 Ile-3,4a,5 | Ile-3,4b,5,6 Ile-3,4a,5,6 | Choi-6-OH |
| Ile 5 | 12.0, CH3 | 0.88, t (7.5) | Ile-4a,4b | Ile-4a,4b | Ile-2,3,4a,4b,6 | |
| Ile 6 | 14.1, CH3 | 0.65, d (6.7) | Ile-2,4a,4b | Ile-3 | Ile-3,4a,4b,5 | |
| Choi 1 | 173.6, C | Choi-1- NH2,2,3pe | ||||
| 1- NH2 | 7.29, d (1.0) 6.83, d (1.0) | Choi-1- NHb Choi-1- NHa | Choi-1- NHb Choi-1- NHa | Choi-2 Choi-2 | ||
| 2 | 59.7, CH | 4.14, dd (9.6,8.4) | Choi-1- NHb,3pe,7a | Choi-3pa,3pe | Choi-3pa, 3pe,3a,4pa | Choi-3pa,3pe |
| 3pe c 3pa c | 30.6, CH2 | 1.97, m 1.79, ddq (12.5,9.8,7.8) | Choi-2,3pe,7a | Choi-2,3pe, 3a Choi-2,3pa,3a | Choi-2,3pe, 3a Choi-2,3pa,3a | |
| 3a | 36.3, CH | 2.24, ddq (12.9,7.1,6.0) | Choi-2,3pe, 3pa,4pa | Choi-3pe,3pa, 4pe,4pa,7a | Choi-2,3pe, 3pa,4pa,6,7pe, 7pa | |
| 4pe c 4pa c | 19.2, CH2 | 2.02, m 1.41, m | Choi-3a,4pa Choi-3a,4pe | Choi-3pe,3pa,3a,4pa Choi-3pe,3pa,3a,4pe | ||
| 5 | 26.2, CH2 | 1.42, m | Choi-3a,7pa | Choi-4pe,6 | ||
| 6 | 64.1, CH | 3.90, brs | Choi-4pa,6-OH,7pe | Choi-4pa,6-OH,7pe,7pa | Choi-3pe,3pa, 3a,4pe,4pa,7a | Choi-4pa, 6-OH,7pe |
| 6-OH | 4.53, d (3.1) | Choi-6 | Choi-4pe,4pa, 5,6,7pe,7pa | Choi-5,6, 7pa, Ile-3,4a | ||
| 7pe c 7pa c | 33.7, CH2 | 1.96, m 1.69, brtd (11.8, 1.9) | Choi-6-OH | Choi-3a,7pa Choi-3a,7pe | Choi-2,3pe, 3a,4pa,6,7a,7pa Choi-2,3a,5, 6,7a,7pa | |
| 7a | 54.0, CH | 4.07, m | Choi-4pa, 7pe,7pa | Choi-7pe,7pa | Choi-3a,3pe, 3pa,6,7pe,7pa | Ile-2, Choi-3a,4pa |
Disclaimer/Publisher’s Note: The statements, opinions and data contained in all publications are solely those of the individual author(s) and contributor(s) and not of MDPI and/or the editor(s). MDPI and/or the editor(s) disclaim responsibility for any injury to people or property resulting from any ideas, methods, instructions or products referred to in the content. |
© 2024 by the authors. Licensee MDPI, Basel, Switzerland. This article is an open access article distributed under the terms and conditions of the Creative Commons Attribution (CC BY) license (https://creativecommons.org/licenses/by/4.0/).
Share and Cite
Weisthal Algor, S.; Sukenik, A.; Carmeli, S. Sulfated Aeruginosins from Lake Kinneret: Microcystis Bloom, Isolation, Structure Elucidation, and Biological Activity. Mar. Drugs 2024, 22, 389. https://doi.org/10.3390/md22090389
Weisthal Algor S, Sukenik A, Carmeli S. Sulfated Aeruginosins from Lake Kinneret: Microcystis Bloom, Isolation, Structure Elucidation, and Biological Activity. Marine Drugs. 2024; 22(9):389. https://doi.org/10.3390/md22090389
Chicago/Turabian StyleWeisthal Algor, Shira, Assaf Sukenik, and Shmuel Carmeli. 2024. "Sulfated Aeruginosins from Lake Kinneret: Microcystis Bloom, Isolation, Structure Elucidation, and Biological Activity" Marine Drugs 22, no. 9: 389. https://doi.org/10.3390/md22090389
APA StyleWeisthal Algor, S., Sukenik, A., & Carmeli, S. (2024). Sulfated Aeruginosins from Lake Kinneret: Microcystis Bloom, Isolation, Structure Elucidation, and Biological Activity. Marine Drugs, 22(9), 389. https://doi.org/10.3390/md22090389

