p-Terphenyl and Diphenyl Ether Derivatives from the Marine-Derived Fungus Aspergillus candidus HM5-4
Abstract
:1. Introduction
2. Results
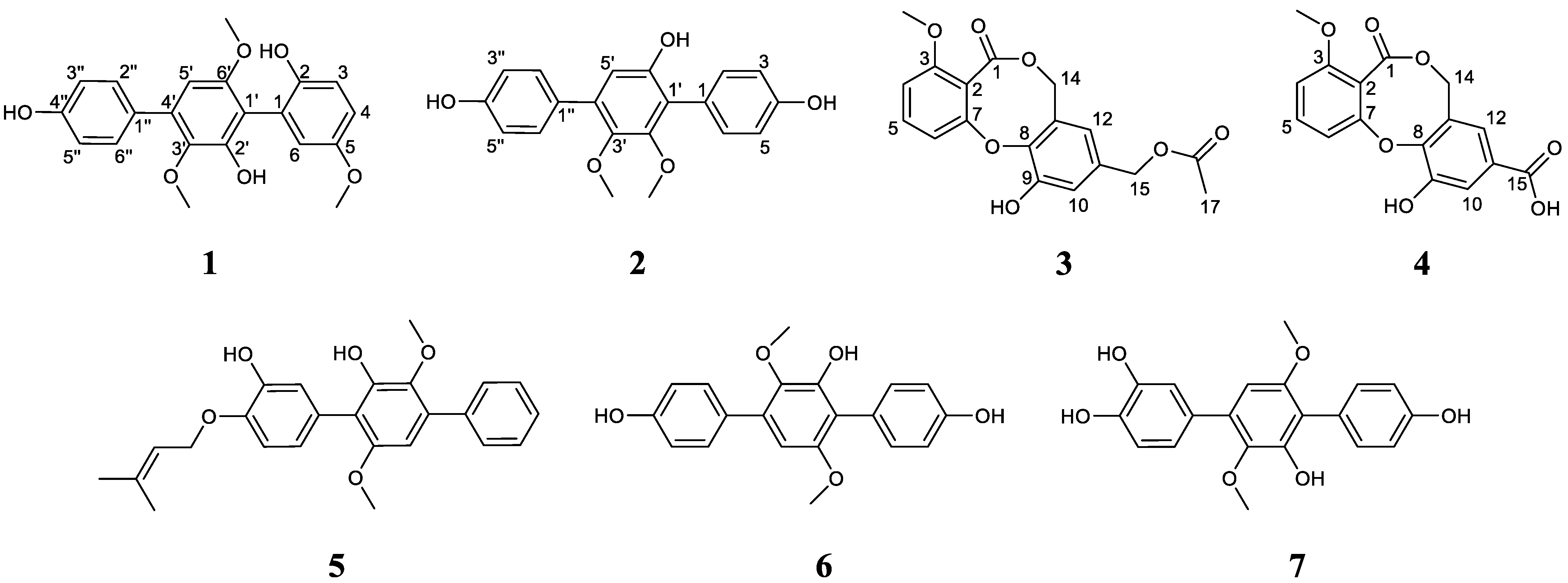
2.1. Structure Elucidation of New Compounds 1–4
2.2. Bioassays of Compounds
2.2.1. Cytotoxic Detection Activity
2.2.2. α-Glucosidase Inhibitory Activity
2.2.3. Antifungal Activity
3. Materials and Methods
3.1. General Experimental Procedures
3.2. Fungal Material and Fermentation
3.3. Extraction and Isolation
3.4. Cytotoxic Assay
3.5. α-Glucosidase Inhibition Assay
3.6. Antifungal Activity Test
4. Conclusions
Supplementary Materials
Author Contributions
Funding
Institutional Review Board Statement
Informed Consent Statement
Data Availability Statement
Conflicts of Interest
References
- Xu, K.; Gao, Y.; Li, Y.L.; Xie, F.; Zhao, Z.T.; Lou, H.X. Cytotoxic p-terphenyls from the endolichenic fungus Floricola striata. J. Nat. Prod. 2018, 81, 2041–2049. [Google Scholar] [CrossRef] [PubMed]
- Chen, W.H.; Zhang, J.W.; Qi, X.; Zhao, K.; Pang, X.Y.; Lin, X.P.; Liao, S.R.; Yang, B.; Zhou, X.F.; Liu, S.W.; et al. p-Terphenyls as anti-HSV-1/2 agents from a deep-sea-derived Penicillium sp. J. Nat. Prod. 2021, 84, 2822–2831. [Google Scholar] [CrossRef] [PubMed]
- Takahashi, S.; Suda, Y.; Nakamura, T.; Matsuoka, K.; Koshino, H. Total synthesis of kehokorins A–E, cytotoxic p-terphenyls. J. Org. Chem. 2017, 82, 3159–3166. [Google Scholar] [CrossRef] [PubMed]
- Li, W.; Li, X.B.; Lou, H.X. Structural and biological diversity of natural p-terphenyls. J. Asian Nat. Prod. Res. 2018, 20, 1–13. [Google Scholar] [CrossRef] [PubMed]
- Li, W.; Gao, W.; Zhang, M.; Li, Y.L.; Li, L.; Li, X.B.; Chang, W.Q.; Zhao, Z.T.; Lou, H.X. p-terphenyl derivatives from the endolichenic fungus Floricola striata. J. Nat. Prod. 2016, 79, 2188–2194. [Google Scholar] [CrossRef] [PubMed]
- Zhu, J.J.; Li, Z.Y.; Lu, H.H.; Liu, S.Q.; Ding, W.J.; Li, J.Z.; Xiong, Y.H.; Li, C.Y. New diphenyl ethers from a fungus Epicoccum sorghinum L28 and their antifungal activity against phytopathogens. Bioorg. Chem. 2021, 115, 105232. [Google Scholar] [CrossRef]
- Lin, Y.K.; Xie, C.L.; Xing, C.P.; Wang, B.Q.; Tian, X.X.; Xia, J.M.; Jia, L.Y.; Pan, Y.N.; Yang, X.W. Cytotoxic p-terphenyls from the deep-sea-derived Aspergillus candidus. Nat. Prod. Res. 2021, 35, 1627–1631. [Google Scholar] [CrossRef]
- Wang, D.Y.; Wang, Y.; Ouyang, Y.F.; Zhu, W.M. Cytotoxic p-terphenyls from a marine-derived Nocardiopsis species. J. Nat. Prod. 2019, 82, 3504–3508. [Google Scholar] [CrossRef]
- Choi, D.C.; Ki, D.W.; Kim, J.Y.; Lee, I.K.; Yun, B.S. p-Terphenyl glucosides from the culture broth of Phlebiopsis castanea. J. Antibiot. 2023, 76, 52–55. [Google Scholar] [CrossRef]
- Sofian, F.F.; Kikuchi, N.; Koseki, T.; Kanno, Y.; Uesugi, S.; Shiono, Y. Antioxidant p-terphenyl compound, isolated from edible mushroom, Boletopsis leucomelas. Biosci. Biotechnol. Biochem. 2022, 86, 300–304. [Google Scholar] [CrossRef]
- Guo, Z.K.; Abulaizi, A.; Huang, L.; Xiong, Z.J.; Zhang, S.Q.; Liu, T.M.; Wang, R. Discovery of p-terphenyl metabolites as potential phosphodiesterase PDE4D inhibitors from the coral-associated fungus Aspergillus sp. ITBBc1. Mar. Drugs 2022, 20, 679. [Google Scholar] [CrossRef] [PubMed]
- Xu, Y.C.; Wang, Y.; Wu, D.; He, W.W.; Wang, L.P.; Zhu, W.M. p-terphenyls from Aspergillus sp. GZWMJZ-055: Identification, derivation, antioxidant and α-glycosidase inhibitory activities. Front. Microbiol. 2021, 12, 654963. [Google Scholar] [CrossRef] [PubMed]
- Shin, H.J. Natural products from marine fungi. Mar. Drugs. 2020, 18, 230. [Google Scholar] [CrossRef] [PubMed]
- Yurchenko, E.A.; Menchinskaya, E.S.; Pislyagin, E.A.; Chingizova, E.A.; Girich, E.V.; Yurchenko, A.N.; Aminin, D.L.; Mikhailov, V.V. Cytoprotective activity of p-Terphenyl polyketides and flavuside B from marine-derived fungi against oxidative stress in Neuro-2a Cells. Molecules 2021, 26, 3618. [Google Scholar] [CrossRef] [PubMed]
- Peng, G.Y.; Kurtán, T.; Mándi, A.; He, J.; Cao, Z.Y.; Tang, H.; Mao, S.C.; Zhang, W. Neuronal modulators from the coral-associated fungi Aspergillus candidus. Mar. Drugs 2021, 19, 281. [Google Scholar] [CrossRef] [PubMed]
- Zhou, G.L.; Zhang, X.M.; Shah, M.; Che, Q.; Zhang, G.J.; Gu, Q.Q.; Zhu, T.J.; Li, D.H. Polyhydroxy p-terphenyls from a mangrove endophytic fungus Aspergillus candidus LDJ-5. Mar. Drugs 2021, 19, 82. [Google Scholar] [CrossRef]
- Wang, S.; Zeng, Y.B.; Yin, J.J.; Chang, W.J.; Zhao, X.L.; Mao, Y. Two new azaphilones from the marine-derived fungus Penicillium sclerotiorum E23Y−1A. Phytochem. Lett. 2022, 47, 76–80. [Google Scholar] [CrossRef]
- Wang, Z.; Zeng, Y.B.; Zhao, W.B.; Dai, F.H.; Chang, W.J.; Lv, F. Structures and biological activities of brominated azaphilones produced by Penicillium sclerotiorum E23Y−1A. Phytochem. Lett. 2022, 52, 138–142. [Google Scholar] [CrossRef]
- Zeng, Y.B.; Wang, Z.; Chang, W.J.; Zhao, W.B.; Wang, H.; Chen, H.Q.; Dai, F.H.; Lv, F. New azaphilones from the marine-derived fungus Penicillium sclerotiorum E23Y−1A with their anti-inflammatory and antitumor activities. Mar. Drugs 2023, 21, 75. [Google Scholar] [CrossRef]
- Zhao, W.B.; Zeng, Y.B.; Chang, W.J.; Chen, H.Q.; Wang, H.; Dai, F.H.; Lv, F. Potential α-glucosidase inhibitors from the deep-sea sediment-derived fungus Aspergillus insulicola. Mar. Drugs 2023, 21, 157. [Google Scholar] [CrossRef]
- Liu, S.S.; Lu, C.H.; Huang, J.J.; Shen, Y.M. Three new compounds from the marine fungal strain Aspergillus sp. AF119. Rec. Nat. Prod. 2012, 6, 334. [Google Scholar]
- Wei, H.; Inada, H.; Hayashi, A.; Higashimoto, K.; Pruksakorn, P.; Kamada, S.; Arai, M.; Ishida, S.; Kobayashi, P. Prenylterphenyllin and its dehydroxyl analogs, new cytotoxic substances from a marine-derived fungus Aspergillus candidus IF10. J. Antibiot. 2007, 60, 586–590. [Google Scholar] [CrossRef] [PubMed]
- Shan, T.J.; Wang, Y.Y.; Wang, S.; Xie, Y.Y.; Cui, Z.H.; Wu, C.Y.; Sun, J.; Wang, J.; Mao, Z.L. A new p-terphenyl derivative from the insect-derived fungus Aspergillus candidus Bdf-2 and the synergistic effects of terphenyllin. PeerJ 2020, 8, e8221. [Google Scholar] [CrossRef] [PubMed]
- Yang, L.; Yang, Y.L.; Dong, W.H.; Li, W.; Wang, P.; Cao, X.; Yuan, J.Z.; Chen, H.Q.; Mei, W.L.; Dai, H.F. Sesquiterpenoids and 2-(2-phenylethyl) chromones respectively acting as α-glucosidase and tyrosinase inhibitors from agarwood of an Aquilaria plant. J. Enzym. Inhib. Med. Chem. 2019, 34, 853–862. [Google Scholar] [CrossRef]
- Mosmann, T. Rapid colorimetic assay for cellular growth and survival: Application to proliferation and cytotoxicity assays. J. Immunol. Methods 1983, 65, 55–63. [Google Scholar] [CrossRef]
- Li, W.H.; Ding, L.J.; Li, J.; Wen, H.M.; Liu, Y.; Tan, S.L.; Yan, X.J.; Shi, Y.T.; Lin, W.H.; He, S. Novel antimycin analogues with agricultural antifungal activities from the sponge-associated actinomycete Streptomyces sp. NBU3104. J. Agr. Food. Chem. 2022, 70, 8309–8316. [Google Scholar] [CrossRef]


| Position | 1 a | 2 a | ||
|---|---|---|---|---|
| δH | δC | δH | δC | |
| 1 | 125.0, C | 124.6, C | ||
| 2 | 145.2, C | 7.13, d (7.9) | 131.5, CH | |
| 3 | 6.76, d (8.0) | 114.7, CH | 6.77, d (7.9) | 114.4, CH |
| 4 | 6.69, d (8.0) | 123.5, CH | 156.0, C | |
| 5 | 146.7, C | 6.77, d (7.9) | 114.4, CH | |
| 6 | 6.83, s | 115.3, CH | 7.13, d (7.9) | 131.5, CH |
| 1′ | 117.1, C | 121.9, C | ||
| 2′ | 148.1, C | 151.5, C | ||
| 3′ | 139.3, C | 142.9, C | ||
| 4′ | 132.4, C | 133.7, C | ||
| 5′ | 6.38, s | 103.0, CH | 6.56, s | 111.2, CH |
| 6′ | 153.1, C | 150.8, C | ||
| 1″ | 128.7, C | 128.5, C | ||
| 2″ | 7.43, d (8.0) | 129.7, CH | 7.31, d (7.9) | 129.7, CH |
| 3″ | 6.84, d (8.0) | 115.1, CH | 6.81, d (3.9) | 115.0, CH |
| 4″ | 156.7, C | 156.6, C | ||
| 5″ | 6.84, d (8.0) | 115.1, CH | 6.81, d (3.9) | 115.0, CH |
| 6″ | 7.43, d (8.0) | 129.7, CH | 7.31, d (7.9) | 129.7, CH |
| 5-OCH3 | 3.73, s | 55.7, CH3 | ||
| 2′-OCH3 | 3.49, s | 60.1, CH3 | ||
| 3′-OCH3 | 3.29, s | 60.0, CH3 | 3.45, s | 60.2, CH3 |
| 6′-OCH3 | 3.64, s | 55.6, CH3 | ||
| 4-OH | 9.35, s | |||
| 6′-OH | 9.06, s | |||
| 4″-OH | 9.50, s | |||
| Position | 3 a | 4 b | ||
|---|---|---|---|---|
| δH | δC | δH | δC | |
| 1 | 166.2, C | 166.4, C | ||
| 2 | 115.0, C | 116.6, C | ||
| 3 | 156.7, C | 158.3, C | ||
| 4 | 7.09, d (8.4) | 109.7, CH | 7.12, d (8.5) | 110.8, CH |
| 5 | 7.56, t (8.3) | 133.9, CH | 7.57, t (8.3) | 134.5, CH |
| 6 | 6.78, d (8.1) | 114.2, CH | 6.86, d (8.2) | 115.2, CH |
| 7 | 152.0, C | 152.9, C | ||
| 8 | 143.3, C | 148.3, C | ||
| 9 | 148.8, C | 149.8, C | ||
| 10 | 6.95, s | 117.4, CH | 7.65, d (1.8) | 119.4, CH |
| 11 | 132.7, C | 128.9, C | ||
| 12 | 6.63, s | 119.1, CH | 7.39, d (1.7) | 122.8, CH |
| 13 | 127.7, C | 127.9, C | ||
| 14 | 5.06, s | 68.2, CH2 | 5.22, s | 69.0, CH2 |
| 15 | 4.92, s | 64.7, CH2 | 166.6, C | |
| 16 | 170.1, C | |||
| 17 | 2.04, s | 20.7, CH3 | ||
| 3-OCH3 | 3.85, s | 56.3, CH3 | 3.92, s | 56.8, CH3 |
| 9-OH | 9.92, s | |||
| Compounds | IC50 ± SD(µM) a | ||||
|---|---|---|---|---|---|
| K562 | BEL-7402 | SGC-7901 | A549 | HeLa | |
| 1 | – | – | – | – | – |
| 2 | – | – | – | – | – |
| 3 | – | – | – | – | – |
| 4 | – | – | – | – | – |
| 5 | 15.03 ± 0.14 | 6.69 ± 0.12 | 3.67 ± 0.17 | 3.32 ± 0.10 | 44.77 ± 0.13 |
| 6 | – | – | – | – | – |
| 7 | 33.98 ± 0.40 | 44.19 ± 0.71 | 33.44 ± 0.23 | 60.36 ± 0.51 | 53.65 ± 0.73 |
| Cisplatin b | 3.08 ± 0.05 | 4.02 ± 0.06 | 4.11 ± 0.02 | 1.93 ± 0.02 | 11.29 ± 0.15 |
| Compounds | IC50 ± SD (µM) a |
|---|---|
| 1 | 122.00 ± 3.30 |
| 2 | 1.26 ± 0.19 |
| 3 | – |
| 4 | – |
| 5 | – |
| 6 | 2.16 ± 0.44 |
| 7 | 13.22 ± 0.55 |
| Genistein b | 13.04 ± 2.56 |
Disclaimer/Publisher’s Note: The statements, opinions and data contained in all publications are solely those of the individual author(s) and contributor(s) and not of MDPI and/or the editor(s). MDPI and/or the editor(s) disclaim responsibility for any injury to people or property resulting from any ideas, methods, instructions or products referred to in the content. |
© 2023 by the authors. Licensee MDPI, Basel, Switzerland. This article is an open access article distributed under the terms and conditions of the Creative Commons Attribution (CC BY) license (https://creativecommons.org/licenses/by/4.0/).
Share and Cite
Zeng, Y.; Wang, S.; Peng, H.; Zhao, W.; Chang, W.; Wang, H.; Chen, H.; Dai, H. p-Terphenyl and Diphenyl Ether Derivatives from the Marine-Derived Fungus Aspergillus candidus HM5-4. Mar. Drugs 2024, 22, 13. https://doi.org/10.3390/md22010013
Zeng Y, Wang S, Peng H, Zhao W, Chang W, Wang H, Chen H, Dai H. p-Terphenyl and Diphenyl Ether Derivatives from the Marine-Derived Fungus Aspergillus candidus HM5-4. Marine Drugs. 2024; 22(1):13. https://doi.org/10.3390/md22010013
Chicago/Turabian StyleZeng, Yanbo, Shirong Wang, Hanyang Peng, Weibo Zhao, Wenjun Chang, Hao Wang, Huiqin Chen, and Haofu Dai. 2024. "p-Terphenyl and Diphenyl Ether Derivatives from the Marine-Derived Fungus Aspergillus candidus HM5-4" Marine Drugs 22, no. 1: 13. https://doi.org/10.3390/md22010013
APA StyleZeng, Y., Wang, S., Peng, H., Zhao, W., Chang, W., Wang, H., Chen, H., & Dai, H. (2024). p-Terphenyl and Diphenyl Ether Derivatives from the Marine-Derived Fungus Aspergillus candidus HM5-4. Marine Drugs, 22(1), 13. https://doi.org/10.3390/md22010013

