Unusual Tetrahydropyridoindole-Containing Tetrapeptides with Human Nicotinic Acetylcholine Receptors Targeting Activity Discovered from Antarctica-Derived Psychrophilic Pseudogymnoascus sp. HDN17-933
Abstract
1. Introduction
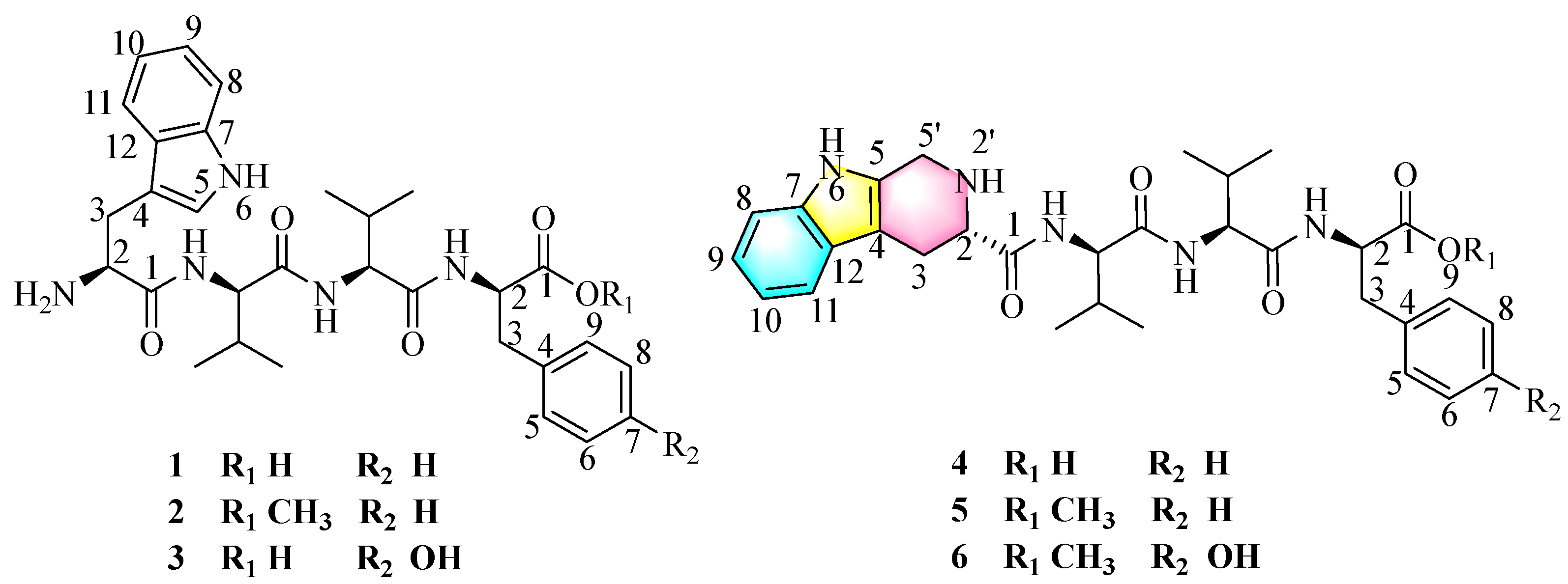
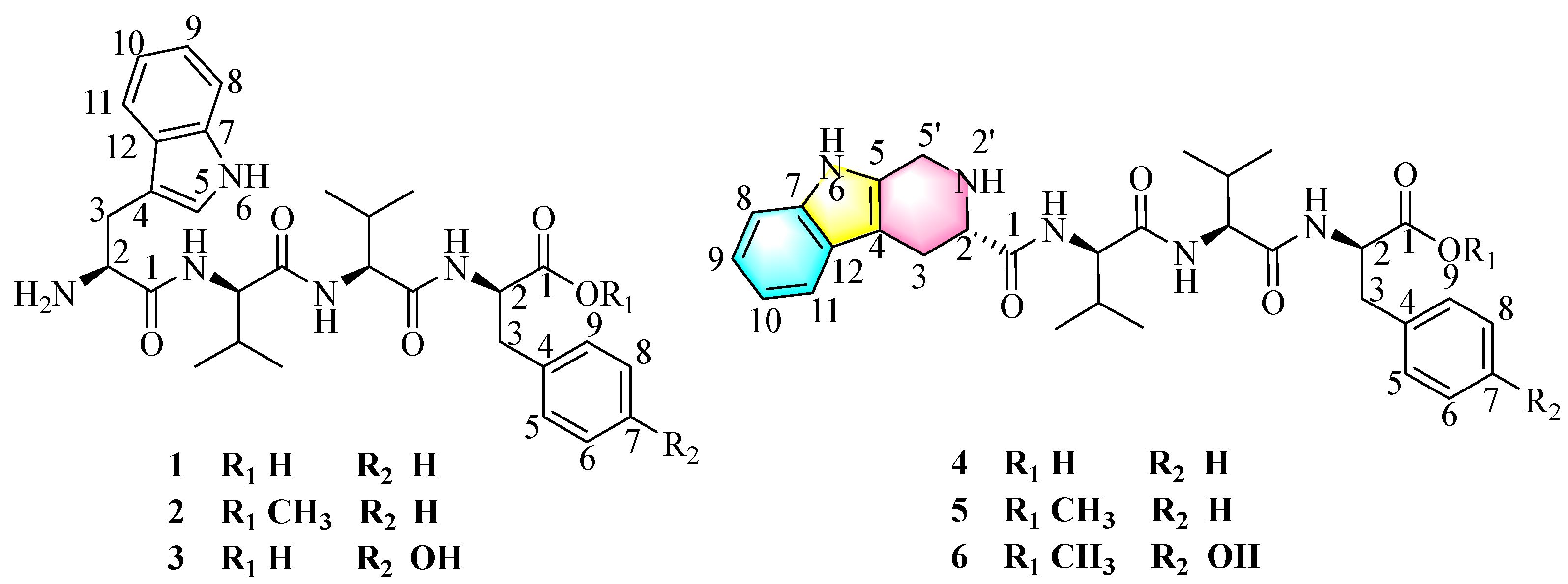
2. Results and Discussion
3. Materials and Methods
3.1. General Experimental Procedures
3.2. Fungal Material and Fermentation
3.3. Extraction and Purification
3.4. Physical and Chemical Data
3.5. Advanced Marfey’s Analysis of Acid Hydrolytic for Val, Phe, Tyr
3.6. Modified Marfey’s Analysis of Alkaline Hydrolytic for Trp
3.7. Solid-Phase Total Synthesis of 1a, 1b
3.8. Xenopus Laevis Oocyte Preparation and Microinjection
3.9. Oocyte Two-Electrode Voltage Clamp Recording and Data Analysis
3.10. Molecular Docking
4. Conclusions and Discussion
Supplementary Materials
Author Contributions
Funding
Institutional Review Board Statement
Informed Consent Statement
Data Availability Statement
Acknowledgments
Conflicts of Interest
References
- Hassan, N.; Rafiq, M.; Hayat, M.; Shah, A.A.; Hasan, F. Psychrophilic and psychrotrophic fungi: A comprehensive review. Rev. Environ. Sci. Bio/Technol. 2016, 15, 147–172. [Google Scholar] [CrossRef]
- Golubev, W.I. New species of basidiomycetous yeasts, Rhodotorula creatinovora and R. yakutica, isolated from permafrost soils of Eastern-Siberian Arctic. Mikol. Fitopatol. 1998, 32, 8–13. [Google Scholar]
- Tosi, L.; Carbognin, L.; Teatini, P.; Rosselli, R.; Stori, G.G. The ISES project subsidence monitoring of the catchment basin south of the Venice Lagoon. In Land Subsidence; La Garangola: Padova, Italy, 2000; pp. 113–126. [Google Scholar]
- Ma, L.; Catranis, C.M.; Starmer, W.T.; Rogers, S.O. Revival and characterization of fungi from ancient polar ice. Mycologist 1999, 13, 70–73. [Google Scholar] [CrossRef]
- Broady, P.A.; Weinstein, R.N. Algae, lichens and fungi in La Gorce Mountains, Antarctica. Antarct. Sci. 1998, 10, 376–385. [Google Scholar] [CrossRef]
- Tojo, M.; Newshamb, K.K. Snow moulds in polar environments. Fungal Ecol. 2012, 5, 395–402. [Google Scholar] [CrossRef]
- Robinson, C.H. Cold adaptation in Arctic and Antarctic fungi. New Phytol. 2001, 151, 341–353. [Google Scholar] [CrossRef]
- McKenzie, R.L.; Björn, L.O.; Bais, A.; Ilyasd, M. Changes in biologically active ultraviolet radiation reaching the Earth’s surface. Photochem. Photobiol. Sci. 2003, 2, 5–15. [Google Scholar] [CrossRef]
- Selbmann, L.; Onofri, S.; Fenice, M.; Federici, F.; Petruccioli, M. Production and structural characterization of the exopolysaccharide of the Antarctic fungus Phoma herbarum CCFEE 5080. Res. Microbiol. 2002, 153, 585–592. [Google Scholar] [CrossRef]
- Brown, A. Compatible solutes and extreme water stress in eukaryotic micro-organisms. Adv. Microb. Physiol. 1978, 17, 181–242. [Google Scholar]
- Lewis, D.; Smith, D. Sugar alcohols (polyols) in fungi and green plants. I. Distribution, physiology and metabolism. New Phytol. 1967, 66, 143–184. [Google Scholar] [CrossRef]
- Weinstein, R.N.; Montiel, P.O.; Johnstone, K. Influence of growth temperature on lipid and soluble carbohydrate synthesis by fungi isolated from fellfield soil in the maritime Antarctic. Mycologia 2000, 92, 222–229. [Google Scholar] [CrossRef]
- Margesin, R.; Schinner, F.; Marx, J.C.; Gerday, C. Bacteria in snow and glacier ice. In Psychrophiles: From Biodiversity to Biotechnology; Springer: Berlin/Heidelberg, Germany, 2008; pp. 381–387. [Google Scholar]
- Georlette, D.; Damien, B.; Blaise, V.; Depiereux, E.; Uversky, V.N. Structural and functional adaptations to extreme temperatures in psychrophilic, mesophilic, and thermophilic DNA ligases. J. Biol. Chem. 2003, 278, 37015–37023. [Google Scholar] [CrossRef]
- Krohn, D. Endophytic fungi: A source of novel biologically active secondary metabolites. Mycol. Res. 2002, 106, 996–1004. [Google Scholar]
- Singh, P.; Raghukumar, C.; Verma, P.; Shouche, Y. Fungal community analysis in the deep-sea sediments of the Central Indian Basin by culture-independent approach. Microb. Ecol. 2011, 61, 507–517. [Google Scholar] [CrossRef]
- Li, D.; Wang, F.; Xiao, X.; Fang, Y.; Zhu, T.; Gu, Q.; Zhu, W. Trisorbicillinone A, a novel sorbicillin trimer, from a deep sea fungus, Phialocephala sp. FL30. Tetrahedron Lett. 2007, 48, 5235–5238. [Google Scholar] [CrossRef]
- MacíAs, F.; Varela, R.M.; Simonet, A.M.; Cutler, H.G.; Cutler, S.J.; Ross, S.A.; Dunbar, D.C.; Dugan, F.M.; Hill, R.A. (+)-Brevione A. The first member of a novel family of bioactive spiroditerpenoids isolated from Penicillium brevicompactum Dierckx. Tetrahedron Lett. 2000, 41, 2683–2686. [Google Scholar] [CrossRef]
- Wu, G.; Ma, H.; Zhu, T.; Jing, L.; Gu, Q.; Li, D. Penilactones A and B, two novel polyketides from Antarctic deep-sea derived fungus Penicillium crustosum PRB-2. Tetrahedron 2012, 68, 9745–9749. [Google Scholar] [CrossRef]
- Sun, Y.L.; Zhang, X.Y.; Nong, X.H.; Xu, X.Y.; Qi, S.H. New antifouling macrodiolides from the deep-sea-derived fungus Trichobotrys effuse DFFSCS021. Tetrahedron Lett. 2016, 57, 366–370. [Google Scholar] [CrossRef]
- Du, L.; Li, D.; Zhu, T.; Cai, S.; Wang, F.; Xiao, X.; Gu, Q. New alkaloids and diterpenes from a deep ocean sediment derived fungus Penicillium sp. Tetrahedron 2009, 65, 1033–1039. [Google Scholar] [CrossRef]
- Fujii, K.; Ikai, Y.; Oka, H.; Suzuki, M.; Harada, K.I. A nonempirical method using LC/MS for determination of the absolute configuration of constituent amino acids in a peptide: Combination of Marfey’s method with mass spectrometry and its practical application. Anal. Chem. 1997, 69, 549–557. [Google Scholar] [CrossRef]
- Albuquerque, E.X.; Pereira, E.F.R.; Alkondon, M.; Rogers, S.W. Mammalian nicotinic acetylcholine receptors: From structure to function. Physiol. Rev. 2009, 89, 73–120. [Google Scholar] [CrossRef]
- Thompson, A.J.; Lester, H.A.; Lummis, S.C.R. The structural basis of function in Cys-loop receptors. Q. Rev. Biophys. 2010, 43, 449–499. [Google Scholar] [CrossRef]
- Anand, R.; Conroy, W.G.; Schoepfer, R.; Whiting, P.; Lindstrom, J. Neuronal nicotinic acetylcholine receptors expressed in Xenopus oocytes have a pentameric quaternary structure. J. Biol. Chem. 1991, 266, 11192–11198. [Google Scholar] [CrossRef]
- Sherry, L.; Daniel, B. Neuronal nicotinic receptors: From structure to function. Nicotine Tob. Res. 2001, 3, 203–223. [Google Scholar]
- Tae, H.S.; Gao, B.; Jin, A.H.; Alewood, P.F.; Adams, D.J. Globular and ribbon isomers of Conus geographus α-conotoxins antagonize human nicotinic acetylcholine receptors. Biochem. Pharmacol. 2021, 190, 114638–114646. [Google Scholar] [CrossRef] [PubMed]
- Woodcock, J. A difficult balance-pain management, drug safety, and the FDA. N. Engl. J. Med. 2009, 361, 2105–2107. [Google Scholar] [CrossRef] [PubMed]
- Ballantyne, J.C.; Shin, N.S. Efficacy of opioids for chronic pain: A review of the evidence. Clin. J. Pain 2008, 24, 469–478. [Google Scholar] [CrossRef]
- Molino, B.F.; Darkes, P.R.; Ewing, W.R. Tetrahydro-Pyrido-Indoles as Cholecystokinin and Gastrin Antagonists. U.S. Patent 5,162,336, 10 November 1992. [Google Scholar]
- Steffen, W.; Torsten, D.; Degenhard, M.; Beate, S.; Thomas, S.; Dieter, F.; Ulrich, K.; Daniela, H.; Jörg, D.; Christiaans, J.A.M. Christiaans, 6-Benzyl-2, 3, 4, 7-Tetrahydro-Indolo [2, 3-c] Quinoline Compounds Useful as Pde5 Inhibitors. U.S. Patent 12/449,173, 13 May 2010. [Google Scholar]





| No | Compound 1 | Compound 2 | Compound 3 | ||||
|---|---|---|---|---|---|---|---|
| δHa, Mult (J in Hz) | δCb | δHa, Mult (J in Hz) | δCb | δHa, Mult (J in Hz) | δCb | ||
| Trp | 1 | - | 169.1 | - | 169.2 | - | 169.2 |
| 2 | 4.18 (1H, m) | 52.9 | 4.20 (1H, m) | 52.9 | 4.17 (1H, m) | 53.0 | |
| 3 | 3.21 (1H, dd, J = 7.1, 14.7 Hz) 2.98 (1H, dd, J = 8.4, 14.7 Hz) | 28.5 | 3.22 (1H, dd, J = 7.5, 15.5 Hz) 3.03 (1H, overlap, m) | 28.4 | 3.19 (1H, dd, J = 6.8, 15.2 Hz) 2.96 (1H, dd, J = 8.3, 15.2 Hz) | 28.6 | |
| 4 | - | 107. 4 | - | 107.4 | - | 107.4 | |
| 5 | 7.21 (1H, s) | 125.5 | 7.23 (1H, overlap, s) | 125.5 | 7.19 (1H, s) | 125.6 | |
| 6 (NH) | 10.98 (1H, s) | - | 11.03 (1H, s) | - | 10.98 (1H, s) | - | |
| 7 | - | 136.8 | - | 136.8 | - | 136.9 | |
| 8 | 7.34 (1H, d, J = 7.8 Hz) | 111.9 | 7.33 (1H, d, J = 7.6 Hz) | 111.8 | 7.32 (1H, d, J = 7.0 Hz) | 111.9 | |
| 9 | 7.07 (1H, t, J = 7.8 Hz) | 121.6 | 7.07 (1H, t, J = 7.6 Hz) | 121.6 | 7.05 (1H, t, J = 7.0 Hz) | 121.7 | |
| 10 | 6.99 (1H, t, J = 7.8 Hz) | 118.7 | 7.00 (1H, t, J = 7.6 Hz) | 118.7 | 6.97 (1H, overlap, m) | 118.8 | |
| 11 | 7.77 (1H, d, J = 7.8 Hz) | 119.2 | 7.76 (1H, d, J = 7.6 Hz) | 119.2 | 7.76 (1H, d, J = 7.0 Hz) | 119.3 | |
| 12 | - | 127.4 | - | 127.5 | - | 127.5 | |
| 2-NH2 | - | - | - | - | 7.98 (1H, s) | - | |
| Val-1 | 1 | - | 170.7 | - | 170.7 | - | 170.8 |
| 2 | 4.56 (1H, m) | 57.3 | 4.52 (1H, overlap, m) | 57.5 | 4.57 (1H, m) | 57.4 | |
| 3 | 1.86 (1H, m) | 31.9 | 1.87 (1H, m) | 31.9 | 1.85 (1H, m) | 32.1 | |
| 4 | 0.72 (3H, d, J = 6.8 Hz) | 17.8 | 0.71 (3H, d, J = 6.9 Hz) | 17.8 | 0.71 (3H, d, J = 6.4 Hz) | 17.9 | |
| 5 | 0.68 (3H, d, J = 6.8 Hz) | 19.5 | 0.66 (3H, d, J = 6.2 Hz) | 19.4 | 0.66 (3H, d, J = 6.3 Hz) | 19.6 | |
| NH | 8.68 (1H, d, J = 9.5 Hz) | - | 8.69 (1H, d, J = 9.6 Hz) | - | 8.69 (1H, d, J =8.6 Hz) | - | |
| Val-2 | 1 | - | 171.1 | - | 171.4 | - | 171.2 |
| 2 | 4.30 (1H, m) | 57.1 | 4.28 (1H, m) | 57.4 | 4.31 (1H, overlap, m) | 57.2 | |
| 3 | 1.72 (1H, m) | 31.3 | 1.76 (1H, m) | 31.2 | 1.73 (1H, m) | 31.5 | |
| 4 | 0.48 (3H, d, J = 6.8 Hz) | 17.7 | 0.52 (3H, d, J = 6.8 Hz) | 17.8 | 0.50 (3H, d, J = 6.8 Hz) | 17.8 | |
| 5 | 0.61 (3H, d, J = 6.8 Hz) | 19.7 | 0.62 (3H, d, J = 6.7 Hz) | 19.6 | 0.62 (3H, d, J = 6.7 Hz) | 19.8 | |
| NH | 8.13 (1H, d, J = 9.1 Hz) | - | 8.13 (1H, d, J = 9.4 Hz) | - | 8.13 (1H, d, J = 9.2 Hz) | - | |
| Phe/Phe-OCH3/Tyr | 1 | - | 173.6 | - | 172.6 | - | 173.8 |
| 2 | 4.44 (1H, m) | 53.9 | 4.48 (1H, overlap, m) | 53.9 | 4.34 (1H, overlap, m) | 54.2 | |
| 3 | 3.07 (1H, dd, J = 4.4, 13.8 Hz) 2.77 (1H, dd, J = 10.6, 13.8 Hz) | 37.4 | 3.03 (1H, overlap, m) 2.83 (1H, dd, J = 10.0,13.6 Hz) | 37.2 | 2.91 (1H, m) 2.63 (1H, m) | 36.8 | |
| 4 | - | 138.0 | - | 137.5 | - | 128.0 | |
| 5 | 7.22 (1H, overlap, s) | 129.5 | 7.23 (1H, overlap, m) | 129.5 | 6.97 (1H, overlap, m) | 130.5 | |
| 6 | 7.22 (1H, overlap, s) | 128.5 | 7.23 (1H, overlap, m) | 128.6 | 6.59 (1H, overlap, m) | 115.4 | |
| 7 | 7.16 (1H, m) | 126.8 | 7.17 (1H, overlap, m) | 127.0 | - | 156.5 | |
| 8 | 7.22 (1H, overlap, s) | 128.5 | 7.23 (1H, overlap, m) | 128.6 | 6.59 (1H, overlap, m) | 115.4 | |
| 9 | 7.22(1H, overlap, s) | 129.5 | 7.23 (1H, overlap, m) | 129.5 | 6.97 (1H, overlap, m) | 130.5 | |
| NH | 8.37 (1H, d, J = 7.8 Hz) | - | 8.58 (1H, d, J = 8.0 Hz) | - | 8.34 (1H, d, J = 8.3 Hz) | - | |
| 1-OCH3 | - | - | 3.56 (3H, s) | 52.4 | - | - | |
| 7-OH | - | - | - | 9.18 (1H, s) | - | ||
| No | Compound 4 | Compound 5 | Compound 6 | ||||
|---|---|---|---|---|---|---|---|
| δHa, Mult (J in Hz) | δCb | δHa, Mult (J in Hz) | δCb | δHa, Mult (J in Hz) | δCb | ||
| 1 | - | 168.4 | - | 168.8 | - | 168.9 | |
| 2 | 4.26 (1H, m) | 55.5 | 4.21 (1H, overlap, m) | 55.8 | 4.20 (1H, overlap, m) | 55.9 | |
| 3 | 3.38 (1H, m) 2.83 (1H, m) | 23.6 | 3.38 (1H, overlap, m) 2.82 (1H, overlap, m) | 24.1 | 3.37 (1H, overlap, m) 2.81(1H, t, J = 13.7 Hz) | 24.1 | |
| 4 | - | 105.0 | - | 105.3 | - | 105.3 | |
| 5 | - | 125.8 | - | 127.0 | - | 127.0 | |
| 6 (NH) | 11.1 (1H, s) | - | 11.18 (1H, s) | - | 11.10 (1H, s) | - | |
| 7 | - | 136.4 | - | 136.8 | - | 136.8 | |
| 8 | 7.37 (1H, d, J = 8.1 Hz) | 111.5 | 7.33 (1H, d, J = 8.1 Hz) | 112.0 | 7.33 (1H, d, J = 8.2 Hz) | 122.3 | |
| 9 | 7.11 (1H, t, J = 7.3 Hz) | 121.8 | 7.07 (1H, t, J = 7.2 Hz) | 122.2 | 7.07 (1H, t, J = 7.4 Hz) | 112.0 | |
| 10 | 7.47 (1H, d, J = 7.8 Hz) | 118.0 | 7.43 (1H, d, J = 7.8 Hz) | 119.6 | 7.43 (1H, d, J = 7.9 Hz) | 119.6 | |
| 11 | 7.02 (1H, t, J = 7.4 Hz) | 119.2 | 6.97 (1H, t, J = 7.3 Hz) | 118.3 | 7.00 (1H, overlap) | 118.4 | |
| 12 | - | 125.8 | - | 126.2 | - | 126.2 | |
| 2’ (NH) | 9.68 (1H, s) | - | 9.67 (1H, s) | - | |||
| 5’ | 4.44 (1H, overlap, m) 4.28 (1H, overlap, m) | 40.2 | 4.41 (1H, overlap, m) 4.26 (1H, overlap, m) | 40.8 | 4.40 (1H, overlap, m) 4.25 (1H, overlap, m) | 40.8 | |
| Val-1 | 1 | - | 170.4 | - | 170.9 | - | 170.9 |
| 2 | 4.68 (1H, m) | 57.1 | 4.61 (1H, dd, J = 6.0, 9.4 Hz) | 57.6 | 4.63 (1H, dd, J = 6.1, 6.4 Hz) | 57.5 | |
| 3 | 2.01 (1H, m) | 31.6 | 2.00 (1H, m) | 32.0 | 1.99 (1H, m) | 32.1 | |
| 4 | 0.89 (3H, d, J = 6.8 Hz) | 17.8 | 0.85 (1H, d, J = 6.8 Hz) | 18.2 | 0.85 (3H, d, J = 6.8 Hz) | 18.2 | |
| 5 | 0.91 (3H, d, J = 6.8 Hz) | 19.3 | 0.87 (1H, d, J = 6.8 Hz) | 19.9 | 0.88 (3H, d, J = 6.7 Hz) | 19.9 | |
| NH | 8.83 (1H, d, J = 9.5 Hz) | - | 8.80 (1H, d, J = 9.4 Hz) | - | 8.78 (1H, d, J = 9.4 Hz) | - | |
| Val-2 | 1 | - | 170.8 | - | 171.4 | - | 171.4 |
| 2 | 4.36 (1H, m) | 56.8 | 4.28 (1H, dd, J = 5.8, 9.2 Hz) | 57.5 | 4.31 (1H, dd, J = 5.7, 9.2 Hz) | 57.3 | |
| 3 | 1.73 (1H, m) | 31.1 | 1.75 (1H, m) | 31.4 | 1.77 (1H, m) | 31.5 | |
| 4 | 0.50 (3H, d, J = 6.8 Hz) | 17.4 | 0.52 (1H, d, J = 6.8 Hz) | 17.9 | 0.56 (3H, d, J = 6.8 Hz) | 17.9 | |
| 5 | 0.64 (3H, d, J = 6.8 Hz) | 19.4 | 0.62 (1H, d, J = 6.8 Hz) | 19.7 | 0.66 (3H, d, J = 6.8 Hz) | 19.8 | |
| NH | 8.24 (1H, d, J = 9.1 Hz) | - | 8.20 (1H, d, J = 9.2 Hz) | - | 8.20 (1H, d, J = 9.1 Hz) | - | |
| Phe/Phe-OCH3/Tyr | 1 | - | 173.3 | - | 172.7 | - | 172.9 |
| 2 | 4.49 (1H, m) | 53.4 | 4.48 (1H, m) | 54.0 | 4.40 (1H, overlap, m) | 54.3 | |
| 3 | 3.10 (1H, dd, J = 4.4, 13.8 Hz) 2.79 (1H, dd, J = 10.6,13.8 Hz) | 37.1 | 3.03 (1H, dd, J =5.0, 13.9 Hz) 2.82 (1H, overlap, m) | 37.3 | 2.89 (1H, dd, J = 5.2, 13.9 Hz) 2.69 (1H, dd, J = 10.0, 13.7 Hz) | 36.7 | |
| 4 | - | 137.6 | - | 137.6 | - | 127.5 | |
| 5 | 7.25 (1H, overlap, m) | 129.2 | 7.21 (1H, overlap, m) | 129.6 | 6.96 (1H, d, J = 8.5 Hz) | 130.5 | |
| 6 | 7.25 (1H, overlap, m) | 128.3 | 7.21 (1H, overlap, m) | 128.7 | 6.60 (1H, d, J = 8.3 Hz) | 115.5 | |
| 7 | 7.19 (1H, m) | 126.5 | 7.16 (1H, overlap, m) | 127.1 | - | 156.6 | |
| 8 | 7.25 (1H, overlap, m) | 128.3 | 7.21 (1H, overlap, m) | 128.7 | 6.60 (1H, d, J = 8.3 Hz) | 115.5 | |
| 9 | 7.25 (1H, overlap, m) | 129.2 | 7.21 (1H, overlap, m) | 129.6 | 6.96 (1H, d, J = 8.5 Hz) | 130.5 | |
| NH | 8.47 (1H, d, J = 7.8 Hz) | - | 8.58 (1H, d, J =8.0 Hz) | - | 8.49 (1H, d, J = 7.9 Hz) | - | |
| 1-OCH3 | - | - | 3.57 (3H, s) | 52.5 | 3.56 (3H, s) | 52.4 | |
| 7-OH | - | - | - | - | 9.21(1H, s) | - | |
Publisher’s Note: MDPI stays neutral with regard to jurisdictional claims in published maps and institutional affiliations. |
© 2022 by the authors. Licensee MDPI, Basel, Switzerland. This article is an open access article distributed under the terms and conditions of the Creative Commons Attribution (CC BY) license (https://creativecommons.org/licenses/by/4.0/).
Share and Cite
Hou, X.; Li, C.; Zhang, R.; Li, Y.; Li, H.; Zhang, Y.; Tae, H.-S.; Yu, R.; Che, Q.; Zhu, T.; et al. Unusual Tetrahydropyridoindole-Containing Tetrapeptides with Human Nicotinic Acetylcholine Receptors Targeting Activity Discovered from Antarctica-Derived Psychrophilic Pseudogymnoascus sp. HDN17-933. Mar. Drugs 2022, 20, 593. https://doi.org/10.3390/md20100593
Hou X, Li C, Zhang R, Li Y, Li H, Zhang Y, Tae H-S, Yu R, Che Q, Zhu T, et al. Unusual Tetrahydropyridoindole-Containing Tetrapeptides with Human Nicotinic Acetylcholine Receptors Targeting Activity Discovered from Antarctica-Derived Psychrophilic Pseudogymnoascus sp. HDN17-933. Marine Drugs. 2022; 20(10):593. https://doi.org/10.3390/md20100593
Chicago/Turabian StyleHou, Xuewen, Changlong Li, Runfang Zhang, Yinping Li, Huadong Li, Yundong Zhang, Han-Shen Tae, Rilei Yu, Qian Che, Tianjiao Zhu, and et al. 2022. "Unusual Tetrahydropyridoindole-Containing Tetrapeptides with Human Nicotinic Acetylcholine Receptors Targeting Activity Discovered from Antarctica-Derived Psychrophilic Pseudogymnoascus sp. HDN17-933" Marine Drugs 20, no. 10: 593. https://doi.org/10.3390/md20100593
APA StyleHou, X., Li, C., Zhang, R., Li, Y., Li, H., Zhang, Y., Tae, H.-S., Yu, R., Che, Q., Zhu, T., Li, D., & Zhang, G. (2022). Unusual Tetrahydropyridoindole-Containing Tetrapeptides with Human Nicotinic Acetylcholine Receptors Targeting Activity Discovered from Antarctica-Derived Psychrophilic Pseudogymnoascus sp. HDN17-933. Marine Drugs, 20(10), 593. https://doi.org/10.3390/md20100593

